ORIGINAL ARTICLE

Long-term caloric restriction activates the myocardial SIRT1/AMPK/PGC-1α pathway in C57BL/6J male mice

Lina Ma1,2*, Rong Wang2*, Hongjuan Wang3, Yaxin Zhang1 and Zhiwei Zhao2

1Department of Geriatrics, Xuanwu Hospital Capital Medical University, National Clinical Research Center for Geriatric Diseases, Beijing, China; 2Central Laboratory, Xuanwu Hospital Capital Medical University, Key Laboratory for Neurodegenerative Disease of Ministry of Education, Center of Alzheimer's Disease, Beijing Institute for Brain Disorders, Beijing, China; 3Department of Biochemistry and Molecular Biology, Yanjing Medical College, Capital Medical University, Beijing, China

Popular scientific summary

Abstract

Background: Caloric restriction (CR) can help in improving heart function. There is as yet no consensus on the mechanism of the effect of CR. Silent mating-type information regulation 1 (SIRT1), adenosine monophosphate-activated protein kinase (AMPK), and mTOR are key players in metabolic stress management. We aimed to explore the effect of CR on the myocardial SIRT1/AMPK/mTOR pathway in mice.

Methods: Thirty-six 6-week-old male C57BL/6J mice were randomly divided into three groups: normal control group (NC group, n = 12), high-energy group (HE group, n = 12) and CR group (n = 12) according to different diets. After 11 months, western blot was used to examine proteins such as p-AMPK, peroxisome proliferator-activated receptor gamma coactivator 1-alpha (PGC-1α), SIRT1, and p-mTOR, whereas real-time PCR was used to examine the expression of AMPK, PGC-1α, and SIRT1 transcripts.

Results: Compared to the HE group, the CR group displayed increased expression of myocardial p-AMPK protein, SIRT1 protein and mRNA, and PGC-1a mRNA. However, no difference was observed in the expression of p-mTOR protein and mTOR mRNA in the myocardium among the three groups.

Conclusions: CR improves the SIRT1/AMPK/PGC-1α pathway in mice myocardium with no effect on the mTOR pathway.

Keywords: caloric restriction; signaling pathway; SIRT1; AMPK; mTOR

 

Citation: Food & Nutrition Research 2020, 64: 3668 - http://dx.doi.org/10.29219/fnr.v64.3668

Copyright: © 2020 Lina Ma et al. This is an Open Access article distributed under the terms of the Creative Commons Attribution 4.0 International License, allowing third parties to copy and redistribute the material in any medium or format and to remix, transform, and build upon the material for any purpose, even commercially, provided the original work is properly cited and states its license.

Received: 11 August 2019; Revised: 22 December 2019; Accepted: 7 January 2020; Published: 29 January 2020

Competing interests and funding: The authors report no relationships that could be construed as a conflict of interest. This work was supported by the following grants: Beijing Natural Science Foundation (7202059, 7174310), Beijing Municipal Administration of Hospitals Incubating Program (PX2020036), and Nation Natural Science Foundation of China (81600927).

*Correspondence to: Rong Wang, Central Laboratory, Xuanwu Hospital Capital Medical University, #45 Changchun Street, Xicheng District, Beijing 100053, China. Email: rong_wang72@aliyun.com

*Lina Ma, Department of Geriatrics, Xuanwu Hospital Capital Medical University, National Clinical Research Center for Geriatric Diseases, #45 Changchun Street, Xicheng District, Beijing 100053, China. Email: malina0883@126.com

 

Caloric restriction (CR) has been shown to prolong the lifespan of rodents in addition to lowering body temperature, blood sugar, insulin levels, glucagon levels, fat, and body weight, along with an increase in insulin sensitivity and organ volume (except that of the brain) (1, 2). Triglycerides, fasting blood glucose, and insulin levels have also been observed to decrease upon subjecting rhesus monkeys to CR (3). Short-term CR can reduce body weight and significantly improve cardiovascular risk factors such as body mass index, waist circumference, hip circumference, waist-to-hip ratio, total cholesterol, and serum triglycerides in humans (4). For non-obese people, CR can also significantly reduce serum cholesterol, triglycerides, fasting blood glucose, fasting insulin levels, as well as systolic and diastolic blood pressure (5). CR or CR combined with exercise can reduce body weight, thereby reducing vascular risk factors such as blood lipids and blood pressure in healthy obese people (6). Short-term CR can improve insulin sensitivity and reduce the risk of cardiovascular diseases, indicating its potential benefit for human health. Silent mating-type information regulation 1 (SIRT1) agonist-resveratrol has protective effects on cardiovascular function, lipid lowering, increased glucose tolerance, and insulin sensitivity (7). These effects mimic the cardiovascular protective role of CR by reducing platelet aggregation, cholesterol, and triglycerides, and promoting vascular relaxation, anti-atherosclerosis activity, resistance toward oxidative stress, protection against myocardial infarction, heart failure, and other diseases. CR can alleviate diastolic dysfunction and decreased myocardial activity in mice in addition to reducing the expression of aging-related genes in the heart by 90% (8). Thus, CR has the potential to reduce the incidence of cardiovascular diseases, associated complications, and mortality by regulating the systemic cardiovascular risk factors.

We have previously reported that CR improves the spatial learning ability in mice, mainly through the SIRT1/adenosine monophosphate-activated protein kinase (AMPK)/mTOR signaling pathway (9). CR is capable of improving the cardiovascular risk factors such as glycolipid metabolism and insulin resistance, but the mechanism of cardiovascular protection remains unclear. SIRT1 is known to reduce inflammation, possess anti-atherosclerosis activity, inhibit cardiomyocyte apoptosis and telomere shortening, resist myocardial oxidative stress damage and myocardial remodeling, maintain myocardial energy balance, and promote autophagy (7). AMPK can inhibit cell proliferation by affecting the cell cycle and metabolism when myocardial and vascular smooth muscle cells are stimulated by ischemia/hypoxia or cardiovascular active substances, playing an important role in the cardiovascular system (10, 11). However, it remains unelucidated whether or not the cardiovascular protection of CR is mediated through the SIRT1/AMPK/mTOR pathway Therefore, we aimed to observe the effects of different energy diets on the myocardial SIRT1/AMPK pathway and provide theoretical basis for the cardiovascular protective effects of CR.

Methods

Experimental animals

Thirty-six 6-week-old male C57/BL mice from the Academy of Military Medical Sciences (Beijing, China) were fed ad libitum for 1 week before the experiment began. All animal study protocols were approved by the Institutional Animal Care and Ethics Committee of Xuan Wu Hospital, Capital Medical University in Beijing, China.

Thirty-six 6-week-old male C57BL/6J mice were randomly divided into three groups: normal control group (NC group, n = 12), high-energy group (HE group, n = 12) and CR group (n = 12) according to different diets. The food composition of NC diet, HE diet, and CR diet is shown in Table 1, and the NC:HE:CR caloric ratio was 1:1.3:0.7. Food consumption data were collected manually daily to ensure each mouse had a consistent food intake. After 11 months, both the body weight and blood glucose were lower in the CR group than in the NC group and the HE group (Table 1).


Table 1.  The food composition, body weight, and blood glucose of the three groups
Item Food composition Energy of diet (kcal/g) Body weight (g) Blood glucose (mmol/L)
Normal control (NC) group 19.1% protein, 4% fat, 59% carbohydrate 3.484 26.73 ± 5.49 4.52 ± 0.72
Caloric restriction (CR) group 19.1% protein, 2.5% fat, 37.2% carbohydrate 2.479 22.01 ± 2.31 3.99 ± 0.60
High-energy (HE) group 19.1% protein, 21.5% fat, 47.2% carbohydrate 4.589 35.04 ± 7.65 5.83 ± 1.04

Western blot analysis

After 11 months, animals were sacrificed and hippocampus tissues were collected for western blotting and real-time polymerase chain reaction (PCR) analysis. The following primary antibodies were kept at 4°C overnight: rabbit anti- SIRT1 (1 : 2,000, Abcam, Cambridge, UK), rabbit anti-p-mTOR (1 : 2,000, Cell Signaling, Beverley, MA, USA), rabbit anti-p-AMPK (1 : 2000, Cell Signaling, Beverley, MA, USA), and rabbit anti-peroxisome proliferator-activated receptor gamma coactivator 1-alpha (PGC-1α) (1 : 1000, Cell Signaling, Beverley, MA, USA). After rinsing with TBS-T, the membranes were incubated with a goat anti-rabbit horseradish peroxidase-(HRP-) conjugated immunoglobulin (Ig)G (H + L) secondary antibody (1 : 20,000, Beijing TDY Biotech Co. Ltd.) for 40 min at room temperature.

Real-time PCR

The hippocampus tissues were collected for real-time PCR analysis. Total RNA was extracted using an RNA Extraction Kit (CWBio Co., Ltd., Beijing, China) and reverse-transcribed using an ExScript RT reagent kit (CWBio Co., Ltd.). Real-time PCR was then performed using an ABI 7500 system (Applied Biosystems, Foster City, CA, USA) and UltraSYBR Mixture (CWBio Co., Ltd.). The specific primers were SIRT1, forward, 5′-TATGACGCTGTGGCAGATTGTTATT-3′; reverse, 5′-CCACCGCAAGGCGAGCAT-3′; AMPK, forward, 5′- AGCCAAATCAGGGACTGCTACT -3′; reverse, 5′- AGGGAGGTGACAGATGAGGTAAG -3′; mTOR, forward, 5′- TTCAATCCATAGCCCCGTCT -3′; reverse, 5′- CAAAGAGCTGCATCACTCGT -3′; PGC-1α, forward, 5′- GCUC UUGAGAAUGGAUAUATT -3′; reverse, 5′- UAUA UCCAUUCUCAAGAGCTT -3′; actin, forward, 5′-GCCTTCCTTCTTGGGTAT-3′; reverse, 5′-GGCATAGAGGTCTTTACGG-3′. The relative expression of amplified RNA samples was calculated using the 2-ΔΔCT method.

Statistical analysis

Data were analyzed using the SPSS 11.5 software (Chicago, IL, USA) and plotted as mean ± standard deviation (SD). Comparisons among the groups of animals were made with one-way analysis of variance (ANOVA) with a post hoc Tukey’s test. Results were considered to be significantly different at P < 0.05.

Results

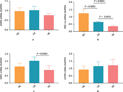
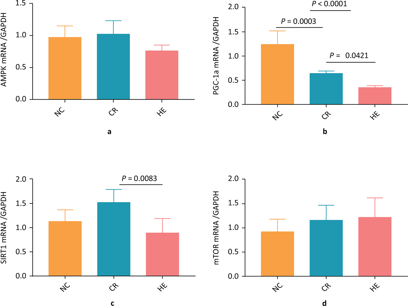
To determine the association of CR with activation of the SIRT1/AMPK/mTOR pathway, a group of C57BL/6J mice was subjected to a CR diet along with an HE diet as well as the NC group of mice. After 11 months, the myocardial SIRT1 expression levels were analyzed using western blotting. The results revealed that both protein and transcript levels of myocardial SIRT1 were elevated in the CR group compared to the HE group (Figs. 1c and 2c), suggesting that CR activates SIRT1 to exert its cardiovascular protective effect. Compared with both the NC group and HE group, the protein levels of myocardial p-AMPK were increased in the CR group (Fig. 1a), but the difference in transcript levels was statistically insignificant. Furthermore, no significant difference was observed in myocardial PGC-1α protein levels between the three groups (Fig. 1b). However, the PGC-1α mRNA expression was significantly augmented (Fig. 2b). Nevertheless, no significant difference was observed in myocardial p-mTOR protein and transcript expression between the CR, NC, and HE groups (Figs. 1d and 2d).

Fig 1
Fig. 1.  The translational effect of caloric restriction on the myocardial SIRT1/AMPK/mTOR pathway. (a) p-AMPK, (b) PGC-1α, (c) SIRT1, and (d) p-mTOR.

Fig 2
Fig. 2.  The transcriptional effect of caloric restriction on the myocardial SIRT1/AMPK/mTOR pathway. (a) AMPK, (b) PGC-1α, (c) SIRT1, and (d) mTOR.

Discussion

Compared with the NC group and the HE group, the protein expression of p-AMPK and SIRT1 was higher in the CR group. The transcript levels of SIRT1 and PGC-1α showed an increase but there was no significant difference in the protein and mRNA levels of p-mTOR between the three groups, suggesting that the role of CR in cardiovascular function may be mainly mediated through the SIRT1/AMPK pathway. Studies have established that CR can improve insulin sensitivity, and reduce cardiovascular risk by controlling cardiovascular risk factors (12); however, its specific biological basis remains uncertain. In mammals, although different nutrient contents are perceived by different signaling pathways, CR is controlled by not a single but multiple signaling pathways. We have confirmed that CR in the early stage exerts neuroprotection and is associated with signaling pathways such as insulin, SIRT1, AMPK, and mTOR signaling pathways.

CR activates the myocardial SIRT1 pathway

Our results showed that the expression of SIRT1 protein and mRNA in the CR group is elevated as compared to that in the HE group. This finding thus suggests that CR can activate SIRT1 for exerting its cardiovascular protection. The SIRT1 gene plays a critical role in the growth of animals. The SIRT1-/- animals demonstrate reduced environmental adaptability and higher postnatal mortality, considering the possible regulation of energy metabolism due to the lack of SIRT1 deacetylase (13). In transgenic mice, moderate expression of SIRT1 improves the glucose tolerance and insulin sensitivity in addition to resistance toward diabetes (14). However, overexpression of SIRT1 enhances glucose tolerance as well as the metabolic rate (15). Furthermore, administration of the SIRT1 activator in mice fed with a high-fat diet results in development of resistance toward weight gain and insulin resistance caused by a high-fat diet (16, 17).

SIRT1 is a well-established anti-atherosclerotic factor in vivo and its anti-atherosclerotic effect is mediated through endothelial nitric oxide synthase (eNOS) expression, inhibiting endothelial cell apoptosis, improving endothelial function, and inhibiting E-selectin expression. In addition, reducing leukocyte adhesion to endothelial cells, promoting endothelium-dependent vasodilation, and increasing nitric oxide (NO) bioavailability are other modes by which SIRT1 exerts its anti-atherosclerotic effects. Studies have shown that while SIRT1 inhibitors decrease eNOS expression, an endothelial cells-specific over-expression of SIRT1 results in up-regulated expression of eNOS and improved vascular endothelial cell-dependent aortic diastolic function (18, 19). Furthermore, a reduction in aortic SIRT1 expression is consistent in individuals with a high-fat diet and is a risk factor for atherosclerosis (20). Reportedly, 3–12 months of CR induces the production of NO, formation of cGMP, increase in oxygen consumption, and ATP mitochondrial production in adult mouse endothelial cells, accompanied by enhanced expression of SIRT1 (21). CR significantly improves the expansion of NO-mediated resistance vessels in the skeletal muscles of aged F334 rats, suggesting that CR may improve the NO bioavailability as well as endothelial function (22, 23) and the mechanism may be associated with the regulation of eNOS expression by activating SIRT1. SIRT1 and eNOS co-localize in vascular endothelial cells where SIRT1 regulates the activity and endothelial secretion of NO by acetylating eNOS (19). Similarly, it has been found that overexpression of SIRT1 or the SIRT1 activator in the CR mice can induce the acetylation of eNOS and increase its expression in vascular endothelial cells (24). In the endothelial dysfunction animal model, the SIRT1 agonist resveratrol activates eNOS, enhances endothelial function, prevents elevated blood pressure, and restores vascular eNOS activity (19). For elderly CR individuals, it is unclear whether SIRT1 activators can increase NO bioavailability and improve vascular endothelial cell function.

Up-regulation of SIRT1 has a cardio-protective effect while inhibiting its activity in cardiomyocytes results in an increase in the rate of apoptosis and myocardial gene-related hypertrophy (25). Cardiomyocytes with high expression of SIRT1 are resistant to cardiomyocyte shrinkage and death (26). In primary cultured mouse ventricular myocytes, increased expression of SIRT1 results in resistance to myocardial apoptosis and significantly increases myocardial cells (25). The underlying mechanism for this phenomenon is postulated to be reduction of p53 activity upon deacetylation by SIRT1, thus reducing the apoptosis in cardiomyocytes. High expression of SIRT1 can also inhibit caspase-3 activity, thereby improving the ability of cardiomyocytes to resist apoptosis or aging, and protect the myocardium (26). Similar results are observed in case of cardiomyocytes subjected to oxidative stress (27).

CR improves the myocardial AMPK pathway

The protein expression of p-AMPK in the CR group was elevated but the difference in the transcript levels was not statistically significant. Moreover, there was no significant difference in the PGC-1α protein level between the three groups, but its transcript level was significantly increased. PGC-1α is a substrate for SIRT1 deacetylation. Deacetylation of PGC-1α can increase its transcriptional activity.

It is found that knocking out the AMPK subunit leads to a significant reduction in PGC-1α phosphorylation and deacetylation (28). The resultant decrease in transcriptional expression and activity of PGC-1α is a hallmark of cardiac dysfunction and further results in impaired energy metabolism, leading to the development of systolic heart failure. In isolated hearts of AMPKα2 knockout mice, myocardial ischemia leads to a decline in glucose uptake compared to wild-type mice (29). Appropriate short-term CR improves endothelial function and lowers blood pressure in obese patients by activating the AMPK–PI3K–Akt–eNOS signaling pathway (30). Cardiac hypertrophy and AMPK activation during heart failure make the heart more dependent on glycolysis increasing ATP production. Upon AMPK mutation or gene knockout in myocardial cells, there is accumulation of glycogen which damages the myocardium (31). AMPK promotes the oxidation of free fatty acid by endothelial cells, antagonizes endothelial cell lipotoxicity caused by FFA, lowers cholesterol levels, and exerts protective effects on cardiovascular function (32). AMPK activation also inhibits caspase-3 activity in vascular endothelial cells induced by high glucose and reduces apoptosis (33). In addition, AMPK is an important regulator of autophagy in ischemic cardiomyocytes. Ischemia triggers AMPK-dependent autophagy, which has cardioprotective effects (34). Metformin activates AMPK and enhances eNOS activity to improve myocardial injury in diabetic and non-diabetic mice after ischemia-reperfusion (35), enhancing left ventricular function and viability, possibly by inhibiting the activity of complex I in the mitochondrial respiratory chain. This leads to high AMP/ATP levels, which in turn regulates AMPK activity (36). Although AMPK is important in the process of energy metabolism, it can simultaneously stimulate glucose and fatty acid uptake and utilization and has dual efficacy in metabolic failure of heart or cardiac hypertrophy.

SIRT1 is vital for AMPK activity while both share a common activator and target molecule (37). Studies have shown that activation of SIRT1 promotes transcription of energy metabolism-related genes and prevents ATP reduction (38). At the same time, activation of AMPK-induced FoxO/DAF-16, nuclear factor-erythroid 2-related factor 2/SKN-1, and SIRT1 signaling pathways enhances cell’s ability to resist stress (39). AMPK activates SIRT1 protein under various conditions of stress such as energy limitation and exercise (28). On one hand, CR increases the AMP/ATP ratio and AMPK activity; on the other hand, it raises NAD+ levels and activates SIRT1. Activated SIRT1 and AMPK act together to activate PGC-1α through phosphorylation and deacetylation respectively, causing mitochondrial biogenesis and fatty acid oxidation. Thus, AMPK and SIRT1 control each other’s activities, forming a regulatory loop (40).

CR has no effect on myocardial mTOR pathway

Our study revealed no significant difference in myocardial p-mTOR protein expression between the three groups, suggesting that AMPK may not function by activating autophagy in the myocardium of CR mice. Autophagy plays an important role in the pathogenesis of cardiovascular diseases as effective autophagy clearance and increased stress resistance can prevent cardiovascular diseases (41). SIRT1 can directly activate autophagy. It has been found that SIRT1 deacetylated FoxO1 induces autophagy by increasing the expression of the Ras-related protein Rab7 in cardiomyocytes which stimulates lysosomal damage of phagosomes (42). SIRT1 can also induce autophagy by directly deacetylating autophagy proteins such as Atg5, Atg7, and Atg8 (43), which enhances phagosome formation. In liver kinase B1-deficient myocardium, the activation of the AMPKα2 subunit is restricted resulting in increased activity of the mTOR signaling pathway; insufficient energy; increased expression of vascular endothelial growth factor; and impaired cardiac function (44). Akt2 knockout significantly increases the effect of CR on mTOR and unc-51 like kinase 1, suggesting that Akt2 knockdown may protect against pathological changes caused by autophagy to balance the heart and long-term restriction of caloric intake (45). We speculate that the protective effect of CR on myocardium activates SIRT1/AMPK, but the downstream signaling is not mediated through the mTOR signaling pathway.

Conclusion

Subjecting young C57BL/6J male mice to a CR diet, an HE diet, and normal feed (NC group) for 11 months results in enhanced expression of p-AMPK and SIRT1 at translational levels in the CR group as compared to the NC and HE groups. The expression of SIRT1 and PGC-1α transcripts was augmented; however, there was no significant difference in the protein and transcript levels of p-mTOR between three groups. These findings suggest that CR may play a cardiovascular protective role mainly through the SIRT1/AMPK/PGC-1α pathway with no involvement of the mTOR pathway. The SIRT1/AMPK/PGC-1α pathway is a key regulator of cardiac metabolism. Mitochondrial biosynthesis and fatty acid oxidation are induced downstream of PGC-1α, but its specific role needs further exploration.

References

  1. Pifferi F, Aujard F. Caloric restriction, longevity and aging: recent contributions from human and non-human primate studies. Prog Neuropsychopharmacol Biol Psychiatry 2019; 95: 109702. doi: 10.1016/j.pnpbp.2019.109702
  2. Weindruch R, Walford RL, Fligiel S, Guthrie D. The retardation of aging in mice by dietary restriction: longevity, cancer, immunity and lifetime energy intake. J Nutr 1986; 116(4): 641–54. doi: 10.1093/jn/116.4.641
  3. Edwards IJ, Rudel LL, Terry JG, Kemnitz JW, Weindruch R, Zaccaro DJ, et al. Caloric restriction lowers plasma lipoprotein (a) in male but not female rhesus monkeys. Exp Gerontol 2001; 36(8): 1413–8. Available from: http://www.ncbi.nlm.nih.gov/pubmed/11602214 [cited 31 July 2019].
  4. Pereira MA, Swain J, Goldfine AB, Rifai N, Ludwig DS. Effects of a low-glycemic load diet on resting energy expenditure and heart disease risk factors during weight loss. JAMA 2004; 292(20): 2482–90. doi: 10.1001/jama.292.20.2482
  5. Fontana L, Meyer TE, Klein S, Holloszy JO. Long-term calorie restriction is highly effective in reducing the risk for atherosclerosis in humans. Proc Natl Acad Sci U S A 2004; 101(17): 6659–63. doi: 10.1073/pnas.0308291101
  6. Nicoll R, Henein MY. Caloric restriction and its effect on blood pressure, heart rate variability and arterial stiffness and dilatation: a review of the evidence. Int J Mol Sci 2018; 19(3): pii: E751. doi: 10.3390/ijms19030751
  7. Ma L, Li Y. SIRT1: role in cardiovascular biology. Clin Chim Acta 2015; 440: 8–15. doi: 10.1016/j.cca.2014.10.036
  8. Barger JL, Kayo T, Vann JM, Arias EB, Wang J, Hacker TA, et al. A low dose of dietary resveratrol partially mimics caloric restriction and retards aging parameters in mice. PLoS One 2008; 3(6): e2264. doi: 10.1371/journal.pone.0002264
  9. Ma L, Wang R, Dong W, Zhao Z. Caloric restriction can improve learning and memory in C57/BL mice probably via regulation of the AMPK signaling pathway. Exp Gerontol 2018; 102: 28–35 doi: 10.1016/j.exger.2017.11.013
  10. Meijles DN, Zoumpoulidou G, Markou T, Rostron KA, Patel R, Lay K, et al. The cardiomyocyte ‘redox rheostat’: redox signalling via the AMPK-mTOR axis and regulation of gene and protein expression balancing survival and death. J Mol Cell Cardiol 2019; 129: 118–29. doi: 10.1016/j.yjmcc.2019.02.006
  11. Dang Y, Ling S, Duan J, Ma J, Ni R, Xu J-W. Bavachalcone-induced manganese superoxide dismutase expression through the AMP-activated protein kinase pathway in human endothelial cells. Pharmacology 2015; 95(3–4): 105–10. doi: 10.1159/000375452
  12. Lefevre M, Redman LM, Heilbronn LK, Smith JV, Martin CK, Rood JC, et al. Caloric restriction alone and with exercise improves CVD risk in healthy non-obese individuals. Atherosclerosis 2009; 203(1): 206–13. doi: 10.1016/j.atherosclerosis.2008.05.036
  13. McBurney MW, Yang X, Jardine K, Hixon M, Boekelheide K, Webb JR, et al. The mammalian SIR2 protein has a role in embryogenesis and gametogenesis. Mol Cell Biol 2003; 23(1): 38–54. doi: 10.1128/MCB.23.1.38-54.2003
  14. Banks AS, Kon N, Knight C, Matsumoto M, Gutiérrez-Juárez R, Rossetti L, et al. SirT1 gain of function increases energy efficiency and prevents diabetes in mice. Cell Metab 2008; 8(4): 333–41. doi: 10.1016/j.cmet.2008.08.014
  15. Bordone L, Cohen D, Robinson A, Motta MC, van Veen E, Czopik A, et al. SIRT1 transgenic mice show phenotypes resembling calorie restriction. Aging Cell 2007; 6(6): 759–67. doi: 10.1111/j.1474-9726.2007.00335.x
  16. Lagouge M, Argmann C, Gerhart-Hines Z, Meziane H, Lerin C, Daussin F, et al. Resveratrol improves mitochondrial function and protects against metabolic disease by activating SIRT1 and PGC-1alpha. Cell 2006; 127(6): 1109–22. doi: 10.1016/j.cell.2006.11.013
  17. Milne JC, Lambert PD, Schenk S, Carney DP, Smith JJ, Gagne DJ, et al. Small molecule activators of SIRT1 as therapeutics for the treatment of type 2 diabetes. Nature 2007; 450(7170): 712–6. doi: 10.1038/nature06261
  18. Ota H, Akishita M, Eto M, Iijima K, Kaneki M, Ouchi Y. Sirt1 modulates premature senescence-like phenotype in human endothelial cells. J Mol Cell Cardiol 2007; 43(5): 571–9. doi: 10.1016/j.yjmcc.2007.08.008
  19. Mattagajasingh I, Kim CS, Naqvi A, Yamamori T, Hoffman TA, Jung SB, et al. SIRT1 promotes endothelium-dependent vascular relaxation by activating endothelial nitric oxide synthase. Proc Natl Acad Sci U S A 2007; 104(37): 14855–60. doi: 10.1073/pnas.0704329104
  20. Zhang QJ, Wang Z, Chen HZ, Zhou S, Zheng W, Liu G, et al. Endothelium-specific overexpression of class III deacetylase SIRT1 decreases atherosclerosis in apolipoprotein E-deficient mice. Cardiovasc Res 2008; 80(2): 191–9. doi: 10.1093/cvr/cvn224
  21. Nisoli E, Tonello C, Cardile A, Cozzi V, Bracale R, Tedesco L, et al. Calorie restriction promotes mitochondrial biogenesis by inducing the expression of eNOS. Science 2005; 310(5746): 314–7. doi: 10.1126/science.1117728
  22. Raitakari M, Ilvonen T, Ahotupa M, Lehtimäki T, Harmoinen A, Suominen P, et al. Weight reduction with very-low-caloric diet and endothelial function in overweight adults: role of plasma glucose. Arterioscler Thromb Vasc Biol 2004; 24(1): 124–8. doi: 10.1161/01.ATV.0000109749.11042.7c
  23. Sasaki S, Higashi Y, Nakagawa K, Kimura M, Noma K, Sasaki S, et al. A low-calorie diet improves endothelium-dependent vasodilation in obese patients with essential hypertension. Am J Hypertens 2002; 15(4): 302–9. doi: 10.1016/S0895-7061(01)02322-6
  24. Ungvari Z, Orosz Z, Labinskyy N, Rivera A, Xiangmin Z, Smith K, et al. Increased mitochondrial H2O2 production promotes endothelial NF-kappaB activation in aged rat arteries. Am J Physiol Heart Circ Physiol 2007; 293(1): H37–47. doi: 10.1152/ajpheart.01346.2006
  25. Mattagajasingh I, Kim CS, Naqvi A, Yamamori T, Hoffman TA, Jung SB, et al. Silent information regulator 2α, a longevity factor and class III histone deacetylase, is an essential endogenous apoptosis inhibitor in cardiac myocytes. Circ Res 2004; 95(10): 971–80. doi: 10.1161/01.RES.0000147557.75257.ff
  26. Cheng HL, Mostoslavsky R, Saito S, Manis JP, Gu Y, Patel P, et al. Developmental defects and p53 hyperacetylation in Sir2 homolog (SIRT1)-deficient mice. Proc Natl Acad Sci U S A 2003; 100(19): 10794–9. doi: 10.1073/pnas.1934713100
  27. Hsu C-P, Odewale I, Alcendor RR, Sadoshima J. Sirt1 protects the heart from aging and stress. Biol Chem 2008; 389(3): 221–31. doi: 10.1515/BC.2008.032
  28. Cantó C, Jiang LQ, Deshmukh AS, Mataki C, Coste A, Lagouge M, et al. Interdependence of AMPK and SIRT1 for metabolic adaptation to fasting and exercise in skeletal muscle. Cell Metab 2010; 11(3): 213–9. doi: 10.1016/j.cmet.2010.02.006
  29. Xing Y, Musi N, Fujii N, Zou L, Luptak I, Hirshman MF, et al. Glucose metabolism and energy homeostasis in mouse hearts overexpressing dominant negative α2 subunit of AMP-activated protein kinase. J Biol Chem 2003; 278(31): 28372–7. doi: 10.1074/jbc.M303521200
  30. García-Prieto CF, Pulido-Olmo H, Ruiz-Hurtado G, Gil-Ortega M, Aranguez I, Rubio MA, et al. Mild caloric restriction reduces blood pressure and activates endothelial AMPK-PI3K-Akt-eNOS pathway in obese Zucker rats. Vascul Pharmacol 2015; 65–6: 3–12. doi: 10.1016/j.vph.2014.12.001
  31. Marsin AS, Bertrand L, Rider MH, Deprez J, Beauloye C, Vincent MF, et al. Phosphorylation and activation of heart PFK-2 by AMPK has a role in the stimulation of glycolysis during ischaemia. Curr Biol 2000; 10(20): 1247–55. doi: 10.1016/S0960-9822(00)00742-9
  32. Deldicque L, Theisen D, Francaux M. Regulation of mTOR by amino acids and resistance exercise in skeletal muscle. Eur J Appl Physiol 2005; 94(1–2): 1–10. doi: 10.1007/s00421-004-1255-6
  33. Ido Y, Carling D, Ruderman N. Hyperglycemia-induced apoptosis in human umbilical vein endothelial cells: inhibition by the AMP-activated protein kinase activation. Diabetes 2002; 51(1): 159–67. doi: 10.2337/DIABETES.51.1.159
  34. Matsui Y, Takagi H, Qu X, Abdellatif M, Sakoda H, Asano T, et al. Distinct roles of autophagy in the heart during ischemia and reperfusion. Circ Res 2007; 100(6): 914–22. doi: 10.1161/01.RES.0000261924.76669.36
  35. Calvert JW, Gundewar S, Jha S, Greer JJ, Bestermann WH, Tian R, et al. Acute metformin therapy confers cardioprotection against myocardial infarction via AMPK-eNOS-mediated signaling. Diabetes 2008; 57(3): 696–705. doi: 10.2337/db07-1098
  36. Viollet B, Guigas B, Garcia NS, Leclerc J, Foretz M, Andreelli F. Cellular and molecular mechanisms of metformIn: an overview. Clin Sci 2012; 122(6): 253–70. doi: 10.1042/CS20110386
  37. Price NL, Gomes AP, Ling AJ, Duarte FV, Martin-Montalvo A, North BJ, et al. SIRT1 is required for AMPK activation and the beneficial effects of resveratrol on mitochondrial function. Cell Metab 2012; 15(5): 675–90. doi: 10.1016/j.cmet.2012.04.003
  38. Fulco M, Sartorelli V. Comparing and contrasting the roles of AMPK and SIRT1 in metabolic tissues. Cell Cycle 2008; 7(23): 3669–79. doi: 10.4161/cc.7.23.7164
  39. Salminen A, Kaarniranta K. AMP-activated protein kinase (AMPK) controls the aging process via an integrated signaling network. Ageing Res Rev 2012; 11(2): 230–41. doi: 10.1016/j.arr.2011.12.005
  40. Haigis MC, Sinclair DA. Mammalian sirtuins: biological insights and disease relevance. Annu Rev Pathol Mech Dis 2010; 5(1): 253–95. doi: 10.1146/annurev.pathol.4.110807.092250
  41. Zheng Q, Zhao K, Han X, Huff AF, Cui Q, Babcock SA, et al. Inhibition of AMPK accentuates prolonged caloric restriction-induced change in cardiac contractile function through disruption of compensatory autophagy. Biochim Biophys Acta 2015; 1852(2): 332–42. doi: 10.1016/j.bbadis.2014.04.023
  42. Hariharan N, Maejima Y, Nakae J, Paik J, Depinho RA, Sadoshima J. Deacetylation of FoxO by Sirt1 plays an essential role in mediating starvation-induced autophagy in cardiac myocytes. Circ Res 2010; 107(12): 1470–82. doi: 10.1161/CIRCRESAHA.110.227371
  43. Lee IH, Cao L, Mostoslavsky R, Lombard DB, Liu J, Bruns NE, et al. A role for the NAD-dependent deacetylase Sirt1 in the regulation of autophagy. Proc Natl Acad Sci U S A 2008; 105(9): 3374–9. doi: 10.1073/pnas.0712145105
  44. Jessen N, Koh HJ, Folmes CD, Wagg C, Fujii N, Løfgren B, et al. Ablation of LKB1 in the heart leads to energy deprivation and impaired cardiac function. Biochim Biophys Acta 2010; 1802(7–8): 593–600. doi: 10.1016/j.bbadis.2010.04.008
  45. Zhang Y, Han X, Hu N, Huff AF, Gao F, Ren J. Akt2 knockout alleviates prolonged caloric restriction-induced change in cardiac contractile function through regulation of autophagy. J Mol Cell Cardiol 2014; 71: 81–91. doi: 10.1016/j.yjmcc.2013.12.010