ORIGINAL ARTICLE

Association of dietary acid load with diabetes and glucose metabolism index in Chinese adults: a cross-sectional study

Shengqi Jia1, Yuqin Shi1, Xiang Ma2, Qiuyin Chen1, Weijia Huang3, Yulan Zeng1* and Ping Wang1*

1Department of Respiratory and Critical Care Medicine, Liyuan Hospital, Tongji Medical College, Huazhong University of Science and Technology, Wuhan, China; 2Department of Endocrinology, Institute of Geriatric Medicine, Liyuan Hospital, Tongji Medical College, Huazhong University of Science and Technology, Wuhan, China; 3Department of Geriatrics, Liyuan Hospital, Tongji Medical College, Huazhong University of Science and Technology, Wuhan, China

Shengqi Jia and Yuqin Shi made equal contributions to this article.

Popular scientific summary

Abstract

Background: Dietary acid load (DAL) has been proven to be associated with hypertension, chronic kidney disease, gout, and the prevalence of type 2 diabetes in several countries. However, its relationship with the prevalence of prediabetes and diabetes in the Chinese population, as well as with fasting blood glucose, fasting insulin levels, and insulin resistance-related indicators, remains unclear.

Method: This is a cross-sectional study based on the China Health and Nutrition Survey (CHNS), which uses Potential Renal Acid Load (PRAL) and Net Endogenous Acid Production (NEAP) to assess DAL. Logistic regression was employed to analyze the relationship between DAL and prediabetes as well as diabetes. Linear regression was used to examine the associations between DAL and fasting blood glucose, fasting insulin levels, estimated glucose disposal rate (eGDR), Homeostasis Model Assessment of Insulin Resistance (HOMA-IR), and the TyG index in the affected population. Restricted cubic spline (RCS) curves were utilized to explore potential nonlinear relationships, and mediation analysis was conducted to investigate the mediating role of insulin resistance in the effects of DAL on fasting blood glucose and insulin. Finally, the findings were validated and compared using data from the National Health and Nutrition Examination Survey (NHANES).

Results: Higher PRAL (odds ratio [OR]: 1.004, 95% confidence interval [CI]: 1.002–1.006) and NEAP (OR: 1.009, 95% CI: 1.005–1.012) were associated with an increased prevalence of diabetes and prediabetes. Elevated levels of PRAL and NEAP were also correlated with higher fasting blood glucose levels and a lower eGDR. Moreover, eGDR played a significant mediating role in the effect of DAL on fasting blood glucose (PRAL: 69.74%, P = 0.048; NEAP: 65.75%, P = 0.004). However, this phenomenon was not significant in the US population, indicating differences between Chinese and American populations.

Conclusion: High DAL is significantly associated with an increased prevalence of diabetes and prediabetes in the Chinese population, and it influences fasting blood glucose levels in affected individuals by reducing the eGDR. These findings highlight the clinical importance of regulating acid-producing diets to help manage blood glucose levels in individuals with diabetes.

Keywords: dietary acid load; diabetes; insulin resistance; China Health and Nutrition Survey (CHNS); National Health and Nutrition Examination Survey (NHANES)

 

Citation: Food & Nutrition Research 2026, 70: 13470 - http://dx.doi.org/10.29219/fnr.v70.13470

Copyright: © 2026 Shengqi Jia et al. This is an Open Access article distributed under the terms of the Creative Commons Attribution 4.0 International License (http://creativecommons.org/licenses/by/4.0/), allowing third parties to copy and redistribute the material in any medium or format and to remix, transform, and build upon the material for any purpose, even commercially, provided the original work is properly cited and states its license.

Received: 7 October 2025; Revised: 3 November 2025; Accepted: 5 November 2025; Published: 20 March 2026

*Ping Wang and Yulan Zeng, Email: 2005LY0910@hust.edu.cn; 1989ly0551@hust.edu.cn

To access the supplementary material, please visit the article landing page

Competing interests and funding: The authors declare no competing interests. The authors have not received any funding or benefits from industry or elsewhere to conduct this study.

 

Diabetes, mainly caused by insufficient insulin production or secretion or insulin resistance (IR) in peripheral tissues, is a complex disease with strong genetic and environmental susceptibilities (1, 2). The prevalence of diabetes and prediabetes worldwide is still increasing year by year (3, 4).The International Diabetes Federation estimates that currently there are approximately 589 million people worldwide suffering from diabetes, and this number is projected to increase to 853 million by 2025 (5). As of 2023, the number of patients with diabetes aged 20 years and above in China has reached an astonishing 233 million, an increase of approximately 163% compared to 2005, making China the country with the largest number of patients with diabetes in the world (6). Obesity, especially abdominal obesity, is a major risk factor for diabetes and its related comorbidities, including cardiovascular diseases, chronic kidney diseases, and nonalcoholic fatty liver disease (7). Compared with Europeans, Asians have lower lean muscle mass and relatively higher visceral fat content (8). Moreover, the overweight and obesity rates among the Chinese population have been on a continuous upward trend over the past 20 years (9). At the same time, lifestyle factors such as smoking (10), drinking alcohol (11), increased sedentary time, reduced physical activity time (12), decreased sleep time, and unhealthy eating habits are also important risk factors for diabetes (13).

Dietary intake significantly affects the body’s acid‑base balance (14). In epidemiology, potential renal acid load (PRAL) and net endogenous acid production (NEAP) are typically used to assess dietary acid load (DAL). Studies have shown that high DAL can lead to chronic tissue metabolic acidosis, which may in turn promote insulin resistance and type 2 diabetes (T2M) (1517). A study involving three cohorts in the United States showed that a higher diet-dependent acid load was associated with an increased risk of type 2 diabetes (18). A prospective study in Japan also indicated that a high DAL score was associated with an increased risk of type 2 diabetes in Japanese men (19). However, a study in Sweden showed that acid load scores were not associated with the incidence of diabetes (20). Therefore, the relationship between low-grade acidosis caused by diet and insulin resistance remains controversial.

At present, there is still a lack of research on the impact of DAL on diabetes and insulin resistance in the Chinese population. Therefore, this study aims to verify and expand on previous research findings, explore the relationship between DAL and diabetes in the Chinese population through the Chinese Nutrition and Health Survey (CHNS), and examine whether acid load scores are related to intermediate traits of diabetes.

Materials and methods

Data collection and participants

This study utilized data from the CHNS and the National Health and Nutrition Survey (NHANES) in the United States. The CHNS was initiated in 1989 and conducts follow-up surveys every 2–3 years, involving a total of 7,200 households in 15 provinces and municipalities directly under the Central Government (21). Biological sample information was only collected in 2009, so this study uses CHNS data from 2009 for research. The inclusion and exclusion criteria are as follows: 1) Select the CHNS data of 2009; 2) Exclude the population with incomplete or missing demographic variables, including: age (<18 years old), gender, educational attainment, and place of residence; 3) Exclude individuals with general physical conditions and deficiencies in related blood markers, including: height, weight, waist circumference, smoking questionnaire, drinking questionnaire, fasting blood glucose, fasting insulin, glycated hemoglobin, uric acid, creatinine, systolic blood pressure, and diastolic blood pressure; 4) Exclude the population with missing disease questionnaires and dietary data, including the average intake values of myocardial infarction, stroke, energy, fat, cholesterol, and carbohydrates. A total of 8,186 participants were included for analysis, among whom 3,930 were patients with diabetes and prediabetes. The National Health and Nutrition Examination Survey (NHANES) is a series of cross-sectional, complex, multistage surveys conducted by the Centers for Disease Control and Prevention (CDC) on a nationally representative sample of the noninstitutionalized U.S. population. It provides comprehensive data on the health and nutritional status of participants. This study utilized data from three NHANES cycles (2011–2016). After excluding records with missing demographic information, relevant disease questionnaires, physical examinations, and biomarker data, a total of 4,382 participants were included in the analysis, among whom 2,643 were diagnosed with diabetes or prediabetes. The detailed inclusion and exclusion process is illustrated in Fig. 1.

Fig 1
Fig. 1. The flow chart.

All participants provided informed consent. The data from the CHNS were approved by the Institutional Review Boards at the University of North Carolina at Chapel Hill and the China National Institute of Nutrition and Health. The NHANES data were approved by the Ethics Review Board of the National Center for Health Statistics (NCHS). This study was conducted in full accordance with the ethical principles established by the Declaration of Helsinki.

DAL estimations

The DAL was calculated using the PRAL and NEAP formulas established by Remer and Manz, as well as Frassetto and colleagues (22). The formulas are as follows:

PRAL (mEq/d) = 0.4888 × protein intake (g/d) + 0.0366 × phosphorus (mg/d) − 0.0205 × potassium (mg/d) − 0.0125 × calcium (mg/d) − 0.0263 × magnesium (mg/d).

NEAP (mEq/d) = (54.5 × protein intake (g/d) ÷ potassium intake (mEq/d)) − 10.2.

The CHNS collected dietary intake data from participants over 3 consecutive days, including 2 weekdays and 1 weekend day, using 24-h dietary recall questionnaires (21). Nutrient and energy intake for each food item were calculated based on the Chinese Food Composition Table (2002 and 2004 editions). The average intake across the 3 days was used for analysis. The validity and clinical applicability of the CHNS dietary recall method have been described in previous literature (23, 24).

Dietary intake information in NHANES was obtained directly from the dietary interview component. Nutrient and total energy intake for all participants were estimated using a computer-assisted 24-h dietary recall method. The average intake from the first and second days was used for analysis. The dietary interviews were conducted as part of the ‘What We Eat in America’ (WWEIA) program, a collaborative effort between the U.S. Department of Health and Human Services (DHHS) and the U.S. Department of Agriculture (USDA). The validity and clinical applicability of the NHANES dietary recall methodology have been well documented in previous literature (25, 26).

Definition of diabetes and prediabetes

In the current study, we primarily assessed blood glucose status based on the ADA standards. Diabetes was defined as self-reported diagnosis by a physician or healthcare professional, hemoglobin A1c (HbA1c) ≥ 6.5%, fasting plasma glucose (FPG) ≥ 126 mg/dL, or a 2-h oral glucose tolerance test (OGTT) value ≥ 200 mg/dL.

Prediabetes was defined as HbA1c ranging from 5.7 to 6.4%, FPG between 100 and 125 mg/dL, or a 2-h OGTT value between 140 and 199 mg/dL.

Normal glucose metabolism was defined as HbA1c < 5.7%, FPG < 100 mg/dL, and a 2-h OGTT value < 140 mg/dL.

Definition of insulin resistance indicators

We used the estimated glucose disposal rate (eGDR), homeostatic model assessment of insulin resistance (HOMA-IR), and triglyceride-glucose index (TyG) to assess insulin resistance. The formulas for calculation are as follows:

eGDR = 21.158 − (0.09 × waist circumference [cm]) − (3.407 × hypertension [yes 1 or no 0]) − (0.551 × glycated hemoglobin A1c [HbA1c] [%]) (27);

HOMA-IR = (fasting glucose [mmol/L] × fasting insulin [µU/mL])/22.5 (28);

TyG = Ln [fasting triglyceride (mg/dL) × fasting glucose (mg/dL)/2] (29).

Definition of covariates

For participants in the CHNS, potential confounders were identified based on existing literature and clinical knowledge. In this study, demographic and social covariates included: age (continuous), gender (male/female), educational level (junior high school and below, technical or vocational school, college and above), and residential area (urban, suburban). Physical measurements and lifestyle factors included: body mass index (BMI) and smoking status (never smoked, former smoker, current smoker). Comorbidities such as hypertension, myocardial infarction, stroke, hyperuricemia, and chronic kidney disease were also included as covariates based on questionnaire data. Dietary energy intake covariates comprised: average intake of energy, fat, cholesterol, and carbohydrates.

For NHANES participants, the covariates included age (continuous), gender (male/female), race/ethnicity (non-Hispanic white, non-Hispanic black, Mexican American, other Hispanic, and other races), educational attainment (less than high school, high school, and more than high school), poverty-income ratio (PIR), BMI, smoking status (never smoked, former smoker, current smoker), and comorbidities including hypertension, coronary heart disease, myocardial infarction, angina, heart failure, stroke, hyperuricemia, and chronic kidney disease. The selection and inclusion of these covariates have been described in previous publications.

Statistical analysis

Continuous variables are presented as mean (standard deviation, SD) or median (interquartile range, IQR), while categorical variables are summarized as frequencies. Group comparisons were performed using Student’s t-test, Fisher’s exact test, or the chi-square test, as appropriate.

The primary objectives of this study were to investigate whether DAL is associated with the prevalence of diabetes and prediabetes in the Chinese population and to examine the relationship between DAL and fasting blood glucose, fasting insulin, and insulin resistance indices among individuals with diabetes or prediabetes.

First, univariable and multivariable logistic regression analyses were employed to assess the association between DAL and the prevalence of diabetes and prediabetes. Second, univariable and multivariable linear regression models were used to evaluate the relationship between DAL and fasting blood glucose, fasting insulin, and insulin resistance markers in the affected population. Participants were categorized into four groups according to quartiles of DAL scores (Q1–Q4). To control the potential mixing effect, four sequential regression models were constructed: Model 1: Unadjusted. Model 2: Adjusted for demographic variables, including age, gender, educational level, and residential area. Model 3: Further adjusted for BMI, smoking status, hypertension, myocardial infarction, angina, hyperuricemia, and chronic kidney disease. Model 4: Additionally adjusted for average intake of energy, fat, and carbohydrates.

Mediation analysis was conducted to examine the potential mediating effect of insulin resistance indicators on the association between DAL and fasting blood glucose and insulin. Restricted cubic spline (RCS) regression was used to visualize and test for potential nonlinear relationships between DAL and fasting glucose, fasting insulin, and insulin resistance parameters.

Finally, sensitivity analyses were performed to assess the influence of DAL on fasting glucose, fasting insulin, and insulin resistance indices in both normoglycemic individuals and the overall population. A two-sided P-value < 0.05 was considered statistically significant. Comparative analyses using NHANES data are provided in Supplementary Materials 2.

Result

Baseline characteristics of the participant population

In this study, a total of 8,186 individuals were included. The overall characteristics of the participants are presented in Table 1. Among them, 3,930 participants were identified as having prediabetes or diabetes. Compared to the normoglycemic group, individuals with prediabetes or diabetes had significantly higher mean age, proportion of males, BMI, proportion of former and current smokers, HbA1c, fasting triglycerides, blood glucose, insulin levels, TyG index, PRAL, NEAP, and prevalence of comorbidities including hypertension, myocardial infarction, stroke, chronic kidney disease, and hyperuricemia (all P < 0.05). Conversely, they had significantly lower educational attainment, proportion of never-smokers, potassium intake, and eGDR (all P < 0.05). No statistically significant differences were observed between the two groups in terms of residential area or intake of phosphorus, calcium, magnesium, calories, carbohydrates, fat, or protein (all P > 0.05).

Table 1. The population baseline table of CHNS
Variables Diabetes or prediabetes population P
Total (n = 8,186) No (n = 4,256) Yes (n = 3,930)
Age (years) 50.33 ± 15.00 46.54 ± 15.03 54.45 ± 13.82 <0.001
Sex 0.004
Male 3,813 (46.58) 1,917 (45.04) 1,896 (48.24)
Female 4,373 (53.42) 2,339 (54.96) 2,034 (51.76)
Education <0.001
Below high school 3,545 (43.33) 1,675 (39.38) 1,870 (47.61)
High school 4,230 (51.71) 2,335 (54.90) 1,895 (48.24)
Above high school 406 (4.96) 243 (5.71) 163 (4.15)
Place 0.061
Urban 2,676 (32.69) 1,431 (33.62) 1,245 (31.68)
Rural 5,510 (67.31) 2,825 (66.38) 2,685 (68.32)
BMI 23.38 ± 3.47 22.65 ± 3.22 24.16 ± 3.55 <0.001
Hypertension <0.001
No 7,103 (86.77) 3,895 (91.52) 3,208 (81.63)
Yes 1,083 (13.23) 361 (8.48) 722 (18.37)
Myocardial infarction 0.012
No 8,107 (99.03) 4,226 (99.30) 3,881 (98.75)
Yes 79 (0.97) 30 (0.70) 49 (1.25)
Stroke <0.001
No 8,074 (98.63) 4,226 (99.30) 3,848 (97.91)
Yes 112 (1.37) 30 (0.70) 82 (2.09)
Chronic kidney disease <0.001
No 7,235 (88.38) 3,892 (91.45) 3,343 (85.06)
Yes 951 (11.62) 364 (8.55) 587 (14.94)
Hyperuricemia <0.001
No 6,936 (84.73) 3,769 (88.56) 3,167 (80.59)
Yes 1,250 (15.27) 487 (11.44) 763 (19.41)
Smoking 0.003
Former 265 (3.24) 122 (2.87) 143 (3.64)
Never 5,648 (69.02) 3,005 (70.62) 2,643 (67.29)
Now 2,270 (27.74) 1,128 (26.51) 1,142 (29.07)
P (mg) 1855.53 ± 688.12 1859.91 ± 691.77 1850.79 ± 684.21 0.549
K (mg) 3274.33 ± 1444.29 3313.20 ± 1472.41 3232.24 ± 412.19 0.011
Ca (mg) 696.70 ± 482.66 693.23 ± 482.41 700.46 ± 82.96 0.498
Mg (mg) 541.69 ± 219.25 542.26 ± 221.39 541.07 ± 16.95 0.806
Calorie (kcal) 2137.06 ± 663.35 2136.83 ± 635.64 2137.30 ± 692.19 0.975
Carbohydrate (g) 294.77 ± 101.93 296.30 ± 101.32 293.11 ± 102.57 0.157
Fat (g) 74.92 ± 40.27 74.65 ± 36.10 75.20 ± 44.35 0.542
Protein (g) 65.90 ± 22.97 65.68 ± 22.64 66.15 ± 23.32 0.356
Grains (g) 902.88 ± 363.40 911.06 ± 371.91 894.02 ± 353.80 0.034
Fruits (g) 140.01 ± 226.57 146.62 ± 236.77 132.85 ± 214.77 0.006
Starchy Vegetables (g) 73.90 ± 115.02 77.15 ± 119.40 70.37 ± 109.98 0.008
Legumes (g) 91.34 ± 131.86 94.03 ± 133.91 88.44 ± 129.56 0.055
Soy Products (g) 87.27 ± 117.60 86.11 ± 113.68 88.52 ± 121.70 0.354
Nuts (g) 7.43 ± 38.06 7.41 ± 35.04 7.46 ± 41.08 0.957
Beverages (g) 4.62 ± 47.04 6.47 ± 57.37 2.62 ± 32.23 <0.001
Sugars (g) 0.10 ± 2.15 0.11 ± 2.40 0.08 ± 1.84 0.550
Pickles (g) 4.41 ± 14.71 4.78 ± 15.30 4.01 ± 14.03 0.018
Meat (g) 151.37 ± 144.94 159.40 ± 146.79 142.67 ± 142.42 <0.001
Poultry (g) 30.29 ± 70.24 32.34 ± 71.33 28.07 ± 68.99 0.006
Aquatic Products (g) 209.77 ± 342.40 240.90 ± 379.48 176.06 ± 293.42 <0.001
Eggs (g) 349.90 ± 344.14 301.21 ± 315.35 402.63 ± 365.61 <0.001
Dairy Products (g) 41.46 ± 117.67 37.19 ± 114.22 46.08 ± 121.14 <0.001
Triglyceride (mg/dL) 148.34 ± 130.63 124.23 ± 97.66 174.46 ± 154.61 <0.001
Glucose (mg/dL) 97.21 ± 26.30 86.75 ± 8.32 108.53 ± 33.45 <0.001
Insulin (μIU/mL) 14.40 ± 22.51 11.15 ± 14.17 17.92 ± 28.54 <0.001
HbA1c (%) 5.62 ± 0.88 5.22 ± 0.37 6.06 ± 1.04 <0.001
TyG 8.63 ± 0.72 8.40 ± 0.60 8.88 ± 0.76 <0.001
eGDR 10.16 ± 1.82 10.77 ± 1.47 9.50 ± 1.93 <0.001
HOMA-IR 3.76 ± 7.18 2.41 ± 2.94 5.23 ± 9.68 <0.001
PRAL 10.05 ± 22.52 9.33 ± 23.15 10.82 ± 21.78 0.003
NEAP 35.38 ± 13.15 34.69 ± 12.96 36.13 ± 13.31 <0.001
The data are presented as the numbers (%). Significant P-values < 0.05 are in bold.

Association between DAL and diabetes and prediabetes

As shown in Tables 2 and 3, whether DAL was treated as a continuous variable or categorized into quartiles (Q1–Q4), higher acid load levels and the highest quartile (Q4) remained significantly associated with an increased risk of diabetes and prediabetes in the adjusted models (Model 2, Model 3, and Model 4) (P < 0.001). It is noteworthy, however, that in the unadjusted Model 1, the results for the continuous DAL variables showed odds ratios (ORs) below 1 (PRAL: 0.995; NEAP: 0.994), while the highest quartile (Q4) exhibited ORs significantly greater than 1 (PRAL: 1.197; NEAP: 1.276), with all results being statistically significant (P < 0.05).

Table 2. ORs and 95% CI for diabetes and prediabetes risk based on PRAL
Model 1 Model 2 Model 3 Model 4
Continuous 0.995 (0.992, 0.998) 0.002 1.005 (1.003, 1.007) <0.001 1.004 (1.002, 1.006) <0.001 1.004 (1.002, 1.006) <0.001
Q1 Ref Ref Ref Ref
Q2 1.043 (0.922, 1.179) 0.501 1.038 (0.913, 1.179) 0.568 1.073 (0.941, 1.223) 0.296 1.069 (0.937, 1.220) 0.318
Q3 1.085 (0.959, 1.226) 0.194 1.142 (1.005, 1.298) 0.042 1.159 (1.016, 1.322) 0.028 1.152 (1.010, 1.314) 0.035
Q4 1.197 (1.059, 1.354) 0.004 1.323 (1.162, 1.506) <0.001 1.299 (1.137, 1.483) <0.001 1.287 (1.122, 1.477) <0.001
Model 1: No covariates were adjusted.
Model 2: Adjusted for age, sex, education, and place.
Model 3: Adjusted for age, sex, education, place, BMI, hypertension, myocardial infarction, stroke, chronic kidney disease, hyperuricemia, and smoke status.
Model 4: Adjusted for age, sex, education, place, BMI, hypertension, myocardial infarction, stroke, chronic kidney disease, hyperuricemia, smoke status, calorie, carbohydrate, and fat.
The meaning of the bolded font is the result with significant statistical significance in the table.

 

Table 3. ORs and 95% CI for diabetes and prediabetes risk based on NEAP
Model 1 Model 2 Model 3 Model 4
Continuous 0.994 (0.991, 0.997) <0.001 1.010 (1.006, 1.014) <0.001 1.009 (1.005, 1.013) <0.001 1.009 (1.005, 1.012) <0.001
Q1 Ref Ref Ref Ref
Q2 1.007 (0.890, 1.138) 0.917 1.044 (0.919, 1.187) 0.506 1.067 (0.935, 1.216) 0.336 1.061 (0.930, 1.210) 0.380
Q3 1.079 (0.954, 1.219) 0.227 1.117 (0.983, 1.269) 0.089 1.142 (1.002, 1.302) 0.047 1.130 (0.990, 1.289) 0.070
Q4 1.267 (1.121, 1.433) <0.001 1.346 (1.184, 1.531) <0.001 1.345 (1.179, 1.535) <0.001 1.326 (1.161, 1.514) <0.001
Model 1: No covariates were adjusted.
Model 2: Adjusted for age, sex, education, and place.
Model 3: Adjusted for age, sex, education, place, BMI, hypertension, myocardial infarction, stroke, chronic kidney disease, hyperuricemia, and smoke status.
Model 4: Adjusted for age, sex, education, place, BMI, hypertension, myocardial infarction, stroke, chronic kidney disease, hyperuricemia, smoke status, calorie, carbohydrate, and fat.
The meaning of the bolded font is the result with significant statistical significance in the table.

Association between DAL and measures of blood glucose and insulin resistance among patients

As presented in Tables 4 and 5, after full adjustment for covariates, both continuous PRAL (β: 0.012, 95% confidence interval [CI]: 0.004, 0.020, P = 0.035) and NEAP (β: 0.111, 95% CI: 0.033, 0.189, P = 0.005) were positively associated with increased fasting blood glucose. Similarly, the highest quartile (Q4) of PRAL (β: 3.135, 95% CI: 0.079, 6.191, P = 0.044) and NEAP (β: 3.694, 95% CI: 0.765, 6.623, P = 0.013) also showed significant positive associations with elevated fasting glucose.

Table 4. The association between PRAL and fasting blood glucose
Model 1 Model 2 Model 3 Model 4
Continuous 0.050 (0.002, 0.098) 0.042 0.051 (0.003, 0.100) 0.038 0.046 (−0.002, 0.094) 0.061 0.012 (0.004, 0.100) 0.035
Q1 Ref Ref Ref Ref
Q2 2.408 (−0.549, 5.365) 0.111 2.253 (−0.690, 5.196) 0.134 2.208 (−0.702, 5.119) 0.137 2.041 (−0.866, 4.948) 0.169
Q3 2.938 (−0.020, 5.896) 0.052 2.992 (0.041, 5.943)0.047 2.857 (−0.059, 5.774) 0.055 3.076 (0.171, 5.980) 0.038
Q4 2.760 (−0.195, 5.716) 0.067 2.852 (−0.139, 5.842) 0.062 2.389 (−0.569, 5.347) 0.114 3.135 (0.079, 6.191) 0.044
Model 1: No covariates were adjusted.
Model 2: Adjusted for age, sex, education, and place.
Model 3: Adjusted for age, sex, education, place, BMI, hypertension, myocardial infarction, stroke, chronic kidney disease, hyperuricemia, and smoke status.
Model 4: Adjusted for age, sex, education, place, BMI, hypertension, myocardial infarction, stroke, chronic kidney disease, hyperuricemia, smoke status, calorie, carbohydrate, and fat.
The meaning of the bolded font is the result with significant statistical significance in the table.

 

Table 5. The association between NEAP and fasting blood glucose
Model 1 Model 2 Model 3 Model 4
Continuous 0.146 (0.067, 0.224) <0.001 0.140 (0.061, 0.218) <0.001 0.118 (0.040, 0.196) 0.003 0.111 (0.033, 0.189) 0.005
Q1 Ref Ref Ref Ref
Q2 2.901 (−0.055, 5.857) 0.055 2.858 (−0.088, 5.805) 0.057 2.422 (−0.494, 5.337) 0.104 2.473 (−0.430, 5.376) 0.095
Q3 2.930 (−0.026, 5.886) 0.052 2.755 (−0.201, 5.712) 0.068 2.450 (−0.457, 5.376) 0.101 2.687 (−0.233, 5.608) 0.071
Q4 4.458 (1.501, 7.414) 0.003 4.445 (1.493, 7.398) 0.003 3.947 (1.022, 6.871) 0.008 3.694 (0.765, 6.623) 0.013
Model 1: No covariates were adjusted.
Model 2: Adjusted for age, sex, education, and place.
Model 3: Adjusted for age, sex, education, place, BMI, hypertension, myocardial infarction, stroke, chronic kidney disease, hyperuricemia, and smoke status.
Model 4: Adjusted for age, sex, education, place, BMI, hypertension, myocardial infarction, stroke, chronic kidney disease, hyperuricemia, smoke status, calorie, carbohydrate, and fat.
The meaning of the bolded font is the result with significant statistical significance in the table.

Regarding the relationship between DAL and the eGDR, as shown in Tables 6 and 7, both continuous PRAL (β: −0.002, 95% CI: −0.003, −0.001, P = 0.002) and NEAP (β: −0.004, 95% CI: −0.006, −0.002, P < 0.001) were inversely associated with eGDR. This negative association was also observed in the highest quartile (Q4) for both PRAL (β: −0.091, 95% CI: −0.170, −0.012, P = 0.023) and NEAP (β: −0.105, 95% CI: −0.180, −0.030, P = 0.006).

Table 6. The association between PRAL and eGDR
Model 1 Model 2 Model 3 Model 4
Continuous −0.001 (−0.004, 0.001) 0.297 0.004 (0.006,0.001) 0.007 0.002 (0.003,0.001) 0.003 0.002 (0.003,0.001) 0.002
Q1 Ref Ref Ref Ref
Q2 −0.122 (−0.283, 0.058) 0.196 −0.105 (−0.268, 0.059) 0.209 0.096 (0.171,0.022) 0.011 0.097 (0.172,0.022) 0.011
Q3 −0.063 (−0.234, 0.107) 0.468 −0.132 (−0.296, 0.331) 0.113 −0.057 (−0.132, 0.018) 0.136 −0.060 (−0.135, 0.015) 0.115
Q4 −0.008 (−0.178, 0.163) 0.929 −0.161 (−0.327, 0.004) 0.056 −0.087 (−0.163, −0.011) 0.024 −0.091 (−0.170, −0.012) 0.023
Model 1: No covariates were adjusted.
Model 2: Adjusted for age, sex, education, and place.
Model 3: Adjusted for age, sex, education, place, BMI, hypertension, myocardial infarction, stroke, chronic kidney disease, hyperuricemia, and smoke status.
Model 4: Adjusted for age, sex, education, place, BMI, hypertension, myocardial infarction, stroke, chronic kidney disease, hyperuricemia, smoke status, calorie, carbohydrate, and fat.
The meaning of the bolded font is the result with significant statistical significance in the table.

 

Table 7. The association between NEAP and eGDR
Model 1 Model 2 Model 3 Model 4
Continuous −0.008 (−0.013, −0.004) <0.001 −0.008 (−0.013, −0.004) <0.001 −0.004 (−0.99, −0.002) <0.001 −0.004 (−0.99, −0.002) <0.001
Q1 Ref Ref Ref Ref
Q2 −0.117 (−0.288, 0.053) 0.178 −0.144 (−0.308, 0.019) 0.083 −0.055 (−0.130, 0.020) 0.150 −0.056 (−0.131, 0.019) 0.141
Q3 −0.121 (−0.292, 0.049) 0.163 −0.179 (−0.342, −0.015) 0.033 −0.097 (−0.172, −0.022) 0.011 −0.102 (−0.177, −0.026) 0.008
Q4 −0.193 (−0.363, −0.022) 0.027 −0.242 (−0.406, −0.079) 0.004 −0.104 (−0.179, −0.029) 0.006 −0.105 (−0.180, −0.030) 0.006
Model 1: No covariates were adjusted.
Model 2: Adjusted for age, sex, education, and place.
Model 3: Adjusted for age, sex, education, place, BMI, hypertension, myocardial infarction, stroke, chronic kidney disease, hyperuricemia, and smoke status.
Model 4: Adjusted for age, sex, education, place, BMI, hypertension, myocardial infarction, stroke, chronic kidney disease, hyperuricemia, smoke status, calorie, carbohydrate, and fat.
The meaning of the bolded font is the result with significant statistical significance in the table.

Meanwhile, among individuals with diabetes or prediabetes, no significant associations were found between DAL and fasting insulin levels, the TyG index, or HOMA-IR (see Supplementary Tables 1–6) (P > 0.05).

Intermediary analysis

As shown in Fig. 2, eGDR exhibited a significant mediating effect in the association between PRAL and fasting blood glucose, accounting for 69.74% of the total effect (P = 0.048). Similarly, eGDR also mediated 65.75% of the effect of NEAP on fasting blood glucose (P = 0.004). In contrast, no significant mediating effects were observed for HOMA-IR or the TyG index.

Fig 2
Fig. 2. Analysis of mediating effects. (a) The mediating effect of eGDR between PRAL and fasting blood glucose was 65.74%, which was significant. (b) The mediating effect of HOMA-IR in PRAL and fasting blood glucose was 11.47%, which was not significant. (c) The mediating effect of TyG in PRAL and fasting blood glucose was 5.12%, which was not significant. (d) The mediating effect of eGDR between NEAP and fasting blood glucose was 65.75%, which was significant. (e) The mediating effect of HOMA-IR in NEAP and fasting blood glucose was 6.17%, which was not significant. (f) The mediating effect of TyG in NEAP and fasting blood glucose was −6.53%, which was not significant.

Furthermore, as illustrated in Fig. 3, neither eGDR, HOMA-IR, nor the TyG index demonstrated a significant mediating role in the relationship between DAL and fasting insulin (INS) levels.

Fig 3
Fig. 3. Analysis of mediating effects. (a) The mediating effect of eGDR between PRAL and fasting insulin was 8.12%, which was not significant. (b) The mediating effect of HOMA-IR in PRAL and fasting insulin was 94.83%, which was not significant. (c) The mediating effect of TyG in PRAL and fasting insulin was 1.24%, which was not significant. (d) The mediating effect of eGDR between NEAP and fasting insulin was 9.56%, which was not significant. (e) The mediating effect of HOMA-IR in NEAP and fasting insulin was 94.89%, which was not significant. (f) The mediating effect of TyG in NEAP and fasting insulin was 66.33%, which was not significant.

The RCS curve between DAL and the glucose metabolism indicators of the patient population

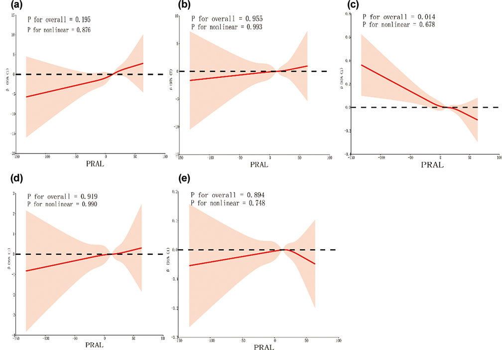
Figures 4 and 5 present the RCS curves illustrating the relationships of PRAL and NEAP with fasting blood glucose, fasting insulin, eGDR, HOMA-IR, and the TyG index. No significant nonlinear associations were observed between these variables (P for nonlinearity > 0.05).

Fig 4
Fig. 4. Restricted cubic spline regression analysis. (a) There is no nonlinear relationship between PRAL and fasting blood glucose. (b) There is no nonlinear relationship between PRAL and fasting insulin. (c) There is no nonlinear relationship between PRAL and eGDR. (d) There is no nonlinear relationship between PRAL and HOMA-IR. (e) There is no nonlinear relationship between PRAL and TyG.

Fig 5
Fig. 5. Restricted cubic spline regression analysis. (a) There is no nonlinear relationship between NEAP and fasting blood glucose. (b) There is no nonlinear relationship between NEAP and fasting insulin. (c) There is no nonlinear relationship between NEAP and eGDR. (d) There is no nonlinear relationship between NEAP and HOMA-IR. (e) There is no nonlinear relationship between NEAP and TyG.

Sensitivity analysis and NHANES comparison

In Supplementary File 1, we analyzed the association between DAL and glucose metabolism indicators in the overall population (Supplementary Tables 7–16). Continuous DAL measures remained significantly associated with fasting blood glucose and eGDR (P < 0.05), with effect directions consistent with those observed in the population with dysglycemia. In contrast, no significant associations were observed between DAL and fasting insulin, TyG index, or HOMA-IR. It is worth noting that the highest quartile of DAL (Q4) showed partial or full significant associations with most indicators, except for the TyG index. Additionally, significant nonlinear relationships were identified between PRAL and both fasting blood glucose and eGDR (Supplementary Fig. 1).

In Supplementary File 2, we present the results of the analysis examining the influence of DAL on diabetes, prediabetes, and glucose metabolism indicators in the NHANES population. As shown in Supplementary Tables 18 and 19, no significant association was observed between DAL and either diabetes or prediabetes, and the direction of the point estimates was opposite to that in the Chinese population (e.g. PRAL: OR 0.989, 95% CI: 0.983, 0.996). Furthermore, unlike in the Chinese cohort, DAL was not significantly associated with fasting blood glucose in the U.S. population (Supplementary Tables 22 and 23; P > 0.05), indicating differences between the two populations. Although logistic regression yielded opposite trends to those in the Chinese population and no significant mediation effects were detected (Supplementary Figs. 3 and 4), higher DAL levels were still associated with elevated fasting insulin, reduced eGDR, and higher HOMA-IR in some partially adjusted models analyzing glucose metabolism. In the analysis of the full NHANES population (Supplementary Tables 30–39), the results were consistent with those in the dysglycemia subgroup, showing no significant correlations between DAL and any of the glucose metabolism indicators.

Discussion

This study represents the first large-scale cross-sectional investigation examining the association between DAL and diabetes and glucose metabolism indicators among Chinese adults. The analysis utilized comprehensive data from a geographically diverse population and adjusted for a wide range of potential confounding factors. Our findings demonstrate that both PRAL and NEAP are significantly associated with an increased risk of diabetes and prediabetes in the Chinese population. Higher DAL levels were correlated with elevated fasting blood glucose and reduced eGDR in individuals with dysglycemia. Moreover, eGDR was identified as a significant mediator in the relationship between DAL and fasting glucose levels.

The influence of diet on acid‑base balance is of vital importance. Fruits and vegetables are rich in potassium salts of metabolizable anions, which have an alkalizing effect. In contrast, sulfur amino acids contained in animal proteins and grains are nonmetabolizable anions and are decisive factors for daily acid load (3032). People who mainly consume animal protein also have higher urine PH and excretion of uric acid, phosphate and other substances (32, 33). Meanwhile, other studies have also shown that a higher DAL may be associated with a higher risk of cancer (34). Moreover, a high DAL may be an unfavorable factor for cancer risk and prognosis (35). Meanwhile, high DAL is directly associated with an increased risk of CKD and decreased renal function (36), as well as independent risk factors for higher DAL blood pressure and elevated TG (37).

Dietary acid is a key factor influencing acid‑base balance in patients with chronic conditions. Currently, the most common methods for estimating acid‑base balance are PRAL and NEAP, which are calculated based on dietary components such as calcium, phosphorus, magnesium, potassium, and protein. This study is the first to identify a significant association between DAL and the prevalence of diabetes and prediabetes in the Chinese population. Specifically, higher DAL was correlated with elevated fasting blood glucose and reduced eGDR in individuals with dysglycemia, but no significant association was observed with fasting insulin, HOMA-IR, or the TyG. These findings align with and extend previous international research. For instance, a 7.4-year prospective Korean study linked higher DAL to an increased risk of future insulin resistance (38); an Australian cohort study suggested that insulin resistance related to long-term Western diet may be mediated by mild metabolic acidosis (39); an Iranian cross-sectional study reported an association between higher acid load and increased prevalence of prediabetes (40); a 16-week randomized controlled trial in overweight adults found positive correlations between changes in PRAL/NEAP and weight, fat mass, visceral fat, and insulin resistance (41). Our study not only fills a critical gap in evidence from China but also uniquely identifies eGDR as a significant mediator in the relationship between DAL and fasting glucose. This suggests that maintaining higher eGDR – a surrogate marker of insulin resistance derived from waist circumference, hypertension status, and HbA1c – may not only reduce the risk of stroke, cardiovascular events, and related mortality (27, 4245) but also play a crucial role in stabilizing glucose fluctuations and improving long-term outcomes in individuals with diabetes or prediabetes.

Finally, sensitivity analysis in the overall Chinese population confirmed that the association between DAL and both fasting blood glucose and eGDR remained consistent and statistically significant. In contrast, cross-sectional analysis of the U.S. population using NHANES data showed no significant association between DAL and the prevalence of diabetes or prediabetes. Furthermore, the relationship between DAL and glucose metabolism indicators lacked consistent significance across statistical models, with associations observed only in a limited number of partially adjusted models for fasting glucose, fasting insulin, and eGDR. These findings are inconsistent with previous cohort studies (18). However, another NHANES-based study indicated that high dietary intake of carbohydrates, saturated fatty acids, monounsaturated fatty acids, polyunsaturated fatty acids, protein, total fat, and cholesterol was associated with impaired glucose tolerance (46). Thus, the relationship between DAL and diabetes or glucose metabolism in the U.S. population warrants further investigation through more detailed nutrient composition analyses and prospective cohort studies.

The pathophysiology of type 2 diabetes is initiated by the failure of β-cell function and insulin resistance in multiple tissues (47) and gradually spreads to the dysfunction of multiple organs such as the kidneys, brain, gastrointestinal tract, and adipose tissue, accompanied by chronic inflammation and immune dysregulation, resulting in a systemic, networked metabolic syndrome (48). The underlying mechanisms linking DAL to blood glucose dysregulation and insulin resistance have not been fully elucidated, but several plausible explanations have been proposed. Diets high in acid-forming animal-based foods such as meat, fish, and cheese can increase endogenous acid production (49). Such dietary patterns, which are rich in animal products, have frequently been associated with various metabolic disorders and inflammatory processes (50, 51), particularly among obese individuals (52). Inflammatory cytokines released during these processes may directly impair insulin sensitivity and contribute to abnormal glucose tolerance (53). Furthermore, chronic hyperglycemia and insulin resistance can promote the accumulation of visceral adipose tissue (54), creating a vicious cycle that exacerbates lipogenesis and ultimately leads to insulin resistance-related diabetes (5557).

Our study has several limitations that should be acknowledged. First, as a cross-sectional investigation, it cannot establish a causal relationship between DAL and diabetes or glucose metabolism indicators. Second, the PRAL and NEAP scores were derived from mathematical model formulas rather than objective physiological measurements. Third, dietary assessment relied on self-reported questionnaires, which are inherently subject to recall bias. Finally, due to practical constraints, genetic factors were not considered in this analysis. Future research should seek to incorporate genetic polymorphisms to provide more individualized and precise strategies for diabetes prevention and treatment.

Conclusion

In summary, our findings indicate that a higher DAL is associated with an increased prevalence of diabetes and prediabetes, as well as elevated fasting blood glucose and reduced eGDR among affected individuals. These results highlight the clinical importance of DAL management in diabetes prevention and glycemic control, offering valuable insights for improving long-term health outcomes in this population.

Acknowledgments

We sincerely thank all the participants and researchers of CHNS and NHANES for their contributions.

Author contributions

Conceptualization: S.J. and Y.S.; Methodology: S.J. and Y.S.; Writing – original draft preparation: S.J. and Q.C.; Writing – review and editing: S.J., X.M., W.H., Y.Z., and P.W. All authors read and approved the final manuscript.

Clinical trial number

Not applicable.

Data availability

Online website (https://chns.cpc.unc.edu/data/) contains the datasets used in this investigation. When registration is reviewed and approved, the data set could be downloaded following the provided instructions.

Data used in this study from 2011 to 2016 National Health and Nutrition Examination Survey (NHANES) data sets can be accessed through the NHANES website: https://www.cdc.gov/nchs/nhanes/index.htm.

Consent for publication

All authors approved the final manuscript and the submission to this journal.

Declarations

Ethics approval and consent to participate

Ethical approval was secured, and informed consent was acquired from all the participants engaged in the research.

Statement on the use of artificial intelligence

We declare that no artificial intelligence was used in the writing and creation of this article.

References

1. Hodgson S, Williamson A, Bigossi M, Stow D, Jacobs BM, Samuel M, et al. Genetic basis of early onset and progression of type 2 diabetes in South Asians. Nat Med. 2025 Jan;31(1):323–31. doi: 10.1038/s41591-024-03317-8
2. Jia W, Chan JC, Wong TY, Fisher EB. Diabetes in China: epidemiology, pathophysiology and multi-omics. Nat Metab. 2025 Jan 14;7(1):16–34. doi: 10.1038/s42255-024-01190-w
3. Tuomilehto J, Lindström J, Eriksson JG, Valle TT, Hämäläinen H, Ilanne-Parikka P, et al. Prevention of Type 2 Diabetes Mellitus by Changes in Lifestyle among Subjects with Impaired Glucose Tolerance. N Engl J Med. 2001 May 3;344(18):1343–50. doi: 10.1056/NEJM200105033441801
4. Weil AR. The Growing Burden Of Noncommunicable Diseases. Health Affairs. 2015 Sep;34(9):1439–1439. doi: 10.1377/hlthaff.2015.0974
5. Magliano DJ, Boyko EJ; IDF Diabetes Atlas 10th edition scientific committee. IDF DIABETES ATLAS [Internet]. 10th ed. Brussels: International Diabetes Federation; 2021. PMID: 35914061.
6. Zhou YC, Liu JM, Zhao ZP, Zhou MG, Ng M. The national and provincial prevalence and non-fatal burdens of diabetes in China from 2005 to 2023 with projections of prevalence to 2050. Military Med Res. 2025 Jun 2;12(1):28. doi: 10.1186/s40779-025-00615-1
7. Jia W-P, Wang C, Jiang S, Pan J-M. Characteristics of obesity and its related disorders in China. Biomed Environ Sci 2010; 23: 4. doi: 10.1016/S0895-3988(10)60025-68.
8. Chen P, Hou X, Hu G, Wei L, Jiao L, Wang H, et al. Abdominal subcutaneous adipose tissue: a favorable adipose depot for diabetes? Cardiovasc Diabetol. 2018 Dec;17(1):93. doi: 10.1186/s12933-018-0734-8
9. Jia Wp, Xiang Ks, Chen L, Lu Jx, Wu Ym. Epidemiological study on obesity and its comorbidities in urban Chinese older than 20 years of age in Shanghai, China. Obesity Reviews. 2002 Aug;3(3):157–65. doi: 10.1046/j.1467-789X.2002.00071.x
10. Chan KH, Wright N, Xiao D, Guo Y, Chen Y, Du H, et al. Tobacco smoking and risks of more than 470 diseases in China: a prospective cohort study. The Lancet Public Health. 2022 Dec;7(12):e1014–26.
11. Li MJ, Ren J, Zhang WS, Jiang CQ, Jin YL, Lam TH, et al. Association of alcohol drinking with incident type 2 diabetes and pre-diabetes: The Guangzhou Biobank Cohort Study. Diabetes Metabolism Res. 2022 Sep;38(6):e3548. doi: 10.1002/dmrr.3548
12. Bennett DA, Du H, Bragg F, Guo Y, Wright N, Yang L, et al. Physical activity, sedentary leisure-time and risk of incident type 2 diabetes: a prospective study of 512 000 Chinese adults. BMJ Open Diab Res Care. 2019 Dec;7(1):e000835. doi: 10.1136/bmjdrc-2019-000835
13. Ma B, Jin X. Does Internet Use Connect Us to a Healthy Diet? Evidence from Rural China. Nutrients. 2022 Jun 24;14(13):2630. doi: 10.3390/nu14132630
14. Frassetto LA, Todd KM, Morris RC, Sebastian A. Estimation of net endogenous noncarbonic acid production in humans from diet potassium and protein contents. The American Journal of Clinical Nutrition. 1998 Sep;68(3):576–83. doi: 10.1093/ajcn/68.3.576
15. Fagherazzi G, Vilier A, Bonnet F, Lajous M, Balkau B, Boutron-Ruault MC, et al. Dietary acid load and risk of type 2 diabetes: the E3N-EPIC cohort study. Diabetologia. 2014 Feb;57(2):313–20. doi: 10.1007/s00125-013-3100-0
16. Smeha L, Fassula AS, Franco Moreno YM, Gonzalez-Chica DA, Nunes EA. Dietary acid load is positively associated with insulin resistance: a population-based study. Clinical Nutrition ESPEN. 2022 Jun;49:341–7. doi: 10.1016/j.clnesp.2022.03.025
17. Akter S, Eguchi M, Kuwahara K, Kochi T, Ito R, Kurotani K, et al. High dietary acid load is associated with insulin resistance: The Furukawa Nutrition and Health Study. Clinical Nutrition. 2016 Apr;35(2):453–9. doi: 10.1016/j.clnu.2015.03.008
18. Kiefte-de Jong JC, Li Y, Chen M, Curhan GC, Mattei J, Malik VS, et al. Diet-dependent acid load and type 2 diabetes: pooled results from three prospective cohort studies. Diabetologia. 2017 Feb;60(2):270–9. doi: 10.1007/s00125-016-4153-7
19. Akter S, Kurotani K, Kashino I, Goto A, Mizoue T, Noda M, et al. High Dietary Acid Load Score Is Associated with Increased Risk of Type 2 Diabetes in Japanese Men: The Japan Public Health Center–based Prospective Study. The Journal of Nutrition. 2016 May;146(5):1076–83. doi: 10.3945/jn.115.225177
20. Xu H, Jia T, Huang X, Risérus U, Cederholm T, Ärnlöv J, et al. Dietary acid load, insulin sensitivity and risk of type 2 diabetes in community-dwelling older men. Diabetologia. 2014 Aug;57(8):1561–8. doi: 10.1007/s00125-014-3275-z
21. Popkin BM, Du S, Zhai F, Zhang B. Cohort Profile: The China Health and Nutrition Survey--monitoring and understanding socio-economic and health change in China, 1989-2011. International Journal of Epidemiology. 2010 Dec 1;39(6):1435–40. doi: 10.1093/ije/dyp322
22. Remer T, Dimitriou T, Manz F. Dietary potential renal acid load and renal net acid excretion in healthy, free-living children and adolescents. The American Journal of Clinical Nutrition. 2003 May;77(5):1255–60. doi: 10.1093/ajcn/77.5.1255
23. Lin F, Zhang M, Wang R, Sun M, Zhang Z, Qiao Y, et al. Association between Dietary Acid Load and Hypertension in Chinese Adults: Analysis of the China Health and Nutrition Survey (2009). Nutrients. 2023 Nov 3;15(21):4664. doi: 10.3390/nu15214664
24. Zhang M, Ye C, Wang R, Zhang Z, Huang X, Halimulati M, et al. Association between Dietary Acid Load and Hyperuricemia in Chinese Adults: Analysis of the China Health and Nutrition Survey (2009). Nutrients. 2023 Apr 7;15(8):1806. doi: 10.3390/nu15081806
25. Steinfeldt LC, Martin CL, Clemens JC, Moshfegh AJ. Comparing Two Days of Dietary Intake in What We Eat in America (WWEIA), NHANES, 2013–2016. Nutrients. 2021 Jul 29;13(8):2621. doi: 10.3390/nu13082621
26. Ahluwalia N, Dwyer J, Terry A, Moshfegh A, Johnson C. Update on NHANES Dietary Data: Focus on Collection, Release, Analytical Considerations, and Uses to Inform Public Policy. Advances in Nutrition. 2016 Jan;7(1):121–34. doi: 10.3945/an.115.009258
27. Zabala A, Darsalia V, Lind M, Svensson AM, Franzén S, Eliasson B, et al. Estimated glucose disposal rate and risk of stroke and mortality in type 2 diabetes: a nationwide cohort study. Cardiovasc Diabetol. 2021 Dec;20(1):202. doi: 10.1186/s12933-021-01394-4
28. Matthews DR, Hosker JP, Rudenski AS, Naylor BA, Treacher DF, Turner RC. Homeostasis model assessment: insulin resistance and beta-cell function from fasting plasma glucose and insulin concentrations in man. Diabetologia. 1985 Jul; 28(7):412–9. doi: 10.1007/BF00280883
29. Guerrero-Romero F, Simental-Mendía LE, González-Ortiz M, Martínez-Abundis E, Ramos-Zavala MG, Hernández-González SO, et al. The Product of Triglycerides and Glucose, a Simple Measure of Insulin Sensitivity. Comparison with the Euglycemic-Hyperinsulinemic Clamp. The Journal of Clinical Endocrinology & Metabolism. 2010 Jul 1;95(7):3347–51. doi: 10.1210/jc.2010-0288
30. Demigné C, Sabboh H, Rémésy C, Meneton P. Protective Effects of High Dietary Potassium: Nutritional and Metabolic Aspects. The Journal of Nutrition. 2004 Nov;134(11):2903–6. doi: 10.1093/jn/134.11.2903
31. Maurer M, Riesen W, Muser J, Hulter HN, Krapf R. Neutralization of Western diet inhibits bone resorption independently of K intake and reduces cortisol secretion in humans. American Journal of Physiology-Renal Physiology. 2003 Jan 1;284(1):F32–40. doi: 10.1152/ajprenal.00212.2002
32. Breslau NA, Brinkley L, Hill KD, Pak CYC. Relationship of Animal Protein-Rich Diet to Kidney Stone Formation and Calcium Metabolism*. The Journal of Clinical Endocrinology & Metabolism. 1988 Jan;66(1):140–6. doi: 10.1210/jcem-66-1-140
33. Adeva MM, Souto G. Diet-induced metabolic acidosis. Clinical Nutrition. 2011 Aug;30(4):416–21. doi: 10.1016/j.clnu.2011.03.008
34. Ronco AL, Storz MA. Dietary Acid Load and Cancer Risk: A Review of the Uruguayan Experience. Nutrients. 2023 Jul 11;15(14):3098. doi: 10.3390/nu15143098
35. Wang R, Wen ZY, Liu FH, Wei YF, Xu HL, Sun ML, et al. Association between dietary acid load and cancer risk and prognosis: An updated systematic review and meta-analysis of observational studies. Front Nutr. 2022 Jul 27;9:891936. doi: 10.3389/fnut.2022.891936
36. Silva L, Moço SA, Antunes ML, Ferreira AS, Moreira AC. Dietary Acid Load and Relationship with Albuminuria and Glomerular Filtration Rate in Individuals with Chronic Kidney Disease at Predialysis State. Nutrients. 2021 Dec 30;14(1):170. doi: 10.3390/nu14010170
37. Dolati S, Razmjouei S, Alizadeh M, Faghfouri AH, Moridpour AH. A high dietary acid load can potentially exacerbate cardiometabolic risk factors: An updated systematic review and meta-analysis of observational studies. Nutrition, Metabolism and Cardiovascular Diseases. 2024 Mar;34(3):569–80. doi: 10.1016/j.numecd.2024.01.013
38. Lee KW, Shin D. Positive association between dietary acid load and future insulin resistance risk: findings from the Korean Genome and Epidemiology Study. Nutr J. 2020 Dec;19(1):137.
39. Chalmers E, Samocha-Bonet D. The effect of body acid–base state and manipulations on body glucose regulation in human. Eur J Clin Nutr. 2020 Aug;74(S1):20–6. doi: 10.1038/s41430-020-0692-6
40. Abshirini M, Bagheri F, Mahaki B, Siassi F, Koohdani F, Safabakhsh M, et al. The dietary acid load is higher in subjects with prediabetes who are at greater risk of diabetes: a case–control study. Diabetol Metab Syndr. 2019 Dec;11(1):52. doi: 10.1186/s13098-019-0447-5
41. Kahleova H, McCann J, Alwarith J, Rembert E, Tura A, Holubkov R, et al. A plant-based diet in overweight adults in a 16-week randomized clinical trial: The role of dietary acid load. Clinical Nutrition ESPEN. 2021 Aug;44:150–8. doi: 10.1016/j.clnesp.2021.05.015
42. Liao J, Wang L, Duan L, Gong F, Zhu H, Pan H, et al. Association between estimated glucose disposal rate and cardiovascular diseases in patients with diabetes or prediabetes: a cross-sectional study. Cardiovasc Diabetol. 2025 Jan 13;24(1):13. doi: 10.1186/s12933-024-02570-y
43. Yan L, Zhou Z, Wu X, Qiu Y, Liu Z, Luo L, et al. Association between the changes in the estimated glucose disposal rate and new-onset cardiovascular disease in middle-aged and elderly individuals: A nationwide prospective cohort study in China. Diabetes Obesity Metabolism. 2025 Apr;27(4):1859–67. doi: 10.1111/dom.16179
44. Guo R, Tong J, Cao Y, Zhao W. Association between estimated glucose disposal rate and cardiovascular mortality across the spectrum of glucose tolerance in the US population. Diabetes Obesity Metabolism. 2024 Dec;26(12):5827–35. doi: 10.1111/dom.15954
45. Huang H, Xiong Y, Zhou J, Tang Y, Chen F, Li G, et al. The predictive value of estimated glucose disposal rate and its association with myocardial infarction, heart failure, atrial fibrillation and ischemic stroke. Diabetes Obesity Metabolism. 2025 Mar;27(3):1359–68. doi: 10.1111/dom.16132
46. Mazidi M, Kengne AP, Mikhailidis DP, Toth PP, Ray KK, Banach M. Dietary food patterns and glucose/insulin homeostasis: a cross-sectional study involving 24,182 adult Americans. Lipids Health Dis. 2017 Dec;16(1):192. doi: 10.1186/s12944-017-0571-x
47. Schwartz SS, Epstein S, Corkey BE, Grant SFA, Gavin JR, Aguilar RB. The Time Is Right for a New Classification System for Diabetes: Rationale and Implications of the β-Cell–Centric Classification Schema. Diabetes Care. 2016 Feb 1;39(2):179–86. doi: 10.2337/dc15-1585
48. Ahmad E, Lim S, Lamptey R, Webb DR, Davies MJ. Type 2 diabetes. The Lancet. 2022 Nov;400(10365):1803–20.
49. Rezazadegan M, Mirzaei S, Asadi A, Akhlaghi M, Saneei P. Association between dietary acid load and metabolic health status in overweight and obese adolescents. Sci Rep. 2022 Jun 24;12(1):10799. doi: 10.1038/s41598-022-15018-8
50. Adeva MM, Souto G. Diet-induced metabolic acidosis. Clinical Nutrition. 2011 Aug;30(4):416–21. doi: 10.1016/j.clnu.2011.03.008
51. Deng FE, Shivappa N, Tang Y, Mann JR, Hebert JR. Association between diet-related inflammation, all-cause, all-cancer, and cardiovascular disease mortality, with special focus on prediabetics: findings from NHANES III. Eur J Nutr. 2017 Apr;56(3):1085–93. doi: 10.1007/s00394-016-1158-4
52. Fabiani R, Naldini G, Chiavarini M. Dietary Patterns and Metabolic Syndrome in Adult Subjects: A Systematic Review and Meta-Analysis. Nutrients. 2019 Sep 2;11(9):2056. doi: 10.3390/nu11092056
53. Yano Y, Vongpatanasin W, Ayers C, Turer A, Chandra A, Carnethon MR, et al. Regional Fat Distribution and Blood Pressure Level and Variability: The Dallas Heart Study. Hypertension. 2016 Sep;68(3):576–83. doi: 10.1161/HYPERTENSIONAHA.116.07876
54. Tilg H, Moschen AR. Insulin resistance, inflammation, and non-alcoholic fatty liver disease. Trends in Endocrinology & Metabolism. 2008 Dec;19(10):371–9. doi: 10.1016/j.tem.2008.08.005
55. Piuri G, Zocchi M, Della Porta M, Ficara V, Manoni M, Zuccotti GV, et al. Magnesium in Obesity, Metabolic Syndrome, and Type 2 Diabetes. Nutrients. 2021 Jan 22;13(2):320. doi: 10.3390/nu13020320
56. Nielsen TF, Rylander R. Urinary calcium and magnesium excretion relates to increase in blood pressure during pregnancy. Arch Gynecol Obstet. 2011 Mar;283(3):443–7. doi: 10.1007/s00404-010-1371-y
57. Faure AM, Fischer K, Dawson-Hughes B, Egli A, Bischoff-Ferrari HA. Gender-specific association between dietary acid load and total lean body mass and its dependency on protein intake in seniors. Osteoporos Int. 2017 Dec;28(12):3451–62. doi: 10.1007/s00198-017-4220-z