ORIGINAL ARTICLE

A novel gene, CaATHB-12, negatively regulates fruit carotenoid content under cold stress in Capsicum annuum

Rui-Xing Zhang1, Wen-Chao Zhu2, Guo-Xin Cheng1, Ya-Nan Yu1, Quan-Hui Li1, Saeed ul Haq1, Fazal Said3 and Zhen-Hui Gong1*

1College of Horticulture, Northwest A&F University, Yangling, Shaanxi, P.R. China; 2Guizhou Institute of Pepper, Guiyang, P.R. China; 3Department of Agriculture, Abdul Wali Khan University, Mardan, Paksitan

Popular scientific summary

Abstract

Background: Carotenoids, the secondary metabolites terpenoids, are the largest factors that form the fruit color. Similar to flavonoids, they are not only safe and natural colorants of fruits but also play a role as stress response biomolecules.

Methods: To study the contribution of the key genes in carotenoids biosynthesis, fruit-color formation, and in response to cold stress, we characterized the key regulatory factor CaATHB-12 from the HD-ZIP I sub-gene family members in pepper.

Results: Cold stress enhanced carotenoid accumulation as compared with the normal condition. CaATHB-12 silencing through virus-induced gene silencing changed the fruit color by regulating the carotenoid contents. CaATHB-12 silencing increased the antioxidant enzyme activities in the fruits of pepper, exposed to cold stress, whereas CaATHB-12 overexpression decreased the activities of antioxidant enzymes in the transgenic Arabidopsis lines, exposed to cold stress, suggesting that CaATHB-12 is involved in the regulation of cold stress in the pepper fruits.

Conclusion: Our research will provide insights into the formation of fruit color in pepper and contribution of CaATHB-12 in response to cold stress. Further study should be focused on the interaction between CaATHB-12 and its target gene.

Keywords: pepper; carotenoids; CaATHB-12 gene; cold stress; transgenic Arabidopsis

 

Citation: Food & Nutrition Research 2020, 64: 3729 - http://dx.doi.org/10.29219/fnr.v64.3729

Copyright: © 2020 Rui-Xing Zhang et al. This is an Open Access article distributed under the terms of the Creative Commons Attribution 4.0 International License (http://creativecommons.org/licenses/by/4.0/), allowing third parties to copy and redistribute the material in any medium or format and to remix, transform, and build upon the material for any purpose, even commercially, provided the original work is properly cited and states its license.

Received: 8 October 2019; Revised: 20 May 2020; Accepted: 10 September 2020; Published: 28 December 2020

Competing interests and funding: The authors declare no conflict of interest. The authors have not received any funding or benefits from industry or elsewhere to conduct this study.

*Zhen-Hui Gong, College of Horticulture, Northwest A&F University, Yangling, Shaanxi 712100, P.R. China, Tel.: +86-029-8708-2102, Fax: +86-029-8708-2613. Email: zhgong@nwsuaf.edu.cn

To access the supplementary material, please visit the article landing page

 

The growth and development of pepper are often affected by adversities, of which chilling is an important factor (1). Due to significant lipid degradation, peppers are more susceptible to low temperatures than tomatoes, potatoes, cucumbers, and corns (2). Generally, the growth of pepper is affected when the temperature is below 12°C (3, 4). Cold stress results in the severe membrane lipid peroxidation due to the production of reactive oxygen species (ROS) and generation of malondialdehyde (MDA) in the cell. The ROS destroys the morphological structures and physiological metabolism in the pepper. To mitigate the injury, the plant removes excess ROS by improving activities of antioxidant enzymes such as superoxide dismutase (SOD), catalase (CAT), and peroxidase (POD) (5).

Many homeobox genes encode transcription factors that act as major regulators in growth and development of both the plants and animal, including humans (68). They are essential from the early stages of embryonic development to the latest stages of cell differentiation (9). The pressure-sensitive HD-ZIP protein, belonging to subfamily I, has been reported wildly in recent years (9). It contains a plant-specific TFs (transcription factors) with the highly conserved and unique sequence and plays a key role in the growth and development of plants (10). ATHB-12 gene, a member of the HD-ZIP I gene family, is involved in response to a variety of stresses during the growth of plants. ATHB-12 regulates plant growth and development in various environmental stresses, including drought (11) and cold (9). In maize, modified expression of Zmhdz10 as an HD-Zip I gene regulates response to low temperature and abscisic acid (ABA) (12). Similar findings were reported in the model plant Arabidopsis, where ATHB-7 overexpression promoted leaf development and increased chlorophyll content and photosynthesis. ATHB-7 also reduced the stomatal conductance in mature plants and delayed plant senescence in response to ABA, low temperature, and other environmental stresses (13).

During the ripening of fruits, one of the characteristic change is the fruit color, which is closely related to carotenoid contents (14, 15). Carotenoids are also thought to be associated with reduced risk of several chronic health disorders, including some forms of cancer, heart diseases, and eyes degeneration (16, 17). Carotenoids, also called tetraterpenoids, accumulate in the plastids of the cell, which not only prevent photooxidative damage in the plant (18, 19) but also benefit to humans who often eat the carotenoids-rich food for enhanced immunity (2022). In Dunaliella, low temperature induced the accumulation of carotenoids and carotenoid-binding proteins (23). Similarly, in California poppy, the total carotenoids content was reduced by the silencing of PDS, ZDS, and ZEP genes, thereby resulted in a color change (10). Therefore, carotenoid accumulation is important for the improvement of fruit quality and resistance to adversities.

Earlier the HD-ZIP TFs are widely involved in flower and fruit development and organ maturation and senescence (12, 24, 25). For example, LeHB-1, a tomato homeobox protein, is involved in the control of tomato fruit ripening through reduced LeACO1 mRNA levels (26). The sunflower HD-Zip transcription factor HAHB4 encodes components of photosystem I (LHCa) and photosystem II (PSBx) genes related to the chlorophyll biosynthesis. Many of the chlorophyll-binding proteins are apparently downregulated by HAHB4, and the content of chlorophylls a and b and carotenoids was decreased in transgenic Arabidopsis plants (27). Other HD-Zip TFs have been suggested to influence the accumulation of anthocyanin (2830). For example, ANTHOCYANINLESS2 (AtANL2) was involved in the tissue-specific accumulation of anthocyanin. Histological observations of the anl2 mutant revealed that the anthocyanin accumulation was greatly suppressed in subepidermal cells (31). Although several HD-Zip proteins have been well characterized in different plants, the functions of HD-Zip family members are still unknown in pepper. Previously, ATHB-12 gene has been studied in response to drought stress in the model plant Arabidopsis (32), and many of the studies have focused on salt stress and ABA induction (33). To date, a little is known about the role of the ATHB-12 gene in fruit color development and response to cold stress in the fruits of pepper. Hence, we employed virus-induced gene silencing (VIGS) to silence the ATHB-12 gene in pepper, which was selected from the pepper transcriptome database to lower the expression of ATHB-12. We investigated the effect of ATHB-12 expression on fruit-color formation, carotenoids biosynthesis, and response to low temperature in pepper. Similarly, the function of this gene was also validated in the transgenic Arabidopsis in response to low temperature. Stress- and antioxidant-related genes, secondary metabolites, such as flavonoids and phenolic compounds, and antioxidant enzyme activities were studied. The results of this study will provide insights into the mechanism of pepper carotenoid biosynthesis and will provide a basis for the breeding of fruit color and resistance to cold stress in pepper and other important crops.

Materials and methods

Plants and cultivation

Pepper cultivar AA3 (a tolerant storage cultivar) was provided by the Capsicum Research Group, College of Horticulture, Northwest A&F University, P.R. China. Seeds were germinated according to the method of Wang et al. (34) with little modifications. The seeds were treated with warm water (55°C) for 20 min, soaked in water for 5 h at 28°C, and then covered with a wet cotton cloth and placed in the dark in a growth chamber. When the seeds were approximately 80% germinated after 4 days, they were transferred to pots and raised as seedlings. When the seedlings reached 8–10 true leaves, they were taken and transplanted into plastic high-tunnels. The fruits (all same age) on the 35th day after anthesis (green mature stage) were picked and transferred to the laboratory for further experiments according to a method described by Tian et al. (35).

Subcellular localization

The open reading frame (ORF) fragment (732 bp) of CaATHB-12 without a stop codon was cloned from pepper cDNA using the specific primers pair (Supplementary Table 1), with the restriction enzymes sites XbaI and KpnI. Then, the PCR-amplified CaATHB-12 fragment was cloned into a pVBG2307:GFP (green fluorescent protein) vector and a pVBG2307:GFP vector without the CaATHB-12 gene used as a control. All recombinant fusion vectors were transient over-expressed in the Nicotiana benthamiana leaves using the transformation of Agrobacterium tumefaciens strain GV3101 (36).

Construction of tobacco rattle virus plasmids and generation of CaATHB-12-silenced fruits

The optimal tobacco rattle virus (TRV)-based VIGS system was employed to silence the ATHB-12 expression in the pepper line AA3. TRV has bipartite RNA; RNA1 (TRV1) and RNA2 (TRV2) sequences were used independently as vectors in the plant cells. The TRV2 vector carried heterologous nucleic acid for delivery into a plant. According to the structure of the TRV, special primers of CaATHB-12 and CaPDS were designed in the nonconservative domain of ORFs, which transferred the target genes into the TRV vector to generate TRV2:CaATHB-12 and TRV2:CaPDS (the positive control) (Supplementary Fig. 1). The empty vector (TRV:00) was used as a negative control. The TRV1, TRV2, and TRV2:CaATHB-12 vectors were individually transformed into the A. tumefaciens strain GV3101. The Agrobacterium strain GV3101 carrying TRV1 was separately mixed with TRV2 and the empty vectors TRV2:00 and TRV2:CaATHB-12 at a 1:1 ratio. The suspensions of the Agrobacterium inoculation containing TRV1, TRV2, and TRV2:CaATHB-12 (OD600 = 1.0) were infiltrated into the pepper fruits using a 1.0-mL sterilized syringe without a needle. The fruits were placed on sterilized filter papers on a plate and covered with food grade plastic film. The plates were placed in a dark chamber (18°C and 35% relative humidity) for 2 days, and then the treated fruits were transferred into a growth chamber at 23°C/20°C with a 16 h light/8 h dark photoperiod cycle at 35% relative humidity. The control fruits (TRV:00) and silenced fruits (TRV2:CaATHB-12) were used for gene expression analysis 15 days after inoculation.

Generation of CaATHB-12 transgenic Arabidopsis lines

The full length of the CaATHB-12 ORF was cloned from pepper cDNA using the specific primer pair (Supplementary Table 1) with the restriction enzymes sites XbaI and KpnI. The PCR-amplified products were cloned into the plant expression vector pVBG2307. The recombinant fusion vector was transformed into Arabidopsis thaliana using the A. tumefaciens strain GV3101 for transforma-tion (37). Transgenic plants were grown on Murashige and Skoog (MS) medium containing 50 mM/L kanamy-cin and PCR verification. T3 seeds were used for further experiments.

Stress treatment

Cold stress was applied to the pepper fruits according to the methods of Cabello et al. (38) with little modifications. When photo-bleaching was observed on the fruit of TRV2:CaPDS, the silenced pepper seedling with TRV2:CaATHB-12 was exposed to cold stress (4°C) for 1 day. Fruits were sampled at 0, 6, 12, and 24 h. The design used was completely randomized within the growth chamber with three biological replicates.

RNA extraction and quantitative real-time PCR

Total RNA was extracted using a plant RNA Kit (Omega Bio Tek, USA) according to the manufacturer’s instructions, and then reverse transcription was performed using the Prime-script™ first-strand cDNA synthesis kit (TaKaRa, Dalian, China). A list of the CDS sequences of CaATHB-12 and the primers pair used for quantitative real-time PCR (qRT-PCR) are given in Supplementary Tables 1 and 2. qRT-PCR was performed according to the method of Ali et al. (39). The ubiquitin-conjugating gene CaUbi3 (AY486137) was used as the reference gene for the pepper (40), while actin gene AtActin2 (At3g18780) was used as the reference gene for Arabidopsis. The relative expression levels were calculated by the 2−∆∆CT method (41). All the samples were obtained in triplicate, and each treatment had at least three independent biological replicates.

Measurement of pigment content

A 0.2 g of fruits was collected for the measurement of chlorophyll levels. First, fruits were grinded into pieces and soaked in 10 mL acetone for 48 h. Extracts were centrifuged at 5,000 rpm for 15 min at 4°C. According to the method of Porra et al. (42), absorbance of the supernatants was determined at 644, 663, and 440 nm for the measurement of chlorophyll and carotenoid contents using a spectrophotometer.

Measurements of antioxidant enzymes, total phenols, flavonoids, and malondialdehyde contents

The determination of total phenols and flavonoids was slightly modified with reference to the method of Wilson (43). We used (OD280/g) and (OD325/g) to calculate the relative amounts of total phenols and flavonoids, respectively.

To measure the SOD activity, 0.5 g of fresh samples was grinded in a mortar and pestle with 5 cm3 of phosphate buffer solution (PBS) containing 50 mM PBS, 25 mM nitro tetrazolium blue chloride, 0.003 mM riboflavin, and 0.1 mM ethylene diamine tetra acetic acid at pH 7.8. The homogenates were centrifuged at 13,000 rpm at 4°C for 15 min. The supernatants were exposed to an irradiance of 500 μmol m-2 s-1 for 20 min. Activity of SOD was quantified spectrophotometrically at 560 nm (A560 of the control containing water instead of the supernatant was determined in darkness). The SOD activity was calculated based on Dionisio-Sese and Tobita (44).

To measure the POD activity, 0.1 g of fresh samples was grinded in a mortar and pestle with 5 cm3 of PBS (20 mM, pH 6.0). Homogenates were centrifuged at 13,000 rpm at 4°C for 10 min. The supernatants were exposed to an irradiance of 500 μmol m−2 s−1 for 20 min. Activity of POD was quantified spectrophotometrically at 470 nm, and absorbances were recorded every 30 s. The POD activity was calculated by the method of Dionisio-Sese and Tobita (44).

For measuring the MDA content, 0.2 g of the samples was ground in liquid nitrogen through pestle and mortar and subsequently 5 cm3 of ice-cold 10% (m/v) trichloroacetic acid was added. Content of MDA was measured following the protocol of Dionisio-Sese and Tobita (44) with minor modifications. Briefly, the homogenates were centrifuged at 13,000 rpm for 15 min, and the supernatants were added to the same volume of a 10% (m/v) thiobarbituric acid solution containing 0.6% (m/v) trichloroacetic acid. The mixtures were heated at 100°C for 20 min, and the reaction was rapidly halted by placing the mixtures into an ice bath. The cooled reaction solutions were then centrifuged at 13,000 rpm for 10 min, and the absorbance of the supernatants was measured at 450, 532, and 600 nm.

CAT activity was measured by the method of Beers and Sizer (45). Lyophilized fruit (1.00 g) powder was ground in a mortar and homogenized with 5 mL ice-cold extraction buffer (100 mM potassium phosphate buffer, pH 7.5, 1 mM EDTA (Ethylene Diamine Tetraacetic Acid), and 4% polyvinylpyrrolidone). The homogenate was centrifuged at 13,000 rpm for 20 min at 4°C. The supernatant fraction was used as a crude extract for enzyme activity assays. The reaction system is as follows: 0.1 mL crude extraction enzyme solution + 0.7 mL 50 mM PBS (pH 7.0) + 0.2 mL 200 mM H2O2.

Glutathione peroxidase (GPX) activity was measured following the methods of Flohé and Günzler (46). The reaction system is as follows: 0.4 mL crude extraction enzyme solution + 0.4 mL 1 mM GSH + 0.2 mL 1.5 mM H2O2 (37°C) + 4 mL 0.61 mM trichloroacetic acid + 2.5 mL 0.32 M Na2HPO4 + 0.5 mL DTNB (0.04% DTNB (5, 5’-dithiobis-(2-nitrobenzoic acid)), 1% trisodium citrate).

Results

Subcellular localization of CaATHB-12 proteins

The subcellular location of a protein is an important characteristic with functional implications in cell (47). To determine whether the CaATHB-12 protein has a function in life progress, subcellular localization of CaATHB-12 was predicted using WoLF PSORT (https://wolfpsort.hgc.jp/), which predicted that CaATHB-12 was localized mainly in the nucleus (Supplementary Table 3). To confirm this, subcellular localization was characterized by transient expression of the CaATHB-12 gene and GFP in N. benthamiana leaves using the Agrobacterium-mediated transformation technique following the methods of Jin et al. (48). We expressed GFP-tagged CaATHB-12 under a strong promoter 35S (pVBG2307:CaATHB-12) and found that the tagged protein was uniformly distributed in the nucleus. However, the control pVBG2307:GFP localized throughout the cell (Fig. 1).

Fig 1
Fig. 1. Subcellular localization of the pVBG2307:CaATHB-12:GFP fusion protein in N. benthamiana leaves, pVBG2307:GFP, was used as control. The fluorescence was observed under bright and fluorescence field. GFP: green fluorescence of green fluorescence protein (GFP). The scale bar represents 50 μm.

Effect of CaATHB-12 silencing on the pepper fruit color

To understand the role of CaATHB-12 in carotenoid biosynthesis, VIGS technology was used in the green fruits of pepper line AA3. Compared with the control fruits, different colors were observed in the fruits that were treated with the TRV2:CaATHB-12 gene, after 15 days of inoculation. Among them, fruit of TRV2:CaPDS gene showed a slightly orange color after 15 days of injection, while the control fruits showed the change from green to red color (Fig. 2a and Supplementary Fig. 2). The yellow-orange color was observed in the pepper of the TRV2:00, while pepper fruits of TRV2:CaATHB-12 showed a little pale yellow at the fruits’ stalks (Fig. 2b and Supplementary Fig. 2). These results of the expression suggested the reliability of the VIGS, which was verified by the 75% silencing efficiency of the CaATHB-12 gene expression after 15 days of injection (Fig. 2c).

Fig 2
Fig. 2. TRV-mediated silencing of CaATHB-12 in pepper fruits. (a) Phenotypes of pepper fruits infiltrated with TRV2:CaPDS construct (the positive control). Before injection: the fruit on the 35th day after anthesis, when it is still in the green mature stage; WT-fruit: the phenotype of fruits that were not injected with the TRV vector carrying the CaATHB-12 gene after fruits were kept in growth chambers for 15 days. (b) CaATHB-12-silencing fruits exhibiting varying phenotypes in comparison to the negative control with TRV2:00 vector. (c) Silencing efficiency in the seedlings with TRV2:CaATHB-12 vector. The silencing efficiency was analyzed by qRT-PCR. The experiment was conducted after oranging was presented on the fruits of positive control with TRV2:CaPDS. Values are means ± SD from three separate experiments, and the letters show the significance level at α = 0.05.

Effect of low temperature on CaATHB-12-silenced fruit color

To investigate the effect of low temperature on CaATHB-12 in isolated pepper fruits, we first determined the changes in carotenoid content under low temperature stress (Fig. 3). Figure 3a shows the performance of pepper after cold stress, and the color was deepened. Correspondingly, the carotenoid content was also changed (Fig. 3b). The carotenoid content increased significantly, but the levels remained significantly lower than the control of TRV2:00 (Fig. 3c). Further, the expressions of carotenoid biosynthesis-related genes were measured by qRT-PCR (Figs. 3 and 4). Chlorophyll b resisted the damage of fruits at low temperature, and the chlorophyll b contents of the 6 h-silenced fruits were significantly higher than the control fruits (Fig. 3d). At 12 h, the total content of total phenols and flavonoids was significantly higher than the control (Fig. 3e, f), which indicated that the silenced pepper fruits had a more total phenols and flavonoids to resist the effect of low temperature on the fruits. In the pepper of TRV2:CaATHB-12, the CaATHB-12 expression was significantly upregulated at 6 h and then decreased at 12 and 24 h, but the expression levels of all the genes were higher than that at 0 h (Fig. 4a). Similarly, the expression of CaLCYB gene was also significantly increased first at 6 h and then decreased, which followed a similar trend as of CaATHB-12 expression (Fig. 4b). In addition, we also found that the expression of CaZEP gene in the silenced fruit at 0 h was lower than that of the control, and then began to rise in the following time points, and the expression level showed an upward trend; both were higher than the control at 6, 12, and 24 h (Fig. 4c). The expression of CaPSY and CaBCH genes was different from those of CaZEP. At 0 h, the transcriptional levels of the two genes in the silenced fruit were higher than the control fruits, where the expression of CaPSY gene reached to a maximum at 6 h, while the CaBCH gene reached to a maximum at 12 h, and then the expression decreased (Fig. 5). These data indicated that the CaATHB-12 gene and the carotenoid synthesis-related genes corresponded to the low temperatures, and the carotenoid content increased significantly with the prolongation of the low-temperature treatment.

Fig 3
Fig. 3. Effect of cold stress on carotenoid content in the fruits of pepper. The samples at the detached fruits were collected at different time points (0, 6, 12, and 24 h), and detached fruits were exposed to 4°C. (a) Phenotypic change after cold treatment is between TRV2:00 and TRV2:CaATHB-12. (b) Carotenoid content changes after cold treatment. (c) Pigment content changes. (d) Chlorophyll b content changes after cold treatment. (e) Total phenolic content changes. (f) Flavonoid content changes after cold treatment. Mean values and SDs for three replicates are shown. Error bars represent SD for three biological replicates, and the letters show the significance level at α = 0.05.

Fig 4
Fig. 4. Expression profiles of regulatory genes related to carotenoid synthesis in response to cold stress. (a–c) Detached fruits were exposed to 4°C, and levels in the expression of (a) CaATHB-12, (b) CaLCYB, and (c) CaZEP were investigated by qRT-PCR.

Fig 5
Fig. 5. Expression profiles of regulatory genes related to carotenoid synthesis in response to cold stress. (a–b) Detached fruits were exposed to 4°C, and levels in the expression of (a) CaPSY and (b) CaBCH were investigated by qRT-PCR.

Effect of cold stress on antioxidants

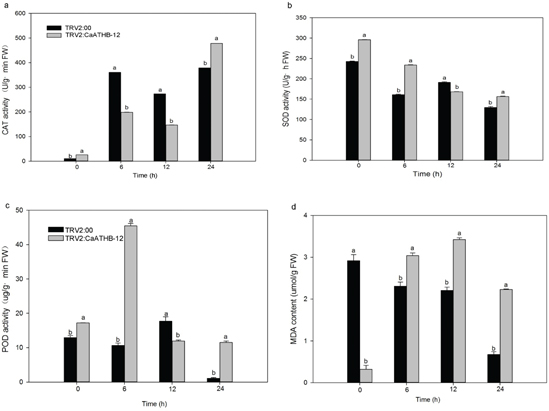
After low-temperature treatment, the CAT content in the peppers of TRV2:CaATHB-12 showed a significant increase and reached the maximum at 24 h. Compared with the control, the CAT activity at 24 h was significantly higher than the control (Fig. 6a). The SOD activity showed a downward trend, but the activity of SOD in the pepper of TRV2:CaATHB-12 was significantly higher than that of the control at 0, 6, and 24 h (Fig. 6b). The activity of POD in the pepper of TRV2:CaATHB-12 increased first at 6 h and then decreased in the following time point at 12 h and 24 h. Interestingly, the activity of POD enzyme returned to the lower level after 24 h as compared with 0 h, whereas the activity of POD enzyme in the fruits of silenced pepper was significantly higher at the corresponding time point (0, 6, and 24 h), except for 12 h (Fig. 6c). MDA is one of the important indicators for measuring the membrane lipid peroxidation. At 0 h, MDA content was significantly lower than the control, whereas, with the prolongation of the low-temperature treatment time, the MDA content of the TRV2:CaATHB-12 increased rapidly as compared with the control. There was a significant increase in the MDA content at 6, 12, and 24 h. Although the MDA content decreased at 24 h, there was a significant upregulation relative to the MDA content at 0 h (Fig. 6d).

Fig 6
Fig. 6. The effect of CaATHB-12 silencing on antioxidant enzymes under cold stress in pepper. (a) CAT activity; (b) SOD activity; (c) POD activity; (d) MDA content. The fruit was sampled at about 1 month after infected. Triplicates were conducted for this experiment, the error bar represented SD of three triplicates, and the letters show the significance level at α = 0.05.

The effect of CaATHB-12-silenced gene under cold stress on the expression of the antioxidant genes in the detached fruits of pepper

CaPOD, one of the antioxidant enzyme genes, was consistently upregulated during the treatment as compared with the respective control TRV2:00 fruits (Fig. 7a). The relative expression of CaSOD varied where the relative expression reached a peak at 24 h. Under cold stress treatment, the overall trend showed an upward trend (Fig. 7b). The expression of CaWRKY41 gene, an important low-temperature response gene, increased with the low-temperature treatment, but it was significantly lower than the control group (Fig. 7c).

Fig 7
Fig. 7. The effect of CaATHB-12 silencing on antioxidant gene expression and low-temperature response gene expression under cold stress in pepper. (a) CaPOD expression; (b) CaSOD expression; (c) CaWRKY41 expression. The fruit was sampled at about 1 month after infected. Triplicates were conducted for this experiment, the error bar represented SD of three triplicates, and the letters show the significance level at α = 0.05.

Effect of CaATHB-12 overexpression in the transgenic Arabidopsis

Arabidopsis transgenic lines overexpressing CaATHB-12, OE1 (over expression), and OE2 were used to perform abiotic stress treatments. Although no visible difference was observed between CaATHB-12-OE lines and wild-type (WT) Arabidopsis plants under normal growth conditions, a significant increase in the levels of CaHSP22.0 expression was observed in the transgenic plants (OE1 and OE2) (Supplementary Fig. 3). After cold treatment at 4°C for 24 h, severe wilting symptoms were observed in the CaATHB-12-OE seedlings. Interestingly, we did not observe any changes in morphology in the WT plants (Fig. 8a). The total carotenoid content of the CaATHB-12-OE seedlings was significantly higher than WT (Fig. 8d). However, no significant change was observed in the total chlorophyll content in CaATHB-12-OE plants (Fig. 8c). The MDA content in OE lines was higher than that of the WTs (Fig. 8b). Similar results to MDA content were observed in CAT activity as well, but both have high activities compared within WT (Fig. 8h). Interestingly, after treated with cold stress, activities of these antioxidant enzymes SOD, GPX, and POD in the CaATHB-12-OE lines showed significant decrease as compared with the WT plants (Fig. 8e–g).

Fig 8
Fig. 8. Overexpression of the CaATHB-12 gene reduces tolerance to cold stress. (a–h) Phenotype, MDA content, total chlorophyll content, total carotenoid content, SOD, GPX, POD, and CAT activity of WT and CaATHB-12-OE Arabidopsis lines (OE1 and OE2) at 4°C for 24 h. Seedlings grown at 22°C were used as the control. Data are means with standard deviations of three biological replicates. Different letters denote statistical significance at P ≤ 0.05.

Next, we further examined the expression patterns of stress-responsive genes (AtRD29A, AtMYB44, AtDREB2A, AtAPX2, and ATGPX3) after treatment with 4°C for 24 h. The results showed that under normal conditions, these stress-responsive genes displayed low transcript levels in OE-lines and WT (Fig. 9b, c). However, under the cold stress conditions, the expression levels of all the mentioned genes were upregulated in CaATHB-12-OE lines, but both the enhanced folds and transcript abundance were also lower in the transgenic lines than in WT plants (Fig. 9b, c). Similarly, after cold stress treatment, the relative expression levels of AtDREB2A, AtMYB44, AtRD29A, and ATGPX3 were significantly lowered in CaATHB-12-OE plants as compared with the WT, except the AtAPX2 gene (Fig. 9).

Fig 9
Fig. 9. Relative expression levels of related genes in WT and CaATHB-12-OE lines under cold stress. Relative expressions of (a) ATAPX2, (b) ATDREB2A, (c) ATRD29A, (d) ATMYB44, and (e) ATGPX3. Bars show the standard deviation of expression levels from three biological replications. Different letters denote statistical significance at P ≤ 0.05.

Discussion

It is widely reported that stress conditions result in an increase in the ROS levels and also stimulate the action of biological antioxidants (49, 50). Carotenoids, as an important antioxidant, are supported by their ubiquity in the nature. They are the main dietary source of vitamin A in humans (51), which has a link between plants and their environment and plays an important role in the improvement of tolerance to stress by inhibition of ROS (52, 53). Studies on plant antioxidant responses indicate that a crucial part of the antioxidant network operates in cells and their action shows a high level of interdependence that can be influenced by plant cold tolerance (50). Carotenoids may also act as powerful antioxidants, protecting fruit tissues from different stresses (54). Moreover, lycopene-induced chilling tolerance in grapefruits appears to be directly related to an enhancement of the singlet oxygen scavenging capacity (55). Generally, cells lacking carotenoids are much easier to be attracted by ROS (56). The transcriptional levels of carotenoid biosynthesis genes usually show upregulation when plants are exposed to adversities, thereby leading to higher levels of carotenoids (57). In the current study, we characterized contribution of a novel transcription factor gene, CaATHB-12, in response to cold stress. As the subcellular localization of proteins is closely related to their function, most of the previously obtained HD-Zip family members are located in the nucleus (58), for example, Athb-12 in Arabidopsis in the nucleus (59), and then Oshox12, Oshox14, Oshox22, and ZmHDZ1 are nuclear-localized proteins (6063). Consistent with the known function of TFs, the GFP-tagged fusion constructs indicated that CaATHB-12 has nuclear-localized proteins (Fig. 1). Silencing of the CaATHB-12 gene leads to the decreased carotenoid contents. The sunflower HD-Zip transcription factor HAHB4 resulted in the contents of chlorophylls a and b, and carotenoids were decreased in Arabidopsis transgenic plants, with downregulated the chlorophyll-binding proteins (27). In navel orange, low temperature (°C) significantly enhanced the expression levels of CaPSY, CaLCYB, and CaZEP genes compared with 20°C (64). The CaPSY gene acts as one of the most important rate-limiting enzyme in the carotenoid metabolic pathway, and the CaPSY gene responds to posttranscriptional feedback regulation of environmental stresses such as hypothermia, high lights, salt, and ABA (65). Overexpression of the CaPSY genes in the Arabidopsis-enhanced tolerance to salt stress (66). As a non-enzymatic antioxidant, carotenoids play an important role in scavenging the ROS. Many members of the HD-ZIP I subfamily respond to environmental stresses and also regulate the plant growth and development (9). ATHB-12 is reported in the Arabidopsis in response to ABA, and to drought (67) and salt stress (68). We reported that TRV2:CaATHB-12 silencing in pepper has less carotenoid accumulation as compared with the control pepper plants. The silencing of MdHB1 in apple ‘Granny Smith’ fruit activated the expression of MdDFR and MdUFGT and also the anthocyanin biosynthesis, whereas its overexpression reduced the flesh content of anthocyanin in ‘Ballerina’ (red-fleshed apple) (25). On the other hand, the carotenoid contents in the overexpression of CaATHB-12 lines were higher than the WT Arabidopsis plants (Figs. 3 and 8d); however, after low-temperature treatment, the carotenoid content significantly increased (Fig. 3b). Thereafter, we also measured the carotenoid biosynthesis-related genes expression. Interestingly, these genes, such as CaPSY and CaLCYB, first significantly upregulated at 6 h and then returned to the initial state (Figs. 4b and 5a). Some reports indicated that the overexpression of the CaPSY genes leads to the accumulation of carotenoids in Arabidopsis (69).

The miracle of carotenoid biosynthesis in the organism is closely related to the regulation of the metabolic pathways. The regulation of the CaLCYB gene produces β-carotene, which has an effect on the production of carotenoids. The low-temperature condition of β-carotene is increased in Arabidopsis (65). Fungus Neurospora crassa has a higher transcripts abundance of carotenoid synthesis-related genes at low temperatures (70), and chilling damage reduces lycopene contents in tomato and lycopene act as a carotenoid (71). CaZEP is involved in carotenoid biosynthesis and lutein cycling, which removed excess ROS, is a mechanism of plant protection (72), acts as a strong antioxidant to the extreme environments, and works on light protection. The ZEP genes play an important role in protecting plants photosynthetic systems from photochemical damage under extreme environmental conditions (73). While participating in drought and extreme stress processes (74), higher expression levels of the ZEP genes are closely related to the regulation of the xanthophyll cycle (75). Our report indicated that the CaZEP gene was upregulated during the 24 h cold stress period (Fig. 4c), suggesting that the CaZEP gene played a role in response to the low temperature. The similar report was found in alfalfa where the upregulated expression of MsCaZEP enhanced tolerance to environmental stresses (76).

During the process of evolution, plants have evolved a series of complex responsive mechanisms to adapt to various environmental stresses. Antioxidant enzymes promote oxidative stress in the cells and protect against cellular damage caused by the ROS (77, 78). Plants have complex antioxidant systems for the scavenging of ROS, and several important antioxidant enzymes play an important role (79). Higher antioxidant enzyme activities have a stronger ability to scavenge ROS, which has a better protective effect on the plants (4). After low-temperature treatment, POD was significantly upregulated at 6 h (Fig. 6c) in the silenced pepper fruits, whereas there was no significant change in the control, and low temperature also increased the POD activity in cucumber leaves (80). At the same time, the overall activity of CAT showed an upward trend (Fig. 5a). It was reported in pepper that the CAT activity decreased within 24 h after low-temperature treatment, suggesting that the protective mechanism of active oxygen scavenging in the short term mainly relied on POD and SOD enzyme activities (81). Another report pointed out that increased CAT activity under low-temperature induction may suggest that H2O2 may be removed, thus avoiding the formation of hydroxyl radicals and cold-induced damage (82, 83). The SOD content decreased overall, but the SOD activity was significantly higher at 0, 6, and 24 h than the control peppers, (Fig. 6b). In pepper, exposure to 8°C for 24 h, oxidative stress was induced (84); the same report was found in cucumber and wheat seedlings, where low temperature significantly induced the SOD enzyme activity (4, 85), which was also reported in rice (86). The MDA content is used as one of the important indicators for monitoring the membrane lipid peroxidation under stress conditions (87); low-temperature increased the MDA contents (83). Our report indicated that the MDA content in the control group was higher than that of the silenced fruit at 0 h, while the activities of SOD, POD, and CAT were higher than that of the control (Fig. 6d), indicating that more antioxidant enzymes in the silenced fruit cleared the active oxygen. The MDA content was low, and the silencing of CaATHB-12 resulted in better tolerance to low temperature than the control pepper plants.

Next, we further examined the expression patterns of stress-responsive genes (CaSOD, CaPOD, and CaWRKY41) after treatment with cold stress for 24 h. The CaSOD and CaPOD genes strongly responded to low temperature and oxidative stress responses (80, 83). Our results also showed that the highest expression of 0 h CaPOD was compared with other time points. Under low-temperature treatments, the overall increase of CaSOD gene expression peaked at 24 h (Fig. 7b). Reports indicated that the overexpression of SOD gene enhanced tolerance to low temperatures in rapeseed (88). However, the expression level of CaPOD gene was significantly higher than that of the control at each time point (Fig. 7a). The upregulated expression of CaPOD gene promoted POD enzyme activity, suggesting the role in low-temperature response. As a low-temperature response gene, the CaWRKY41 gene responded to a low temperature and was upregulated with the prolongation of cold stress (Fig. 7c). In tobacco, the expression of WRKY41 was upregulated at low temperatures (89). Further, our study suggested that silencing of CaATHB-12 gene has a positive association with the upregulation of antioxidant enzyme genes, including CaPOD and CaSOD genes, which resulted in enhanced tolerance of pepper at low temperatures.

To further understand the biological functions of CaATHB-12 in plant response to cold stress, we employed transgenic approach in the Arabidopsis and found that the CaATHB-12 overexpression in Arabidopsis seedlings exhibited more wilted leaves than WT seedlings. It was also reported earlier in Arabidopsis that oxidative stress was induced at 4°C (90). A previous study divulged that overexpression of the ATHB12 induced the formation of larger leaves with enlarged cells of higher-ploidy levels, suggested that ATHB12 positively regulates the cell expansion in Arabidopsis (91). Similarly, in other crop species, the overexpression of OsHox22, a gene belongs to rice HD-Zip I family, decreased the transgenic rice tolerance to environmental stresses, which indicated that the OsHox22 played the roles as negative regulators in rice (62). Overexpression of ZmHDZ1 in rice as well showed a similar trend (63). Generally, AtDREB2A can be induced by low temperature (92), and the expression of RD29A can be used as a criterion for plant development and stress resistance (93, 94). AtAPX2, AtGPX3, and AtMYB44 responded to adverse stress situations (95). In our results, the expression of AtRD29A, AtRDEB2A, AtGPX3, and AtMYB44 transcripts abundance and activities of antioxidant enzymes in CaATHB-12-OE lines were lower than in WT plants under cold stresses conditions (Figs. 8 and 9). This suggests that these genes certainly decreased the stress tolerance of CaATHB-12-OE lines by not checking the ROS level. Normally, there is a proper balance between generation and scavenging of ROS in control and stress tolerance and is regulated by complex signal transduction pathways (96, 97). This situation could be due to the transgenic lines have less antioxidant enzyme activities and higher MDA content, leading to the aggravation of membrane lipid peroxidation (98). Taken together, our results suggested that CaATHB-12 may be involved in plant cold stress tolerance by modulating the expression level of stress-related genes.

Conclusion

In this study, we found that the CaATHB-12 gene is involved in the regulation of the fruit color in the pepper AA3, and the carotenoid content of the silenced pepper fruits was significantly lower than the control fruit. Further, under the cold stress, the increased contents of carotenoids, flavonoids, and phenolic compounds were due to the upregulation of the carotenoid biosynthesis-related genes. Moreover, the CaATHB-12-silenced fruit led to a higher level of antioxidant enzyme activities and transcript abundance of the antioxidant enzyme-related genes. While the overexpression of CaATHB-12 increased the content of carotenoid in the normal condition, the ability of ROS scavenging was impaired under cold stress. This study provides a better understanding of the role of CaATHB-12 in resisting low-temperature stress during the development of pepper fruit color. CaATHB-12 was also involved in cold stress tolerance through scavenging of the ROS. This study provides a basis for further research on the role of this vital gene in the carotenoid biosynthesis and cold stress response in other important crops species.

Acknowledgments

This work was supported through funding from the National Natural Science Foundation of China (No. 31772309 and No. 31860556), and Guizhou Province Science and technology support project (No.[2020]1Y086).

References

  1. León-Chan RG, López-Meyer M, Osuna-Enciso T, Sañudo-​Barajas JA, Heredia JB, León-Félix J. Low temperature and ultraviolet-B radiation affect chlorophyll content and induce the accumulation of UV-B-absorbing and antioxidant compounds in bell pepper (Capsicum annuum) plants. Environ Exp Bot 2017; 139: 143–51. doi: 10.1016/j.envexpbot.2017.05.006
  2. Kaniuga Z. Chilling response of plants: importance of galactolipase, free fatty acids and free radicals. Plant Biol 2010; 10(2): 171–84. doi: 10.1111/j.1438-8677.2007.00019.x
  3. Korkmaz A, Korkmaz Y, Demirkıran AR. Enhancing chilling stress tolerance of pepper seedlings by exogenous application of 5-aminolevulinic acid. Environ Exp Bot 2010; 67(3): 495–501. doi: 10.1016/j.envexpbot.2009.07.009
  4. Zhang W, Jiang B, Li W, Song H, Yu Y, Chen J. Polyamines enhance chilling tolerance of cucumber (Cucumis sativus L.) through modulating antioxidative system. Sci Horticult 2009; 122(2): 200–8. doi: 10.1016/j.scienta.2009.05.013
  5. Guo W-L, Chen R-G, Gong Z-H, Yin Y-X, Li D-W. Suppression subtractive hybridization analysis of genes regulated by application of exogenous abscisic acid in pepper plant (Capsicum annuum L.) leaves under chilling stress. PLoS One 2013; 8(6). doi: 10.1371/journal.pone.0066667
  6. Mukherjee K, Brocchieri L, Bürglin TR. A comprehensive classification and evolutionary analysis of plant homeobox genes. Mol Biol Evol 2009; 26(12): 2775–94. doi: 10.1093/molbev/msp201
  7. Zhong Yf, Holland PW. HomeoDB2: functional expansion of a comparative homeobox gene database for evolutionary developmental biology. Evol Dev 2011; 13(6): 567–8. doi: 10.1111/j.1525-142x.2011.00513.x
  8. Holland PW. Evolution of homeobox genes. Wiley Interdisc Rev Dev Biol 2013; 2(1): 31–45. doi: 10.1002/wdev.78
  9. Ariel FD, Manavella PA, Dezar CA, Chan RL. The true story of the HD-Zip family. Trends Plant Sci 2007; 12(9): 419–26. doi: 10.1016/j.tplants.2007.08.003
  10. Re DA, Capella M, Bonaventure G, Chan RL. Arabidopsis AtHB7 and AtHB12 evolved divergently to fine tune processes associated with growth and responses to water stress. BMC Plant Biol 2014; 14: 150. doi: 10.1186/1471-2229-14-150
  11. Olsson AS, Engstrom P, Soderman E. The homeobox genes ATHB12 and ATHB7 encode potential regulators of growth in response to water deficit in Arabidopsis. Plant Mol Biol 2004; 55(5): 663–77. doi: 10.1007/s11103-004-1581-4
  12. Zhao Y, Ma Q, Jin X, Peng X, Liu J, Deng L, et al. A novel maize homeodomain-leucine zipper (HD-Zip) I gene, Zmhdz10, positively regulates drought and salt tolerance in both rice and Arabidopsis. Plant Cell Physiol 2014; 55(6): 1142–56. doi: 10.1093/pcp/pcu054
  13. Changfu Z, Qingjie Y, Xiuzhen N, Chao B, Yanmin S, Lianxuan S, et al. Cloning and functional analysis of the promoters that upregulate carotenogenic gene expression during flower development in Gentiana lutea. Physiol Plant 2014; 150(4): 493–504. doi: 10.1111/ppl.12129
  14. Kato S, Tanno Y, Takaichi S, Shinomura T. Low temperature stress alters the expression of phytoene desaturase genes (crtP1 and crtP2) and ζ-carotene desaturase gene (crtQ) of Euglena gracilis and the cellular carotenoid content. Plant Cell Physiol 2018; 60(2): 274–84. doi: 10.1093/pcp/pcy208
  15. Omoni AO, Aluko RE. The anti-carcinogenic and anti-atherogenic effects of lycopene: a review. Trends Food Sci Technol 2005; 16(8): 344–50. doi: 10.1016/j.tifs.2005.02.002
  16. Fraser PD, Bramley PM. The biosynthesis and nutritional uses of carotenoids. Prog Lipid Res 2004; 43(3): 228–65. doi: 10.1016/j.plipres.2003.10.002
  17. Krinsky NI, Johnson EJ. Carotenoid actions and their relation to health and disease. Mol Aspects Med 2005; 26(6): 459–516. doi: 10.1016/j.mam.2005.10.001
  18. Stahl W, Sies H. Antioxidant activity of carotenoids. Mol Aspects Med 2003; 24(6): 345–51. doi: 10.1016/S0098-2997(03)00030-X
  19. Cazzonelli CI. Carotenoids in nature: insights from plants and beyond. Funct Plant Biol 2011; 38(11): 833–47. doi: 10.1071/fp11192
  20. Bertram JS. Carotenoids and human health. Hawaii Med J 2002; 61(4): 77–8. doi: 10.1016/j.phrs.2007.01.012
  21. Fiedor J, Burda K. Potential role of carotenoids as antioxidants in human health and disease. Nutrients 2014; 6(2): 466–88. doi: 10.3390/nu6020466
  22. Kró M, Maxwell DP, Huner NPA. Exposure of dunaliella salina to low temperature mimics the high light-induced accumulation of carotenoids and the carotenoid binding protein (Cbr). Plant Cell Physiol 1997; 38(2): 213–16. doi: 10.1093/oxfordjournals.pcp.a029155
  23. Zhou J, Hunter DA, Lewis DH, McManus MT, Zhang H. Insights into carotenoid accumulation using VIGS to block different steps of carotenoid biosynthesis in petals of California poppy. Plant Cell Rep 2018; 37(9): 1311–23. doi: 10.1007/s00299-018-2314-5
  24. Brandt R, Cabedo M, Xie Y, Wenkel S. Homeodomain leucine-zipper proteins and their role in synchronizing growth and development with the environment. J Integr Plant Biol 2014; 56(6): 518–26. doi: 10.1111/jipb.12185
  25. Jiang Y, Liu C, Yan D, Wen X, Liu Y, Wang H, et al. MdHB1 down-regulation activates anthocyanin biosynthesis in the white-fleshed apple cultivar ‘Granny Smith’. J Exp Bot 2017; 68(5): 1055–69. doi: 10.1093/jxb/erx029
  26. Lin Z, Hong Y, Yin M, Li C, Zhang K, Grierson D. A tomato HD-Zip homeobox protein, LeHB-1, plays an important role in floral organogenesis and ripening. Plant J 2008; 55(2): 301–10. doi: 10.1111/j.1365-313X.2008.03505.x
  27. Manavella PA, Dezar CA, Bonaventure G, Baldwin IT, Chan RL. HAHB4, a sunflower HD-Zip protein, integrates signals from the jasmonic acid and ethylene pathways during wounding and biotic stress responses. Plant J 2008; 56(3): 376–88. doi: 10.1111/j.1365-313X.2008.03604.x
  28. Sun R-Z, Pan Q-H, Duan C-Q, Wang J. Light response and potential interacting proteins of a grape flavonoid 3′-hydroxylase gene promoter. Plant Physiol Biochem 2015; 97: 70–81. doi: 10.1016/j.plaphy.2015.09.016
  29. Zhang F, Zuo K, Zhang J, Liu X, Zhang L, Sun X, et al. An L1 box binding protein, GbML1, interacts with GbMYB25 to control cotton fibre development. J Exp Bot 2010; 61(13): 3599–613. doi: 10.1093/jxb/erq173
  30. Lu P, Zhang C, Liu J, Liu X, Jiang G, Jiang X, et al. RhHB1 mediates the antagonism of gibberellins to ABA and ethylene during rose (Rosa hybrida) petal senescence. Plant J Cell Mol Biol 2014; 78(4): 578–90. doi: 10.1111/tpj.12494
  31. Kubo H, Peeters AJ, Aarts MG, Pereira A, Koornneef M. ANTHOCYANINLESS2, a homeobox gene affecting anthocyanin distribution and root development in Arabidopsis. Plant Cell 1999; 11(7): 1217–26. doi: 10.1105/tpc.11.7.1217
  32. Eva H, Olsson ASB, Henrik J, Henrik J, Johannes H, Peter EM, et al. Homeodomain leucine zipper class I genes in Arabidopsis. Expression patterns and phylogenetic relationships. Plant Physiol 2005; 139(1): 509–18. doi: 10.1104/pp.105.063461
  33. Lee YH, Chun JY. A new homeodomain-leucine zipper gene from Arabidopsis thaliana induced by water stress and abscisic acid treatment. Plant Mol Biol 1998; 37(2): 377–84. doi: 10.1023/a:1006084305012
  34. Wang J-E, Li D-W, Zhang Y-L, Zhao Q, He Y-M, Gong Z-H. Defence responses of pepper (Capsicum annuum L.) infected with incompatible and compatible strains of Phytophthora capsici. Eur J Plant Pathol 2013; 136(3): 625–38. doi: 10.1007/s10658-013-0193-8
  35. Tian SL, Li L, Chai WG, Shah SN, Gong ZH. Effects of silencing key genes in the capsanthin biosynthetic pathway on fruit color of detached pepper fruits. BMC Plant Biol 2014; 14(1): 314. doi: 10.1186/s12870-014-0314-3
  36. Yu C, Zhan Y, Feng X, Huang ZA, Sun C. Identification and expression profiling of the auxin response factors in Capsicum annuum L. under abiotic stress and hormone treatments. Int J Mol Sci 2017; 18(12): 2719. doi: 10.3390/ijms18122719
  37. Clough SJ, Bent AF. Floral dip: a simplified method for Agrobacterium-mediated transformation of Arabidopsis thaliana. Plant J 1998; 16(6): 735–43. doi: 10.1046/j.1365-313x.1998.00343.x
  38. Cabello JV, Arce AL, Chan RL. The homologous HD-Zip I transcription factors HaHB1 and AtHB13 confer cold tolerance via the induction of pathogenesis-related and glucanase proteins. Plant J Cell Mol Biol 2012; 69(1): 141–53. doi: 10.1111/j.1365-313X.2011.04778.x
  39. Ali M, Luo DX, Khan A, Haq SU, Gai WX, Zhang HX, et al. Classification and genome-wide analysis of chitin-binding proteins gene family in pepper (Capsicum annuum L.) and transcriptional regulation to phytophthora capsici, abiotic stresses and hormonal applications. Int J Mol Sci 2018; 19(8): 2216. doi: 10.3390/ijms19082216
  40. Wang JE, Li DW, Gong ZH, Zhang YL. Optimization of virus-induced gene silencing in pepper (Capsicum annuum L.). Genet Mol Res GMR 2013; 12(3): 2492–506. doi: 10.4238/2013.July.24.4
  41. Livak KJ, Schmittgen TD. Analysis of relative gene expression data using real-time quantitative PCR. Method 2002; 25(4): 402–8. doi: 10.1006/meth.2001.1262
  42. Porra RJ, Thompson WA, Kriedemann PE. Determination of accurate extinction coefficients and simultaneous equations for assaying chlorophylls a and b extracted with four different solvents: verification of the concentration of chlorophyll standards by atomic absorption spectroscopy. Biochimbiophysacta 1989; 975(3): 384–94. doi: 10.1016/s0005-2728(89)80347-0
  43. Wilson MF. A rapid method for the separation and quantification of simple phenolic acids in plant material using high-performance liquid chromatography. J Chromatogr A 1985; 346(346): 440–5. doi: 10.1016/S0021-9673(00)90538-7
  44. Dionisio-Sese ML, Tobita S. Antioxidant responses of rice seedlings to salinity stress. Plant Sci 1998; 135(1): 1–9. doi: 10.1016/S0168-9452(98)00025-9
  45. Beers RF, Jr., Sizer IW. A spectrophotometric method for measuring the breakdown of hydrogen peroxide by catalase. J Biol Chem 1952; 195(1): 133–40. doi: 10.1016/S0074-7696(08)60016-9
  46. Flohé L, Günzler WA. Assays of glutathione peroxidase. Methods Enzymol 1984; 105(1): 114–21. doi: 10.1016/S0076-6879​(84)05015-1
  47. Emanuelsson O, von Heijne G. Prediction of organellar targeting signals. Biochim Biophys Acta 2001; 1541(1–2): 114–19. doi: 10.1016/s0167-4889(01)00145-8
  48. Jing-hao J, Min W, Huai-xia Z, Abid K, Ai-min W, De-xu L, et al. Genome-wide identification of the AP2/ERF transcription factor family in pepper (Capsicum annuum L.). Genome 2018;(5):gen-2018-0036. doi: 10.1139/gen-2018-0036
  49. Su Y, Xu L, Wang S, Wang Z, Yang Y, Chen Y, et al. Identification, phylogeny, and transcript of chitinase family genes in sugarcane. Sci Rep 2015; 5: 10708. doi: 10.1038/srep10708
  50. Szymańska R, Ślesak I, Orzechowska A, Kruk J. Physiological and biochemical responses to high light and temperature stress in plants. Environ Exp Bot 2017; 139: 165–77. doi: 10.1016/j.envexpbot.2017.05.002
  51. Schenck CA, Nadella V, Clay SL, Lindner J, Abrams Z, Wyatt SE. A proteomics approach identifies novel proteins involved in gravitropic signal transduction. Am J Bot 2013; 100(1): 194–202. doi: 10.3732/ajb.1200339
  52. Esmon CA, Pedmale UV, Liscum E. Plant tropisms: providing the power of movement to a sessile organism. Int J Dev Biol 2005; 49(5–6): 665–74. doi: 10.1387/ijdb.052028ce
  53. Uarrota VG, Severino RB, Maraschin M, eds. Abstract: maize landraces (Zea mays L.): a new prospective source for secondary metabolite production. Int Conf Image Inform Process 2011; 6(3): 218–26. doi: 10.1109/ICIIP.2011.6108925
  54. Lado J, Rodrigo M, Cronje P, Zacarías L. Involvement of lycopene in the induction of tolerance to chilling injury in grapefruit. Postharvest Biol Technol 2015; 100: 176–86. doi: 10.1016/j.postharvbio.2014.10.002
  55. Lado J, Rodrigo M, Climent MF, Gómez-Cadenas A, Zacarías L. Implication of the antioxidant system in chilling injury tolerance in the red peel of grapefruit. Postharvest Biol Technol 2016; 111: 214–23. doi: 10.1016/j.postharvbio.2015.09.013
  56. Landrum JT. Reactive oxygen and nitrogen species in biological systems: reactions and regulation by carotenoids. Carotenoids and Human Health: Springer. Totowa, NJ: Humana Press; 2013, pp. 57–101.
  57. Esteban R, Moran JF, Becerril JM, García-Plazaola JI. Versatility of carotenoids: an integrated view on diversity, evolution, functional roles and environmental interactions. Environ Exp Bot 2015; 119: 63–75. doi: 10.1016/j.envexpbot.2015.04.009
  58. Zou L-P, Sun X-H, Zhang Z-G, Liu P, Wu J-X, Tian C-J, et al. Leaf rolling controlled by the homeodomain leucine zipper class IV gene Roc5 in rice. Plant Physiol 2011; 156(3): 1589–602. doi: 10.1104/pp.111.176016
  59. Shin D, Koo YD, Lee J, Lee H-J, Baek D, Lee S, et al. Athb-12, a homeobox-leucine zipper domain protein from Arabidopsis thaliana, increases salt tolerance in yeast by regulating sodium exclusion. Biochem Biophys Res Commun 2004; 323(2): 534–40. doi: 10.1016/j.bbrc.2004.08.127
  60. Shao J, Haider I, Xiong L, Zhu X, Hussain RMF, Overnas E, et al. Functional analysis of the HD-Zip transcription factor genes Oshox12 and Oshox14 in rice. PLoS One 2018; 13(7): e0199248. doi: 10.1371/journal.pone.0199248
  61. Gao S, Xu F, Wei W, Chu C. Rice HOX12 regulates panicle exsertion by directly modulating the expression of elongated uppermost internode1. Plant Cell 2016; 28: 680–95. doi: 10.1105/tpc.15.01021
  62. Zhang S, Haider I, Kohlen W, Jiang L, Bouwmeester H, Meijer AH, et al. Function of the HD-Zip I gene Oshox22 in ABA-mediated drought and salt tolerances in rice. Plant Mol Biol 2012; 80(6): 571–85. doi: 10.1007/s11103-012-9967-1
  63. Wang QQ, Zha KY, Chai WB, Wang Y, Liu B, Jiang HY, et al. Functional analysis of the HD-Zip I gene ZmHDZ1 in ABA-mediated salt tolerance in rice. J Plant Biol 2017; 60(2): 207–14. doi: 10.1007/s12374-016-0413-9
  64. Tao N, Wang C, Xu J, Cheng Y. Carotenoid accumulation in postharvest ‘Cara Cara’ navel orange (Citrus sinensis Osbeck) fruits stored at different temperatures was transcriptionally regulated in a tissue-dependent manner. Plant Cell Rep 2012; 31(9): 1667–76. doi: 10.1007/s00299-012-1279-z
  65. Cazzonelli CI, Pogson BJ. Source to sink: regulation of carotenoid biosynthesis in plants. Trends Plant Sci 2010; 15(5): 266–74. doi: 10.1016/j.tplants.2010.02.003
  66. Gu Z, Chen D, Han Y, Chen Z, Gu F. Optimization of carotenoids extraction from Rhodobacter sphaeroides. LWT Food Sci Technol 2008; 41(6): 1082–8. doi: 10.1016/j.lwt.​2007.07.005
  67. Henrik J, Yan W, Johannes H, Peter EM. The Arabidopsis thaliana homeobox gene ATHB5 is a potential regulator of abscisic acid responsiveness in developing seedlings. Plant Mol Biol 2003; 51(5): 719–29. doi: 10.1023/A:1022567625228
  68. Axel H, Thomas H, Martin L, Beat HH, Erwin G. Homeodomain protein ATHB6 is a target of the protein phosphatase ABI1 and regulates hormone responses in Arabidopsis. Embo J 2002; 21(12): 3029–38. doi: 10.1093/emboj/cdf316
  69. Rodriguez-Uribe L, Guzman I, Rajapakse W, Richins RD, O’Connell MA. Carotenoid accumulation in orange-pigmented Capsicum annuum fruit, regulated at multiple levels. J Exp Bot 2012; 63(1): 517–26. doi: 10.1093/jxb/err302
  70. Castrillo M, Luque EM, Pardo-Medina J, Limón MC, Corrochano LM, Avalos J. Transcriptional basis of enhanced photoinduction of carotenoid biosynthesis at low temperature in the fungus Neurospora crassa. Res Microbiol 2017; 169(2): 78–89. doi: 10.1016/j.resmic.2017.11.003
  71. Rugkong A, McQuinn R, Giovannoni JJ, Rose JKC, Watkins CB. Expression of ripening-related genes in cold-stored tomato fruit. Postharvest Biol Technol 2011; 61(1): 1–14. doi: 10.1016/j.postharvbio.2011.02.009
  72. DellaPenna D, Pogson BJ. Vitamin synthesis in plants: tocopherols and carotenoids. Annu Rev Plant Biol 2006; 57: 711–38. doi: 10.1146/annurev.arplant.56.032604.144301
  73. Sun WH, Verhoeven AS, Bugos RC, Yamamoto HY. Suppression of zeaxanthin formation does not reduce photosynthesis and growth of transgenic tobacco under field conditions. Photosynth Res 2001; 67(1–2): 41–50. doi: 10.1023/a:1010636511935
  74. Schwarz N, Armbruster U, Iven T, BrãCkle L, Melzer M, Feussner I, et al. Tissue-specific accumulation and regulation of zeaxanthin epoxidase in Arabidopsis reflect the multiple functions of the enzyme in plastids. Plant Cell Physiol 2015; 56(2): 346–57. doi: 10.1093/pcp/pcu167
  75. Niyogi KK, Shih C, Chow WS, Pogson BJ, Dellapenna D, Björkman O. Photoprotection in a zeaxanthin and lutein-deficient double mutant of Arabidopsis. Photosynth Res 2001; 67(1–2): 139–45. doi: 10.1023/a:1010661102365
  76. Zhang Z, Wang Y, Chang L, Zhang T, An J, Liu Y, et al. MsZEP, a novel zeaxanthin epoxidase gene from alfalfa (Medicago sativa), confers drought and salt tolerance in transgenic tobacco. Plant Cell Rep 2016; 35(2): 439–53. doi: 10.1007/s00299-015-1895-5
  77. Duan J, Li J, Guo S, Kang Y. Exogenous spermidine affects polyamine metabolism in salinity-stressed Cucumis sativus roots and enhances short-term salinity tolerance. J Plant Physiol 2008; 165(15): 1620–35. doi: 10.1016/j.jplph.2007.11.006
  78. Groppa MD, Benavides MP. Polyamines and abiotic stress: recent advances. Amino Acids 2008; 34(1): 35–45. doi: 10.1007/s00726-007-0501-8
  79. Suzuki N, Koussevitzky S, Mittler R, Miller G. ROS and redox signalling in the response of plants to abiotic stress. Plant Cell Environ 2012; 35(2): 259–70. doi: 10.1111/j.1365-3040.​2011.02336.x
  80. Dong HL, Lee CB. Chilling stress-induced changes of antioxidant enzymes in the leaves of cucumber: in gel enzyme activity assays. Plant Sci 2000; 159(1): 75–85. doi: 10.1016/s0168-9452(00)00326-5
  81. Meng G, Yu-Fei Z, Jin-Ping L, Lin C, Wei-Guo C, Zhen-Hui G, et al. Characterization of CaHsp70-1, a pepper heat-shock protein gene in response to heat stress and some regulation exogenous substances in Capsicum annuum L. Int J Mol Sci 2014; 15(11): 19741–59. doi: 10.3390/ijms151119741
  82. Layrisse M, García-Casal MN, Solano L, Barón MA, Arguello F, Llovera D, et al. Vitamin A reduces the inhibition of iron absorption by phytates and polyphenols. Food Nutr Bull 1998; 19(19) :3–5(3). doi: 10.1177/156482659801900101
  83. Li Q, Yu B, Gao Y, Dai AH, Bai JG. Cinnamic acid pretreatment mitigates chilling stress of cucumber leaves through altering antioxidant enzyme activity. J Plant Physiol 2011; 168(9): 927–34. doi: 10.1016/j.jplph.2010.11.025
  84. Airaki M, Leterrier M, Mateos RM, Valderrama R, Chaki M, Barroso JB, et al. Metabolism of reactive oxygen species and reactive nitrogen species in pepper (Capsicum annuum L.) plants under low temperature stress. Plant Cell Environ 2012; 35(2): 281–95. doi: 10.1111/j.1365-3040.2011.02310.x
  85. Naydenov NG, Sakina K, Maryna S, Chiharu N. Profiling of mitochondrial transcriptome in germinating wheat embryos and seedlings subjected to cold, salinity and osmotic stresses. Genes Genet Syst 2010; 85(1): 31. doi: 10.1266/ggs.85.31
  86. Oidaira H, Sano S, Koshiba T, Ushimaru T. Enhancement of antioxidative enzyme activities in chilled rice seedlings. J Plant Physiol 2000; 156(5–6): 811–13. doi: 10.1016/S0176-1617(00)80254-0
  87. Bajji M, Kinet JM, Lutts S. The use of the electrolyte leakage method for assessing cell membrane stability as a water stress tolerance test in durum wheat. Plant Growth Regul 2002; 36(1): 61–70. doi: 10.1023/a:1014732714549
  88. Gusta LV, Benning NT, Wu G, Luo X, Liu X, Gusta ML, et al. Superoxide dismutase: an all-purpose gene for agri-biotechnology. Mol Breed 2009; 24(2): 103–15. doi: 10.1007/s11032-009-9274-y
  89. Dang FF, Wang YN, Yu L, Eulgem T, Lai Y, Liu ZQ, et al. CaWRKY40, a WRKY protein of pepper, plays an important role in the regulation of tolerance to heat stress and resistance to Ralstonia solanacearum infection. Plant Cell Environ 2013; 36(4): 757–74. doi: 10.1111/pce.12011
  90. O’Kane D, Gill V, Boyd P, Burdon R. Chilling, oxidative stress and antioxidant responses in Arabidopsis thaliana callus. Planta 1996; 198(3): 371–7. doi: 10.1007/bf00620053
  91. Hur YS, Um JH, Kim S, Kim K, Park HJ, Lim JS, et al. Arabidopsis thaliana homeobox 12 (ATHB12), a homeodomain-leucine zipper protein, regulates leaf growth by promoting cell expansion and endoreduplication. New Phytol 2015; 205(1): 316–28. doi: 10.1111/nph.12998
  92. Nakashima K, Shinwari ZK, Sakuma Y, Seki M, Miura S, Shinozaki K, et al. Organization and expression of two Arabidopsis DREB2 genes encoding DRE-binding proteins involved in dehydration- and high-salinity-responsive gene expression. Plant Mol Biol 2000; 42(4): 657–65. doi: 10.1023/a:1006321900483
  93. Ding Z, Li S, An X, Liu X, Qin H, Wang D. Transgenic expression of MYB15 confers enhanced sensitivity to abscisic acid and improved drought tolerance in Arabidopsis thaliana. J Genet Genom 2009; 36(1): 17–29. doi: 10.1016/S1673-8527(09)60003-5
  94. Yong HC, Sun JS, Kim BG, Pandey GK, Cho JS, Kim KN, et al. Constitutive overexpression of the calcium sensor CBL5 confers osmotic or drought stress tolerance in Arabidopsis. Mol Cells 2010; 29(2): 159–65. doi: 10.1007/s10059-010-0025-z
  95. Huang LJ, Cheng GX, Khan A, Wei AM, Yu QH, Yang SB, et al. CaHSP16.4, a small heat shock protein gene in pepper, is involved in heat and drought tolerance. Protoplasma 2019; 256(1): 39–51. doi: 10.1007/s00709-018-1280-7
  96. Chen Q, Yang G. Signal function studies of ROS, especially RBOH-dependent ROS, in plant growth, development and environmental stress. J Plant Growth Regul 2019; 39(1): 157–71. doi: 10.1007/s00344-019-09971-4
  97. Zhang M, Smith JA, Harberd NP, Jiang C. The regulatory roles of ethylene and reactive oxygen species (ROS) in plant salt stress responses. Plant Mol Biol 2016; 91(6): 651–9. doi: 10.1007/s11103-016-0488-1
  98. Baxter A, Mittler R, Suzuki N. ROS as key players in plant stress signalling. J Exp Bot 2014; 65(5): 1229–40. doi: 10.1093/jxb/ert375