ORIGINAL ARTICLE

DHA-rich n-3 PUFAs intake from the early- and mid-pregnancy decreases the weight gain by affecting the DNA methylation status among Chinese Han infants

Ping Li1, Xiaoyu Chen1, Yuhui Chen1,2, Tianyi Teng1, Xiuqin Fan1, Tiantian Tang1, Rui Wang1, Yurong Zhao2* and Kemin Qi1*

1Laboratory of Nutrition and Development, Key Laboratory of Major Disease in Children, Ministry of Education, Beijing Pediatric Research Institute, Beijing Children’s Hospital, Capital Medical University, National Center for Children’s Health, Beijing, China; 2Department of Obstetrics and Gynecology, Fuxing Hospital, Capital Medical University, Beijing, China

Popular scientific summary

Abstract

Background: Maternal exogenous docosahexaenoic acid (DHA)-rich n-3 polyunsaturated fatty acids (PUFAs) intake during the pregnancy, especially DHA, has inconsistent effects on reducing the fat storage of the infants in different clinical studies.

Objectives: We sought to determine the effects of maternal exogenous DHA-rich n-3 PUFAs capsule intake from the different pregnancy periods on the weight gain of their infants through modifying the DNA methylation status of obesity-associated genes in the umbilical cord blood.

Design: A prospective 3-year follow-up study after the pregnancy was enrolled in this cohort from May to October 2016. They were divided into different groups according to the initial time of exogenous DHA capsule intake through the questionnaires (S1 – early trimester, S2 – mid-trimester, S3 – late trimester, and control – without). The concentrations and compositions of DHA were determined by gas chromatography. We applied quantitative DNA methylation states of the obesity-associated genes in the umbilical cord blood. The growth outcomes and relevant Z-scores were recorded at birth and 1 and 2 years. The correlations between DNA methylation status of the obesity-associated genes with the consents of DNA and body mass index (BMI) values were investigated as the measures.

Results: In total, 205 pregnant women and their infants were eligible for this follow-up study. The concentrations and compositions of DHA in the colostrum and umbilical cord blood were higher in the S1 and S2 groups than those in the control and S3 groups as well as the decreased weight, BMI, weight for age Z-score (WAZ) and BMI for age Z-score (BMI Z) at birth and 1 and/or 2 years, and higher levels of global DNA methylation and many CpG sites in the obesity-associated genes, such as CpG2, CpG9, CpG11, and CpG16 of PPAR-γ; CpG2,3, CpG4-6, CpG8, CpG9,10, CpG11, CpG15,16, and average of CCAAT/enhancer binding protein α (C/EBP-α); CpG1 and average of adiponectin; CpG1, CpG2, CpG3, CpG5, CpG6, CpG7, and average of insulin-like growth factor 2 (IGF-2); CpG6, CpG7, CpG9, CpG16, CpG23, and CpG24 of leptin, which were more obvious in the S1 group when compared with those in the S2 group. These above hypermethylation levels of CpG sites were negatively correlated with the BMI and positively related with the changes of DHA in the colostrum and umbilical cord blood.

Conclusions: Maternal exogenous DHA-rich n-3 PUFAs intake from early- and mid- trimesters of the pregnancy may avoid the development of obesity among Chinese Han infants until 2 years by modulating DNA methylation states of obesity-associated genes, which could provide attractive targets for prenatal prevention of the metabolic disorders.

Keywords: docosahexaenoic acid; n-3 polyunsaturated fatty acids; pregnancy; body mass index; methylation; obesity-associated genes

 

Citation: Food & Nutrition Research 2021, 65: 7548 - http://dx.doi.org/10.29219/fnr.v65.7548

Copyright: © 2021 Ping Li et al. This is an Open Access article distributed under the terms of the Creative Commons Attribution 4.0 International License (http://creativecommons.org/licenses/by/4.0/), allowing third parties to copy and redistribute the material in any medium or format and to remix, transform, and build upon the material for any purpose, even commercially, provided the original work is properly cited and states its license.

Received: 3 March 2021; Revised: 23 May 2021; Accepted: 3 June 2021; Published: 7 October 2021

Competing interests and funding: The authors had not received any funding or benefits from the industry or elsewhere to conduct this study. This work was supported by the Beijing Municipal Natural Science Foundation (P.L., 7174302 and K.Q., S150006) National Key R&D Program of China (K.Q., 2016YFC1305201) and Beijing Xicheng District Talent Project “top team” (Y.Z., 202048).

*Yurong Zhao, Department of Obstetrics and Gynecology, Fuxing Hospital, Capital Medical University, No. 20 Fu-xing-men-wai Street, 100038 Beijing, China. Email: zhaoyurong72@163.com;

Kemin Qi, Laboratory of Nutrition and Development, Key Laboratory of Major Disease in Children, Ministry of Education, Beijing Pediatric Research Institute, Beijing Children’s Hospital, Capital Medical University, National Center for Children’s Health, No. 56 Nan-li-shi Road, 100045 Beijing, China. Email: qikemin@bch.com.cn

To access the supplementary material, please visit the article landing page

These authors contributed equally to this manuscript.

 

The increasing prevalence of overweight and obesity has become a worldwide health issue in the adults as well as the children and adolescents (1, 2), which results in an urgent need for the effective intervention strategies. Recently, compelling epidemiological and animal data have confirmed that maternal inappropriate nutrients exposure during the pregnancy and lactation can permanently affect the occurrence of overweight and obesity in the early infancy and even the adulthood of their offspring (35). These above findings suggest that rational nutrients supplementation in this trimester is more effective on the prevention and reduction of obesity than much more interventions in the later life (6). So recently, there are growing interests in the appropriate nutrients supplementation during the perinatal stage to improve the metabolic health outcomes (7, 8). n-3 polyunsaturated fatty acids (n-3 PUFAs), especially docosahexaenoic acid (DHA), are easily deficient for its limited endogenous synthesis (9, 10) and relatively few exogenous sources that are only in deep-sea fish, breast milk, and other exogenous DHA capsules. Therefore, maternal adequate intake of DHA is of utmost significant for their fetal growth and development (11, 12). However, these benefits on the body fat mass of their infants have produced mixed results for the existing references from different maternal DHA supplementation time, dose, race, statistical power, and the absence of appropriately sensitive measures of body compositions (7, 13). In this condition, it is still necessary to explore the effects of maternal DHA intake on the weight gain of their infants using the birth cohort in China by adjusting the confounding factors.

Recently, it has been proved that DHA can play its biological roles on the lipid metabolism, inflammation, neural development, etc. by regulating the gene expressions through the epigenetic mechanisms, which particularly affects the DNA methylation in the CpG island of the promoter region as the methyl donor by affecting the one-carbon metabolism (1416). As we all know, many animal and vitro cell experiments have shown that the occurrence of obesity is often accompanied by the changes of epigenetic modification in the adipocyte proliferation and differentiation-related genes, including the leptin, insulin-like growth factor 2 (IGF-2), peroxisome proliferator activated receptor γ (PPARγ), C/EBP-α, and adiponectin (17). Some studies have reported that the hypomethylation or hypermethylation of the whole genome and obesity associated genes have been related to the occurrence of obesity. The direction of these changes are not consistent, and both global hypomethylation and global hypermethylation have been related to the obesity-related measures (1820). At present, the latest studies have found that the epigenetic regulations, especially the DNA methylation, play an important role on the expressions of many printed genes by the mechanism of maternal nutritional status such as the choline, betaine, methionine, or folate, with the involvement of riboflavin and vitamins B6 and B12 (21). Ho-Sun et al. also proved that maternal n-3 PUFAs supplementation during the pregnancy might modulate the Th1/Th2 balance in the infants through the epigenetic mechanisms (22). Thus, if found, it is still unclear whether maternal DHA supplementation can also affect the weight gain of their infants by affecting the expressions of the adipose proliferation and differentiation-related genes through the epigenetics. Totally, in this current study, the objective was to evaluate the effects of maternal DHA supplementation at the different pregnancy periods on the weight gain of their infants and discuss their correlations with DNA methylation status of the whole genome and obesity-associated genes in the umbilical cord blood.

Materials and methods

Study design and participants

This study was based on a birth cohort with maternal exogenous DHA capsule intake during the different trimesters of pregnancy in Beijing, China. Briefly, 205 healthy mother–child pairs were recruited in this study before 12 weeks of gestation at Fuxing Hospital affiliated to Capital Medical University from May to October 2016 by marking on their health files according to the stringent inclusion and exclusion criteria. Specifically, the eligible women were healthy at 20–40 years old without smoking history in the gestation weeks of 6–12 among a Chinese Han population, and they intended to deliver in this hospital and promised to stay with their communities for the next 2 years. The exclusion criteria included the individuals with gestational hypertension, hypothyroidism, diabetes, heart diseases, hepatitis, cirrhosis, severe fatty liver, nephritis, severe anemia, leukemia, malignant tumor of immune system, hemorrhagic diseases, and medical history of antibiotics and thyroxine-related drugs usage during the pregnancy. While those without colostrum after the delivery and the infant with birth defects, genetic metabolic diseases, ischemia, and hypoxia during the delivery were excluded from this study. Besides, these subjects who were intermittently given exogenous DHA capsule intake during the pregnancy were also rejected. Each participant must provide the written informed consents and receive no financial compensation before this study.

All subjects were divided into four groups at birth and then followed up to 2-year-old according to the maternal initial exogenous DHA capsule intake by dietary questionnaire surveys (Supplementary Fig. 1), which were included maternal exogenous DHA capsule intake groups from early (0–12 weeks, S1 group), mid (13–27 weeks, S2 group), and late trimesters of the pregnancy (>27 weeks, S3 group), and non-exogenous DHA capsule intake group during the whole pregnancy (control group). The participant flow chart was also shown in Fig. 1 for details. All experimental protocols were approved by the Committee on the Ethics of Beijing Pediatric Research Institute, Beijing Children’s Hospital. The study protocol was also declared to National Commission for Information Technology and civil Liberties and registered on the Clinical Trials.gov (No: ChiCTR-OCH-14004900).

Fig 1
Fig. 1. The participant flow chart of this study.

Basic information of the subjects

The dietary and basic questionnaires were chosen to collect the self-reported information from the subjects at the last week of the early (12 weeks), mid (27 weeks), and late trimesters of the pregnancy (at birth). In these periods, there were two main sources of maternal exogenous DHA, in which one was from the dietary and the other was from the DHA capsules. In order to obtain these data, the semiquantitative food frequency questionnaires were used to evaluate the contents of dietary DHA during the pregnancy. Exactly, the respondents were asked how often they consumed the specified amount of food mainly deep-sea fish (yellow croaker, codfish, trichiurus haumela, sardine, sockeye salmon, tynny, saury, muraenesox, cinereus, and braised flatfish head) and various oils on average, in which nine possible frequency categories ranged from never/almost never to ≥6 times per week. Then, the average dietary DHA intake during the pregnancy was calculated from the questionnaire by multiplying the weight proportional to the intake frequency using the SY-2 Nutrition Analysis Software, which was updated and calibrated by the engineers every year. Besides, it has been used in Fuxing Hospital for a long time among the outpatients and inpatients to ensure its accuracy. Then, the open-ended questions were written for the usual time, brand, dose, and the type of exogenous DHA capsules, which were calculated the contents of DHA according to the instructions. Therefore, the daily intake of DHA was the sum from the maternal exogenous dietary DHA and DHA capsule intake.

The basic questionnaires of the subjects were completed by the obstetrician after the delivery, which mainly included the maternal age, height, pre-pregnancy weight, pre-pregnancy body mass index (BMI), weight before delivery, BMI before delivery, weight gain, BMI gain, gestational age, mode of delivery, personal medical history, and medicine usage during the pregnancy. Then, the sex, weight, length, BMI, and relevant Z-scores of the infants were recorded and calculated by the pediatrician, and these growth outcomes were also followed up to 2 years by the Chinese child health website.

Sample collection

The umbilical cord blood samples of all subjects were collected by the venipuncture cord vessels after they had been clamped and placed in a 1.5 mL eppendorf tube. Then, the serum samples were separated for the examination of the fatty acid profiles, while the blood cells were chosen to isolate the whole DNA. 2–5 mL colostrum was collected at the third day after the delivery. All the above biological samples were kept at room temperature until delivery to store in the refrigerator at −20°C within 30 min, which were then transported to the laboratory and stored at −80°C refrigerator using the liquid nitrogen.

Examination of the fatty acid profiles

The concentrations and compositions of the fatty acids in the colostrum and umbilical cord blood were determined by the gas chromatography (GC). Specifically, the 2 mL compounds with methanol (Fisher Science, USA) and chloroacetyl (Fluka, Germany) compounds (9:1, vol/vol), 2 μL of butylated hydroxytoluene (BTH, 20 mM, Sigma-Aldrich Chemie GmbH, Germany), and 2 μL of pentadecanoic acid standard (C15:0, 0.15 g/mL ethanol, cat. no. P6125, Sigma-Aldrich Chemie GmbH, Germany) were added to 100 μL umbilical cord blood and/or colostrum. They were heated at 100°C for 1 h. Then, a 5 mL of 6% K2CO3 solution and 200 μL of n-hexane were added to the tube, mixed on a vortex, and centrifuged at 10°C for 15 min at 3,000 r/min. The 150 μL clear n-hexane top layer was transferred to the GC auto sampler vial to analyze the fatty acid profiles using Agilent 6890N GC (The chromatographic column: P/N 19091J-433; HP-5 capillary column was 30 m × 0.32 mm × 0.25 μm), which was equipped with a flame ionization detector (FID) and injector as previously described (23). Under this condition, the pentadecanoic methyl ester was well separated, in which the peak value of each fatty acid was recorded to calculate the concentrations (μg/L) and compositions (%) of the fatty acids in the colostrum and umbilical cord blood by comparing with C15:0 as the internal standard.

DNA extraction, global methylation, and bisulfite conversion

The isolation of DNA from the umbilical cord blood was performed using the genomic DNA extraction kit (cat. no. DP348-03, Tiangen Biotech (Beijing) Co. Ltd., China) according to the protocol. The quantity and quality of the purified DNA were evaluated using NanoDrop 2000C (Thermo Fisher Scientific, CN). Then, a 1 ug of genomic DNA of all samples was used to determine the methylation levels of the whole genome by the genome-wide Methyl-Flash Methylated DNA Quantification Kit (Colorimetric, 96 assays) (cat. no. P-1034-96, Epigentek Co. Ltd, USA) using the ELISA method.

Methylation levels of multiple CpG sites in the obesity-associated genes

The target sequences of the CpG islands in the obesity-associated genes such as PPAR-γ, C/EBP-α, adiponectin, IGF-2, and leptin were obtained using UCSC Genome Browser (https://genome.ucsc.edu/) and GenBank Database (http://www.ncbi.nlm.nih.gov). All meth-primers in this study were designed based on the sequences of target regions (Supplementary Fig. 2) using the EpiDesigner software (www.epidesiger.com) and MethPrimer (http://www.urogene.org/methprimer/). The nucleotides in the genes and spans CpG sites were also shown in Supplementary Table 1.

Then, 500 ng genomic DNA of all samples was bisulphate converted using the EZ DNA Methylation Kit (cat. no. D5002, Zymo Research, Irvine, CA, USA) according to the manufacturer’ instructions. The DNA methylation levels of the CpG sites in the C/EBP-α and adiponectin were quantified by the Matrix-assisted laser desorption ionization time of flight mass spectrometry (MALDI-TOF-MS) of the MassArray system (Sequenom EpiTYPER assay, San Diego, CA) as the previous study from Peking university (24), in which 10% of the parallel samples were randomly selected and tested twice to ensure the accuracy of the results. The methylation levels of leptin, PPAR-γ, and IGF-2 were analyzed using the bisulfite sequencing (BSP) of Sangon Biotech (Shanghai) Co., Ltd and calculated as described by Lewin et al (25). The PCR reaction conditions in the Sangon Biotech (Shanghai) Co., Ltd were as follows: 95°C for 5 min (94°C for 30 sec, 60°C for 30 sec, 72°C for 50 sec) × 35 cycles and 72°C for 8 min.

Statistical analysis

The basic and dietary information of the questionnaires was recorded into the data-set using the double-entry by Epidata 3.1. The statistical analyses were performed using GraphPad Prism 5.0 and SPSS 21.0. The normality was assessed by Kolmogorov–Smirnov-Goodness-of-Fit Test, in which the quantitative data were expressed as mean ± standard deviation and qualitative data were expressed as percentage (%). Then, the comparisons of the continuous and categorical parameters were, respectively, performed using one-way analysis of variance (ANOVA) and Chi-square tests. The Mann–Whitney U non-parametric test was chosen when the data were not normally distributed. Multiple linear regression analysis was conducted to examine the associations between the DNA methylation levels in the whole genome and obesity-associated genes with the concentrations of DHA in the colostrum and umbilical cord blood, and BMI values at birth and 1 and 2 years by adjusting maternal economic status, maternal age, BMI before delivery, gestational age, mode of delivery and sex. The statistical significance was defined as two-sided P-value < 0.05.

Results

Characteristics of study population in this birth cohort

The baseline characteristics of the subjects with maternal different exogenous DHA capsule intake during the pregnancy were shown in Table 1. In total, 205 subjects were recruited at Fuxing Hospital in this study, in which 94 subjects (45.85%) were given exogenous DHA capsule intake, and 111 subjects (control group, 54.15%) were not given exogenous DHA capsule intake during the whole pregnancy. Among the subjects with exogenous DHA capsule intake, 38 (40.42%), 41 (43.62%), and 15 (15.96%) subjects were, respectively, given exogenous DHA capsule intake from the early (S1 group, 7.39 ± 4.69 weeks), mid (S2 group, 19.52 ± 3.16 weeks), and late (S3 group, 30.00 ± 2.50 weeks) trimester of the pregnancy. As shown in Table 1, there were no significant differences in the distributions of age, height, pre-pregnancy weight, pre-pregnancy BMI, weight before delivery, BMI before delivery, gestational age, mode of delivery, sex of the infants, and daily dietary DHA intake among these four groups.

 

Table 1. Characteristics of the subjects in this study
Variables Index Exogenous DHA capsule intake groups(n = 94) Control group (n = 111) P *
S1(n = 38) S2 (n = 41) S3(n = 15)
Age (year) Mean ± SD 32.91 ± 4.28 30.32 ± 3.51 31.00 ± 2.40 30.90 ± 4.11 0.117
Height (cm) Mean ± SD 163.57 ± 4.35 163.57 ± 4.21 163.11 ± 4.32 163.05 ± 4.33 0.937
Pre-pregnancy weight (kg) Mean ± SD 53.77 ± 4.74 56.86 ± 8.08 54.62 ± 7.68 57.13 ± 7.75 0.245
Pre-pregnancy BMI (kg/m2) Mean ± SD 20.11 ± 1.76 21.22 ± 2.58 20.49 ± 2.46 21.47 ± 2.55 0.114
Weight before delivery (kg) Mean ± SD 68.24 ± 7.57 70.95 ± 9.58 67.78 ± 7.14 71.65 ± 8.95 0.308
BMI before delivery (kg/m2) Mean ± SD 25.50 ± 2.59 26.47 ± 2.91 25.46 ± 2.31 26.92 ± 2.76 0.118
Weight gain (kg) Mean ± SD 14.17 ± 4.95 14.05 ± 4.36 13.17 ± 1.98 14.44 ± 4.77 0.880
BMI gain (kg/m2) Mean ± SD 5.38 ± 0.62 5.25 ± 0.57 4.98 ± 0.59 5.45 ± 0.51 0.512
Gestational age (week) Mean ± SD 38.52 ± 2.23 39.20 ± 1.15 39.67 ± 0.81 39.14 ± 1.33 0.181
Mode of delivery (%) Natural delivery 31 (81.58) 33 (80.49) 13 (86.67) 94 (84.68) 0.953
Caesarean 7 (18.42) 8 (19.51) 2 (13.33) 17 (15.32)
Sex of the infants (%) Male 19 (50.00) 19 (46.34) 8 (53.33) 57 (51.35) 0.328
Female 19 (50.00) 22 (53.66) 7 (46.67) 54 (48.65)
Daily DHA intake (mg/day) Food 528.54 ± 57.27 565.25 ± 70.18 510.75 ± 64.20 536.15 ± 59.15 0.954
Supplementary 350.51 ± 40.12 340.50 ± 38.50 381.20 ± 38.08
Gestational weeks of exogenous DHA supplementation Mean ± SD 7.39 ± 4.69 19.52 ± 3.16 30.00 ± 2.50
Note: S1: the subjects were initially given exogenous DHA capsule intake from the early pregnancy (0–12 weeks); S2: the subjects were initially given exogenous DHA capsule intake from the mid-pregnancy (13–27 weeks); S3: the subjects were initially given exogenous DHA capsule intake from the late pregnancy (>27 weeks); control group: the subjects were not given exogenous DHA capsule intake during the whole pregnancy.
*The Chi-square test was used for the categorical variables (mode of delivery and sex of the infants), and one-way analysis of variance (ANOVA) test was used for the other continuous variables.

Quantitative and qualitative analyses of fatty acids in the colostrum and umbilical cord blood

Tables 2 (Supplementary Table 2) and 3 (Supplementary Table 3) demonstrated the concentrations and compositions of fatty acid profiles in the colostrum and umbilical cord blood in detail. Exactly, in the colostrum, the concentrations of total saturated fatty acids (SFAs: C12:0, C16:0, and C18:0), monounsaturated fatty acids (MUFAs: C18:1), n-6 polyunsaturated fatty acids (PUFAs: C22:5n-6), and n-3 PUFAs (C22:6n-3, DHA) were all higher in the S1 group than those in the other three groups, in which the concentration of DHA was also higher in the S2 group than that in the control and S3 groups (P < 0.05). Compared with the control group, three major saturated SFAs (C12:0, C16:0 and C18:0) were increased in a similar manner by 25, 35, and 33% in the S1 group (P < 0.05), respectively, while there were also increased levels of C16:1, C18:1, C18:2n-6, C20:4n-6 (AA), C22:5n-6, and DHA, respectively, by 50, 39, 40, 34, 25, and 162% (P < 0.05). In the S2 group, the initial proportion of DHA was higher by about 76% than those in the control group (P < 0.05). However, there were no significant differences of the fatty acid profiles between the S3 and control groups. Besides, compared with the control group, the compositions of DHA in the S1 and S2 groups were, respectively, increased by 46 and 43% (P < 0.05).

 

Table 2. Effects of exogenous DHA capsule intake during the pregnancy on the compositions of fatty acids in the colostrum (%)
Variables Exogenous DHA capsule intake groups(n = 94) Control group (n = 111) P$
S1(n = 38) S2(n = 41) S3(n = 15)
∑SFAs 39.07 ± 4.01 39.77 ± 3.59 38.99 ± 4.03 40.54 ± 4.15 0.295
C12:0 6.43 ± 2.06 6.99 ± 2.53 6.37 ± 2.76 7.74 ± 3.72 0.174
C14:0 5.25 ± 1.67 5.31 ± 1.72 5.34 ± 1.94 5.26 ± 1.69 0.998
C16:0 22.13 ± 1.75 21.89 ± 1.87 22.29 ± 1.18 22.22 ± 1.86 0.852
C18:0 5.25 ± 0.66 5.57 ± 0.91 4.99 ± 0.95 5.33 ± 0.77 0.143
∑MUFAs 39.10 ± 3.67 38.72 ± 2.79 38.33 ± 5.25 38.41 ± 3.34 0.818
C16:1 2.28 ± 0.61# 2.19 ± 0.57# 2.83 ± 1.17* 2.11 ± 0.58 0.008
C18:1 36.82 ± 3.76 36.53 ± 2.66 34.50 ± 2.81 36.30 ± 3.31 0.197
∑n-6 PUFAs 20.04 ± 3.77 19.62 ± 4.42 20.87 ± 3.92 19.34 ± 3.71 0.584
C18:2n-6 19.01 ± 3.47 18.59 ± 4.44 19.79 ± 4.02 18.35 ± 3.65 0.628
C20:4n-6 0.66 ± 0.16 0.66 ± 0.16 0.69 ± 0.088 0.65 ± 0.15 0.847
C22:5n-6 0.38 ± 0.14 0.39 ± 0.13 0.43 ± 0.15 0.43 ± 0.17 0.603
∑n-3 PUFAs 1.81 ± 0.46 1.89 ± 0.34 1.81 ± 0.36 1.71 ± 0.34 0.153
C18:3n-3 0.26 ± 0.065& 0.31 ± 0.085 0.28 ± 0.067 0.28 ± 0.059 0.037
C20:5n-3 1.15 ± 0.34 1.22 ± 0.27 1.24 ± 0.27 1.23 ± 0.25 0.520
C22:5n-3 0.15 ± 0.036 0.10 ± 0.029 0.11 ± 0.020 0.16 ± 0.037 0.238
C22:6n-3 0.41 ± 0.16*# 0.40 ± 0.16*# 0.29 ± 0.081 0.28 ± 0.088 <0.001
∑n-6/∑n-3 PUFAs 11.66 ± 3.34 10.59 ± 2.78 11.85 ± 3.23 11.54 ± 2.19 0.314
Note: S1: the subjects were initially given exogenous DHA capsule intake from the early pregnancy (0–12 weeks); S2: the subjects were initially given exogenous DHA capsule intake from the mid-pregnancy (13–27 weeks); S3: the subjects were initially given exogenous DHA capsule intake from the late pregnancy (>27 weeks); control group: the subjects were not given exogenous DHA capsule intake during the whole pregnancy.
*Compared with the control group, P < 0.05; #Compared with the S3 group, P < 0.05; &Compared with the S2 group, P < 0.05. $One-way analysis of variance (ANOVA) test was used to determine the compositions of fatty acids among the above four groups in the colostrum.

In the umbilical cord blood, the results were expressed as the concentrations and compositions of the fatty acid profiles in Table 3 (Supplementary Table 3), in which the concentration of DHA was increased to 1.78-fold in the S1 group and 1.44-fold in the S2 group than those in the control group (P < 0.05), while compared with the S3 group, it was increased to 1.66-fold in the S1 group and 1.35-fold in the S2 group (P < 0.05). Compared with the control and S3 groups, the compositions of C18:0, DHA, and C20:4n-6 (AA) were higher in the S1 and/or S2 groups (P < 0.05). Exactly speaking, the composition of C18:0 was significantly increased by 28% in the S1 group and 17% in the S2 group than those in the control group (P < 0.05), while the DHA was strongly increased to 186% in the S1 group and 161% in the S2 group. Compared with the S3 group, C18:0 level was higher by 29% in the S1 group and 18% in the S2 group, while the DHA was strongly increased to 161% in the S1 group and 139% in the S2 group. Besides, as shown in Table 4, there were positive correlations between the concentrations of C12:0, C14:0, C16:0, C18:1, AA, C22:5n-6, and n-3 PUFAs (C18:3n-3, C20:3n-3, and DHA) in the colostrum and those in the umbilical cord blood to some extent (P < 0.05).

 

Table 3. Effects of exogenous DHA capsule intake during the pregnancy on the compositions of fatty acids in the umbilical cord blood (%)
Variables Exogenous DHA capsule intake groups(n = 94) Control group (n = 111) P $
S1(n = 38) S2(n = 41) S3(n = 15)
∑SFAs 53.59 ± 7.50 54.88 ± 9.02 53.65 ± 8.99 54.35 ± 8.08 0.989
C12:0 16.04 ± 7.43 19.73 ± 8.76 22.27 ± 8.90 22.72 ± 7.50 0.505
C14:0 0.79 ± 0.16 0.82 ± 0.11 0.75 ± 0.087 0.81 ± 0.26 0.916
C16:0 23.47 ± 1.81 22.29 ± 3.91 20.33 ± 3.89 20.52 ± 2.11 0.107
C18:0 13.29 ± 1.20*# 12.04 ± 3.03*# 10.30 ± 2.50 10.31 ± 2. 43 0.004
∑MUFAs 3.70 ± 0.58 3.58 ± 0.59 3.50 ± 0.59 3.32 ± 1.22 0.699
C16:1 1.56 ± 0.35 1.56 ± 0.34 1.54 ± 0.26 1.78 ± 0.54 0.743
C18:1 2.14 ± 0.26 2.01 ± 0.31 1.96 ± 0.37 1.99 ± 0.41 0.690
∑n-6 PUFAs 35.47 ± 5.93 34.58 ± 7.01 35.62 ± 7.39 35.49 ± 8.76 0.990
C18:2n-6 33.65 ± 5.16 33.26 ± 6.87 33.91 ± 6.69 34.40 ± 8.66 0.979
C20:4n-6 1.29 ± 0.23* 1.05 ± 0.29 1.22 ± 0.46 0.92 ± 0.39 0.011
C22:5n-6 0.63 ± 0.18 0.54 ± 0.15 0.60 ± 0.092 0.62 ± 0.24 0.846
∑n-3 PUFAs 7.25 ± 1.58 6.97 ± 1.65 7.23 ± 1.46 6.85 ± 1.30 0.932
C18:3n-3 0.43 ± 0.069 0.39 ± 0.065 0.39 ± 0.053 0.41 ± 0.061 0.614
C20:5n-3 6.11 ± 1.58 6.14 ± 1.55 6.23 ± 1.28 6.08 ± 1.25 0.996
C22:6n-3 0.71 ± 0.34*# 0.61 ± 0.21*# 0.44 ± 0.21 0.38 ± 0.24 0.005
∑n-6/∑n-3 PUFAs 4.97 ± 0.65 5.01 ± 0.44 4.97 ± 0.66 5.41 ± 1.15 0.420
Note: S1: the subjects were initially given exogenous DHA capsule intake from the early pregnancy (0–12 weeks); S2: the subjects were initially given exogenous DHA capsule intake from the mid-pregnancy (13–27 weeks); S3: the subjects were initially given exogenous DHA capsule intake from the late pregnancy (>27 weeks); control group: the subjects were not given exogenous DHA capsule intake during the whole pregnancy.
*Compared with the control group, P < 0.05; #Compared with the S3 group, P < 0.05; $One-way analysis of variance (ANOVA) test was used to determine the compositions of fatty acids among the above four groups in the umbilical cord blood.

 

Table 4. Correlations between the concentrations of fatty acids in the colostrum and umbilical cord blood
Variables Correlation coefficient (r) β P
∑SFAs 0.274 0.382 0.134
 C12:0 0.474 0.211 0.001
 C14:0 0.339 0.007 0.041
 C16:0 0.372 0.207 0. 037
 C18:0 0.015 0.121 0.930
∑MUFAs 0.050 0.036 0.767
 C16:1 0.061 0.016 0.717
 C18:1 0.428 0.022 0.019
∑n-6 PUFAs 0.210 0.374 0.552
 C18:2n-6 0.111 0.359 0.509
 C20:4n-6 0.430 0.010 0.016
 C22:5n-6 0.414 0.008 0.023
∑n-3 PUFAs 0.411 0.075 0.026
 C18:3n-3 0.403 0.004 0.023
 C20:5n-3 0.536 0.066 <0.001
 C22:6n-3 0.435 0.005 0.015

Effects of maternal different exogenous DHA capsule intake on the anthropometric outcomes of the infants

To be exact in Table 5, body weight and weight for age Z-score (WAZ) were lower in the S1 group than those in the control group at birth and 1 year, while they were not significantly different between the S1 and control groups at 2 years. The increments of weight at 1 or 2 years were not significantly different among these four groups. BMI, BMI Z-score, and the increments of BMI in the S1 group were lower than those in the control and/or S3 groups at birth and 1 and 2 years, which were also significantly different between the S2 and control groups at birth.

 

Table 5. Baseline characteristics of the infants in different exogenous DHA capsule intake groups during the pregnancy
Variables Exogenous DHA capsule intake groups (n = 94) Control group (n = 111) P $
S1(n = 38) S2(n = 41) S3(n = 15)
Birth
 Height (cm) 49.03 ± 2.48 49.16 ± 1.91 49.28 ± 2.21 49.61 ± 1.47 0.509
Weight (kg) 3.19 ± 0.51* 3.21 ± 0.45* 3.33 ± 0.42 3.40 ± 0.33 0.049
BMI (kg/m2) 13.17 ± 1.25* 13.19 ± 1.20* 13.69 ± 1.02 13.77 ± 1.01 0.042
 LAZ −0.53 ± 0.57 −0.38 ± 0.42 −0.25 ± 0.18 0.12 ± 0.19 0.509
WAZ 0.11 ± 0.19* 0.08 ± 0.16* 0.15 ± 0.13 0.26 ± 0.073 0.047
BMI Z 0.16 ± 0.22* 0.13 ± 0.19* 0.28 ± 0.28 0.35 ± 0.10 0.041
One year
 Height (cm) 77.24 ± 2.28 76.14 ± 2.98 76.83 ± 1.94 76.18 ± 2.80 0.376
Weight (kg) 10.04 ± 1.21*# 10.60 ± 1.25 10.88 ± 1.14 10.81 ± 0.89 0.026
BMI (kg/m2) 16.83 ± 1.84*&# 18.28 ± 1.82 18.44 ± 1.78 18.63 ± 1.29 0.009
 LAZ 0.98 ± 0.91 0.54 ± 0.39 0.81 ± 0.47 0.56 ± 0.38 0.376
WAZ 0.17 ± 0.16*&# 1.12 ± 1.04 1.37 ± 0.95 1.30 ± 0.75 0.004
BMI Z 0.022 ± 0.014*&# 1.24 ± 1.34 1.27 ± 0.95 1.50 ± 0.95 <0.001
 Increment of height (cm) 28.22 ± 2.95 26.99 ± 3.71 27.56 ± 2.89 26.57 ± 3.26 0.211
 Increment of weight (kg) 6.86 ± 0.98 7.40 ± 1.35 7.56 ± 0.98 7.41 ± 0.96 0.138
Increment of BMI (kg/m2) 3.67 ± 1.90*& 5.09 ± 2.26 4.75 ± 1.75 4.85 ± 1.68 0.028
Two years
 Height (cm) 89.65 ± 3.08 87.92 ± 3.15 89.23 ± 2.95 88.97 ± 3.44 0.320
 Weight (kg) 12.16 ± 1.45 12.82 ± 1.53 13.39 ± 1.20 12.93 ± 1.45 0.092
BMI (kg/m2) 15.09 ± 1.47*&# 16.57 ± 1.69 16.83 ± 1.38 16.32 ± 1.49 0.002
 LAZ 0.83 ± 0.49 0.26 ± 0.15 0.68 ± 0.45 0.61 ± 0.58 0.320
 WAZ 0.23 ± 0.12 0.74 ± 0.18 1.19 ± 0.92 0.83 ± 0.35 0.092
BMI Z 0.46 ± 1.13*&# 0.67 ± 1.28 0.86 ± 1.06 0.48 ± 1.14 0.002
 Increment of height (cm) 40.63 ± 3.67 38.76 ± 3.81 39.94 ± 3.95 39.36 ± 3.59 0.336
 Increment of weight (kg) 8.96 ± 1.37 9.61 ± 1.60 10.05 ± 1.11 9.53 ± 1.47 0.210
Increment of BMI (kg/m2) 1.93 ± 1.72# 2.37 ± 1.92 3.14 ± 1.37 2.55 ± 1.78 0.035
Note: S1: the subjects were initially given exogenous DHA capsule intake from the early pregnancy (0–12 weeks); S2: the subjects were initially given exogenous DHA capsule intake from the mid-pregnancy (13–27 weeks); S3: the subjects were initially given exogenous DHA capsule intake from the late pregnancy (>27 weeks); control group: the subjects were not given exogenous DHA capsule intake during the whole pregnancy.
*Compared with the control group, P < 0.05; #Compared with the S3 group, P < 0.05; &Compared with the S2 group, P < 0.05. $One-way analysis of variance (ANOVA) test was used to determine the differences of the variables among the above four groups.

Modulation of DNA methylation in the global genome and obesity-associated genes by maternal exogenous DHA capsule intake during the pregnancy

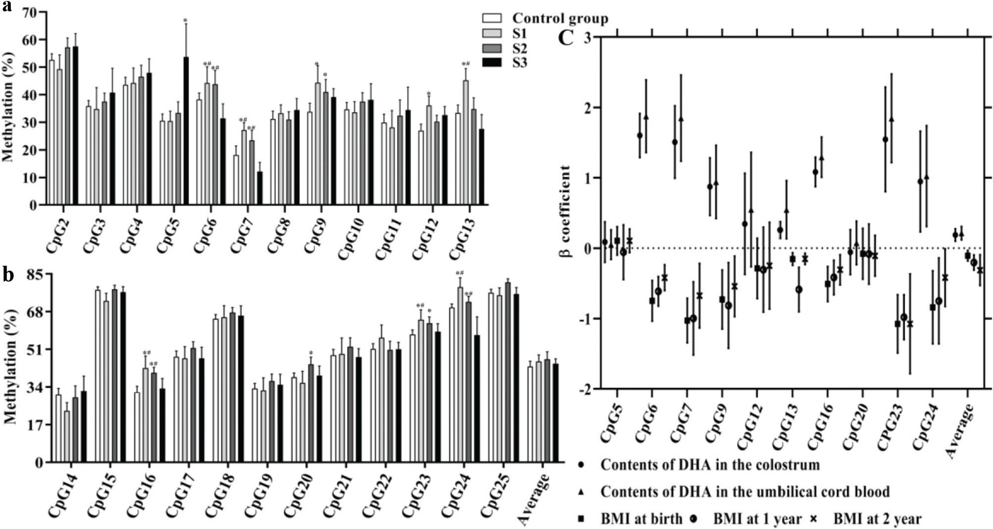
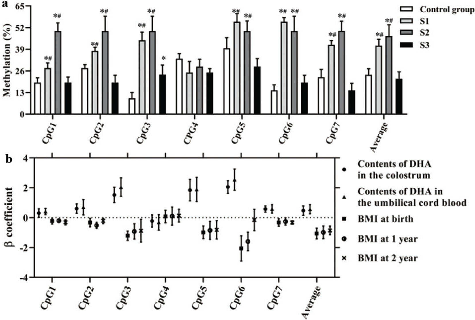
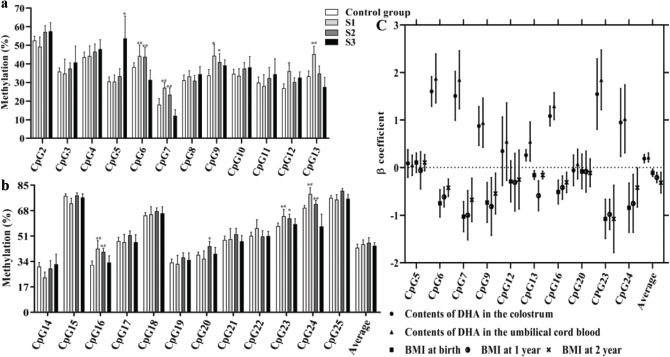
To examine whether maternal exogenous DHA capsule intake could modulate DNA methylation states of the whole genome and obesity-associated genes in the umbilical cord blood. As shown in Fig. 2, the levels of global DNA methylation were higher in the S1 and S2 groups as compared with the control group, while it was not significantly different between the control and S3 groups. The methylation levels of the CpG sites in the obesity-associated genes such as PPAR-γ, C/EBP-α, adiponectin, IGF-2, and leptin were slightly higher in the S1 and/or S2 groups (CpG2, CpG9, CpG11, and CpG16 of PPAR-γ in the S1 and S2 groups; CpG8, CpG12, and CpG 15 of PPAR-γ only in the S1 group; CpG2,3, CpG4–6, CpG8, CpG9,10, CpG11, CpG15,16, and average of C/EBP-α in the S1 and S2 groups; CpG1 and average of adiponectin; CpG1, CpG2, CpG3, CpG5, CpG6, CpG7, and average of IGF-2 in the S1 and S2 groups; CpG6, CpG7, CpG9, CpG16, CpG23, and CpG24 of leptin in the S1 and S2 groups; and CpG13 only in the S1 group) than those in the control and/or S3 groups. There were no significant evidence on the methylation levels of the CpG sites in the obesity-associated genes in the S3 group than those in the control group.

Fig 2
Fig. 2. Global DNA methylation and its correlations with the concentrations of DHA and BMI values at birth, 1 and 2 years. (a) The global DNA methylation in different groups was measured by Elisa method using the MethylFlash Methylated DNA Quantification Kit (Colorimetric, 96 assays). (b) β-Coefficients and 95% CIs from the regression models between the global methylation with the concentrations of DHA and BMI values at birth and 1 and 2 years. S1: the subjects were initially given exogenous DHA capsule intake from the early pregnancy (0–12 weeks); S2: the subjects were initially given exogenous DHA capsule intake from the mid-pregnancy (13–27 weeks); S3: the subjects were initially given exogenous DHA capsule intake from the late pregnancy (>27 weeks); control group: the subjects were not given exogenous DHA capsule intake during the whole pregnancy. *Compared with the control group, P < 0.05; #Compared with the S3 group, P < 0.05; &Compared with the S2 group, P < 0.05.

Correlations between the methylation levels of the CpG sites in the global genome and obesity-associated genes and the contents of DHA and BMI values

The earlier results for the methylation levels of some CpG sites in the global genome and obesity-associated genes demonstrated that there were significant differences among the four groups with maternal different exogenous DHA capsule intake. Their correlations with the concentrations of DHA, and BMI at birth and 1 and 2 years were further analyzed using the multiple linear regression models. Then, we conducted the univariate regression analysis between the methylation levels of CpG sites and multiple factors, including maternal age, BMI before delivery, gestational age, mode of delivery, and sex of the infants.

As shown in Figs. 27, positive correlations were observed between the methylation levels of many CpG sites in the obesity-related genes with the concentrations of DHA in the colostrum and umbilical cord blood, while reverse correlations were shown between these hypermethylation with the BMI at birth and 1 and/or 2 years (global methylation; CpG2, CpG9, CpG11, CpG12, CpG15, and CpG16 of PPAR-γ; CpG2,3, CpG4–6, CpG8, CpG9,10, CpG11, CpG15,16, and average of C/EBP-α; CpG1 and average of adiponectin; CpG1, CpG2, CpG3, CpG5, CpG7, and average of IGF-2; CpG6, CpG7, CpG9, CpG13, CpG16, CpG23, CpG24, and average of leptin).

Fig 3
Fig. 3. The methylation levels of CpGs sites in the PPAR-γ and the correlations between the significantly differential CpGs sites and the concentrations of DHA and BMI values at birth, 1 and 2 years. (a) The methylation levels of CpGs sites in the PPAR-γ in different groups; (b) β-coefficients and 95% CIs from the regression models between the significantly differential CpGs sites and the concentrations of DHA and BMI values at birth and 1 and 2 years. S1: the subjects were initially given exogenous DHA capsule intake from the early pregnancy (0–12 weeks); S2: the subjects were initially given exogenous DHA capsule intake from the mid-pregnancy (13–27 weeks); S3: the subjects were initially given exogenous DHA capsule intake from the late pregnancy (>27 weeks); control group: the subjects were not given exogenous DHA capsule intake during the whole pregnancy. *Compared with the control group, P < 0.05; #Compared with the S3 group, P < 0.05.

Fig 4
Fig. 4. The methylation levels of CpGs sites in the C/EBP-ɑ and the correlations between the significantly differential CpGs sites and the concentrations of DHA and BMI values at birth, 1 and 2 years. (a) The methylation levels of CpGs sites in the C/EBP-α in different groups; (b) β-coefficients and 95% CIs from the regression models between the significantly differential CpGs sites and the concentrations of DHA and BMI values at birth and 1 and 2 years. S1: the subjects were initially given exogenous DHA capsule intake from the early pregnancy (0–12 weeks); S2: the subjects were initially given exogenous DHA capsule intake from the mid-pregnancy (13–27 weeks); S3: the subjects were initially given exogenous DHA capsule intake from the late pregnancy (>27 weeks); control group: the subjects were not given exogenous DHA capsule intake during the whole pregnancy. *Compared with the control group, P < 0.05; #Compared with the S3 group, P < 0.05; &Compared with the S2 group, P < 0.05.

Fig 5
Fig. 5. The methylation levels of CpGs sites in the adiponectin and the correlations between the significantly differential CpGs sites and the concentrations of DHA and BMI values at birth, 1 and 2 years. (a) The methylation levels of CpGs sites in the adiponectin in different groups; (b) β-coefficients and 95% CIs from the regression models between the significantly differential CpGs sites and the concentrations of DHA and BMI values at birth and 1 and 2 years. S1: the subjects were initially given exogenous DHA capsule intake from the early pregnancy (0–12 weeks); S2: the subjects were initially given exogenous DHA capsule intake from the mid-pregnancy (13–27 weeks); S3: the subjects were initially given exogenous DHA capsule intake from the late pregnancy (>27 weeks); control group: the subjects were not given exogenous DHA capsule intake during the whole pregnancy. *Compared with the control group, P < 0.05; #Compared with the S3 group, P < 0.05.

Fig 6
Fig. 6. The methylation levels of CpGs sites in the IGF-2 and the correlations between the significantly differential CpGs sites and the concentrations of DHA and BMI values at birth, 1 and 2 years. (a) The methylation levels of CpGs sites in the IGF-2 in different groups; (b) β-coefficients and 95% CIs from the regression models between the significantly differential CpGs sites and the concentrations of DHA and BMI values at birth and 1 and 2 years. S1: the subjects were initially given exogenous DHA capsule intake from the early pregnancy (0–12 weeks); S2: the subjects were initially given exogenous DHA capsule intake from the mid-pregnancy (13–27 weeks); S3: the subjects were initially given exogenous DHA capsule intake from the late pregnancy (>27 weeks); control group: the subjects were not given exogenous DHA capsule intake during the whole pregnancy. *Compared with the control group, P < 0.05.

Fig 7
Fig. 7. The methylation levels of CpGs sites in the leptin and the correlations between the significantly differential CpGs sites with the concentrations of DHA and BMI values. (a, b) The methylation levels of CpGs sites in the leptin in different groups; (c) β-coefficients and 95% CIs from the regression models between the significantly differential CpGs sites with the concentrations of DHA and BMI values at birth and 1 and 2 years. S1: the subjects were initially given exogenous DHA capsule intake from the early pregnancy (0–12 weeks); S2: the subjects were initially given exogenous DHA capsule intake from the mid-pregnancy (13–27 weeks); S3: the subjects were initially given exogenous DHA capsule intake from the late pregnancy (>27 weeks); control group: the subjects were not given exogenous DHA capsule intake during the whole pregnancy. *Compared with the control group, P < 0.05; #Compared with the S3 group, P < 0.05; &Compared with the S2 group, P < 0.05.

Discussion

DHA, as an essential fatty acid, has a variety of biological functions, which can affect not only fetal brain development but also infant weight by regulating the lipid metabolism and adipocyte differentiation. In this condition, an increased DHA supplementation has been given to discuss its potential means to decrease the fat deposition and improve the metabolic health outcomes among the children. At present, many studies have explored the correlations between the concentrations of DHA and growth outcomes of the infants, which also showed that DHA supplementation in the early life, especially the pregnancy and lactation, could promote the growth and development of the infants (2629). However, these clinical studies have produced mixed results. Maslova had found that higher cord plasma DHA was associated with lower BMI scores, waist circumference, and leptin levels (30). Epidemiological investigations from the United States and Europe also had demonstrated that higher intakes of n-3 PUFAs were associated with the improved developmental outcomes in the offspring (31), while there were still some researches that had proved that maternal DHA-rich fish oil intake during the second half of pregnancy did not affect the growth or body composition of the children at 3 or 5 years old (13). So, it is still very necessary for more rigorous epidemiological investigations to discuss the effects of DHA supplementation on the development of their offspring. Many variables were existed among the pregnancy supplementation studies that could explain the variability in the observed outcomes for a number of methodology limitations, including the lack of statistical power, absence of appropriately sensitive measures of body composition, age of children, different nations, different supplement doses, and initial time of the DHA supplementation. In our study, it was found that body weight, BMI, WAZ, and BMIZ at birth were lower only in the early and/or mid-pregnancy, but not in the late trimester. These growth outcomes were different in the S1 group at 1 and 2 years. However, they were not significantly increases in these four groups either in 1 or 2 years, which proved that appropriate DHA supplementation was the most important for the healthy outcome of the fetus at birth, and this intervention effects might be covered or even eliminated by the other nutritional and environmental factors after birth by controlling these uncertainties, which were layered by initial time of exogenous DHA capsule intake by the special health care doctor for physical examination to follow-up for 2 years among the Chinese Han population.

As we know, the main characterization of obesity is the excess accumulation of white adipose mass, resulting from both the increments of adipocyte cell size and the differentiation of preadipocytes into mature adipocytes, in which de novo generation of fat cells plays the most important role (32). In the process of adipocyte differentiation, it is finely controlled by many key transcription factors of obesity-associated genes, such as PPARγ, C/EBPɑ, IGF-2, adiponectin, and leptin, which all are involved in the lipogenesis, lipolysis, and insulin sensitivity in the development of obesity among the infancy through the cord blood (33, 34). It is well documented that the expressions of the above genes can be regulated by many mechanisms, in the whole genome and specific genes (35, 36). Recently, there were many maternal and early-life nutrients to have profound impact on the metabolic phenotypes in the offspring through regulating the methylation levels of the obesity-associated genes (37), in which growing evidences have suggested that n-3 PUFAs could modulate the remodeling of the epigenetics, which is defined as the heritable changes in DNA and histones without concomitant alterations in the nucleotide sequences (38, 39).

These modifications can affect the gene expressions and phenotype in response to the environmental stimuli through regulating the DNA methylation, histone modifications, non-coding RNAs, and others (40, 41). The alterations in the DNA methylation have recently been reported in response to n-3 PUFAs in vitro, human and rodent models. For example, global DNA methylation is increasing in the placenta of rats that exposed to in utero DHA supplementation (42). This suggested that there was a sustained effect of maternal n-3 PUFAs supplementation on the DNA methylation profiles of their offspring that was similar to the continuous n-3PUFAs supplementation. In the rats, the intake of n-3 LC-PUFAs during the pregnancy was shown to the changes of DNA methylation levels in the fatty acid desaturase promoter of the offspring (43). In other studies, the effect of DHA on the methylation in the placenta via the alteration of one carbon metabolism had been proposed (42, 44). In the adults, the differences in DNA methylation have been identified between the subjects with high and low n-3 PUFA intakes (45). n-3 PUFA supplementation had been shown to induce the changes in the methylation at specific CpG sites (46). Studies have shown that compared with the exposure in the late pregnancy, the impact of early-pregnancy on the epigenome was usually more profound (47, 48). In our study, we discovered that n-3 PUFAs supplementation at the early- and mid-pregnancy could display the marked increased methylation of obesity-related genes; these hypermethylation showed there were reverse correlations with the BMI and positive relationships with the concentrations of DHA in the colostrum and umbilical cord blood, not at the late trimester during the pregnancy. These results earlier suggested that whether prenatal n-3 PUFAs supplementation could modulate the global and obesity-associated genes methylation levels were determined by the replenishment time and cumulative exposure, which was the same as the previous study (30). It also proved that the effects of placenta n-3 PUFAs on the increments of weight in their offspring might been begun in the early embryo from the early- and mid-pregnancy by modulating DNA methylation states in the umbilical cord blood to influence the adipocyte proliferation and differentiation. However, we cannot extend our conclusion to suggest the role of maternal exogenous DHA intake on the later fat deposition in the child or even the adults for its limitation of too small sample size and the lack of data on the gene expression although our results were consistent with the expected protective effects.

Conclusions

Maternal exogenous DHA-rich n-3 PUFAs capsule intake from the early- and mid-trimesters of the pregnancy might avoid the development of obesity among Chinese Han infants until 2 years by modulating DNA methylation states of the obesity-associated genes in the umbilical cord blood, which could provide the attractive targets for the prenatal prevention of metabolic disorders. Nevertheless, to our knowledge, the main limitation of our study was its small sample size, which decreased our power to find significant associations without the stratified analyses by maternal elements during the pregnancy. Therefore, our results need to be confirmed by much larger studies in the future.

Acknowledgments

We express our thanks to Y.H.C. and Y. R.Z. for biological sample collection.

References

  1. Wang YC, McPherson K, Marsh T, Gortmaker SL, Brown M. Health and economic burden of the projected obesity trends in the USA and the UK. Lancet 2011; 378(9793): 815–25. doi: 10.1016/S0140-6736(11)60814-3
  2. Yazdi FT, Clee SM, Meyre D. Obesity genetics in mouse and human: back and forth and back again. Peer J 2015; 3: e856. doi: 10.7717/peerj.856
  3. Marangoni F, Cetin I, Verduci E, Canzone G, Giovannini M, Scollo P, et al. Maternal diet and nutrient requirements in pregnancy and breastfeeding: an Italian consensus document. Nutrients 2016; 8(10): 629. doi: 10.3390/nu8100629
  4. Adair LS. Long-term consequences of nutrition and growth in early childhood and possible preventive interventions. Nestle Nutr Inst Workshop Ser 2014; 78: 111–20. doi: 10.1159/000354949
  5. Berti C, Cetin I, Agostoni C, Desoye G, Devlieger R, Emmett PM, et al. Pregnancy and infants’ outcome: nutritional and metabolic implications. Crit Rev Food Sci Nutr 2016; 56(1): 82–91. doi: 10.1080/10408398.2012.745477
  6. Muhlhausler BS, Gugusheff JR, Ong ZY, Vithayathil MA. Nutritional approaches to breaking the intergenerational cycle of obesity. Can J Physiol Pharmacol 2013; 91(6): 421–8. doi: 10.1139/cjpp-2012-0353
  7. Muhlhausler BS, Gibson RA, Makrides M. Effect of long-chain polyunsaturated fatty acid supplementation during pregnancy or lactation on infant and child body composition: a systematic review. Am J Clin Nutr 2010; 92(4): 857–63. doi: 10.3945/ajcn.2010.29495
  8. Li P, Tang T, Chang X, Fan X, Chen X, Wang R, et al. Abnormality in maternal dietary calcium intake during pregnancy and lactation promotes body weight gain by affecting the gut microbiota in mouse offspring. Mol Nutr Food Res 2019; 63(5): e1800399. doi: 10.1002/mnfr.201800399
  9. Mozaffarian D, Rimm EB. Fish intake contaminants and human health: evaluating the risks and the benefits. JAMA 2006; 296(15): 1885–99. doi: 10.1001/jama.296.15.1885
  10. Nishimura RY, Barbieiri P, de Castro GS, Jordão AA, Jr, Perdoná GdS, Sartorelli DS. Dietary polyunsaturated fatty acid intake during late pregnancy affects fatty acid composition of mature breast milk. Nutrition 2014; 30(6): 685–9. doi: 10.1016/j.nut.2013.11.002
  11. Innis SM, Friesen RW. Essential n-3 fatty acids in pregnant women and early visual acuity maturation in term infants. Am J Clin Nutr 2008; 87(3): 548–57. doi: 10.1093/ajcn/87.3.548
  12. Jiao J, Li Q, Chu J, Zeng W, Yang M, Zhu S. Effect of n-3 PUFA supplementation on cognitive function throughout the life span from infancy to old age: a systematic review and meta-analysis of randomized controlled trials. Am J Clin Nutr 2014; 100(6): 1422–36. doi: 10.3945/ajcn.114.095315
  13. Muhlhausler BS, Yelland LN, McDermott R, Tapsell L, McPhee A, Gibson RA, et al. DHA supplementation during pregnancy does not reduce BMI or body fat mass in children: follow-up of the DHA to Optimize Mother Infant Outcome randomized controlled trial. Am J Clin Nutr 2016; 103(6): 1489–96. doi: 10.3945/ajcn.115.126714
  14. Huang CW, Chien YS, Chen YJ, Ajuwon KM, Mersmann HM, Ding ST. Role of n-3 polyunsaturated fatty acids in ameliorating the obesity-induced metabolic syndrome in animal models and humans. Int J Mol Sci 2016; 17(10): 1689. doi: 10.3390/ijms17101689
  15. Calder PC. Omega-3 fatty acids and inflammatory processes: from molecules to man. Biochem Soc Trans 2017; 45(5): 1105–15. doi: 10.1042/BST20160474
  16. Healy-Stoffel M, Levant B. N-3 (Omega-3) fatty acids: effects on brain dopamine systems and potential role in the etiology and treatment of neuropsychiatric disorders. CNS Neurol Disord Drug Targets 2018; 17(3): 216–32. doi: 10.2174/1871527317666180412153612
  17. Cash HL, McGarvey ST, Houseman EA, Marsit CJ, Hawley NL, Lambert-Messerlian GM, et al. Cardiovascular disease risk factors and DNA methylation at the LINE-1 repeat region in peripheral blood from Samoan Islanders. Epigenetics 2011; 6(10): 1257–64. doi: 10.4161/epi.6.10.17728
  18. Kim M, Long T, Arakawa K, Wang R, Yu MC, Laird PW. DNA methylation as a biomarker for cardiovascular disease risk. PLoS One 2010; 5(3): e9692. doi: 10.1371/journal.pone.0009692
  19. van Dijk SJ, Molloy PL, Varinli H, Morrison JL, Muhlhausler BS, Members of EpiSCOPE. Epigenetics and human obesity. Int J Obes (Lond) 2015; 39(2): 85–97. doi: 10.1038/ijo.2014.34
  20. Wang X, Zhu H, Snieder H, Su S, Munn D, Harshfield G, et al. Obesity related methylation changes in DNA of peripheral blood leukocytes. BMC Med 2010; 8: 87. doi: 10.1186/1741-7015-8-87
  21. Dominguez SP, Cox SE, Prentice AM, Hennig BJ, Moore SE. Maternal nutritional status C(1) metabolism and offspring DNA methylation: a review of current evidence in human subjects. Proc Nutr Soc 2012; 71(1): 154–65. doi: 10.1017/S0029665111003338
  22. Karimi M, Vedin I, Freund Levi Y, Basun H, Faxén Irving G, Eriksdotter M, et al. DHA-rich n-3 fatty acid supplementation decreases DNA methylation in blood leukocytes: the OmegAD study. Am J Clin Nutr 2017; 106(4): 1157–65. doi: 10.3945/ajcn.117.155648
  23. Tian C, Fan C, Liu X, Xu F, Qi K. Brain histological changes in young mice submitted to diets with different ratios of n-6/n-3 polyunsaturated fatty acids during maternal pregnancy and lactation. Clin Nutr 2011; 30(5): 659–67. doi: 10.1016/j.clnu.2011.03.002
  24. Hu G, Li P, Cui X, Li Y, Zhang J, Zhai X, et al. Cr(VI)-induced methylation and down-regulation of DNA repair genes and its association with markers of genetic damage in workers and 16HBE cells. Environ Pollut 2018; 238: 833–43. doi: 10.1016/j.envpol.2018.03.046
  25. Shen W, Wang C, Xia L, Fan C, Dong H, Deckelbaum RJ, et al. Epigenetic modification of the leptin promoter in diet-induced obese mice and the effects of N-3 polyunsaturated fatty acids. Sci Rep 2014; 4: 5282. doi: 10.1038/srep05282
  26. Koletzko B, Agostoni C, Bergmann R, Ritzenthaler K, Shamir R. Physiological aspects of human milk lipids and implications for infant feeding: a workshop report. Acta Paediatr 2011; 100(11): 1405–15. doi: 10.1111/j.1651-2227.2011.02343.x
  27. Koletzko B, Lien E, Agostoni C, Böhles H, Campoy C, Cetin I, et al. The roles of long-chain polyunsaturated fatty acids in pregnancy lactation and infancy: review of current knowledge and consensus recommendations. J Perinat Med 2008; 36(1): 5–14. doi: 10.1515/JPM.2008.001
  28. Arterburn LM, Hall EB, Oken H. Distribution interconversion and dose response of n-3 fatty acids in humans. Am J Clin Nutr 2006; 83(6 Suppl): 1467S–76S. doi: 10.1093/ajcn/83.6.1467S
  29. Brenna JT, Varamini B, Jensen RG, Diersen-Schade DA, Boettcher JA, Arterburn LM. Docosahexaenoic and arachidonic acid concentrations in human breast milk worldwide. Am J Clin Nutr 2007; 85(6): 1457–64. doi: 10.1093/ajcn/85.6.1457
  30. Maslova E, Rifas-Shiman SL, Olsen SF, Gillman MW, Oken E. Prenatal n-3 long-chain fatty acid status and offspring metabolic health in early and mid-childhood: results from Project Viva. Nutr Diabetes 2018; 8(1): 29. doi: 10.1038/s41387-018-0040-2
  31. Hibbeln JR, Davis JM, Steer C, Emmett P, Rogers I, Williams C, et al. Maternal seafood consumption in pregnancy and neurodevelopmental outcomes in childhood: an observational cohort study. Lancet 2007; 369(9561): 578–85. doi: 10.1016/S0140-6736(07)60277-3
  32. Valli V, Heilmann K, Danesi F, Bordoni A, Gerhäuser C. Modulation of adipocyte differentiation and proadipogenic gene expression by sulforaphane genistein and docosahexaenoic acid as a first step to counteract obesity. Oxid Med Cell Longev 2018; 2018: 1617202. doi: 10.1155/2018/1617202
  33. Kadakia R, Josefson J. The relationship of insulin-like growth factor 2 to fetal growth and adiposity. Horm Res Paediatr 2016; 85(2): 75–82. doi: 10.1159/000443500
  34. Zhang DL, Du Q, Djemli A, Julien P, Fraser WD, Luo ZC. Cord blood insulin IGF-I IGF-II leptin adiponectin and ghrelin and their associations with insulin sensitivity β-cell function and adiposity in infancy. Diabet Med 2018; 35(10): 1412–9. doi: 10.1111/dme.13671
  35. Wang X, Cao Q, Yu L, Shi H, Xue B, Shi H. Epigenetic regulation of macrophage polarization and inflammation by DNA methylation in obesity. JCI Insight 2016; 1(19): e87748. doi: 10.1172/jci.insight.87748
  36. Nawathe AR, Christian M, Kim SH, Johnson M, Savvidou MD, Terzidou V. Insulin-like growth factor axis in pregnancies affected by fetal growth disorders. Clin Epigenetics 2016; 8: 11. doi: 10.1186/s13148-016-0178-5
  37. Moseti D, Regassa A, Kim WK. Molecular regulation of adipogenesis and potential anti-adipogenic bioactive molecules. Int J Mol Sci 2016; 17(1): 124. doi: 10.3390/ijms17010124
  38. García-Robles R, Ayala-Ramirez PA, Perdomo-Velásquez SA. Epigenética: definición bases moleculares implicaciones en la salud y en la evolución humana. Rev Ciencias Salud 2012; 10(1): 59–71.
  39. Corella D, Ordovas JM. Basic concepts in molecular biology related to genetics and epigenetics. Rev Esp Cardiol (Engl Ed) 2017; 70(9): 744–53. doi: 10.1016/j.recesp.2017.02.034
  40. Martínez JA, Milagro FI, Claycombe KJ, Schalinske KL. Epigenetics in adipose tissue obesity weight loss and diabetes. Adv Nutr 2014; 5(1): 71–81. doi: 10.3945/an.113.004705
  41. Handy DE, Castro R, Loscalzo J. Epigenetic modifications: basic mechanisms and role in cardiovascular disease. Circulation 2011; 123(19): 2145–56. doi: 10.1161/CIRCULATIONAHA.110.956839
  42. Kulkarni A, Dangat K, Kale A, Sable P, Chavan-Gautam P, Joshi S. Effects of altered maternal folic acid vitamin B12 and docosahexaenoic acid on placental global DNA methylation patterns in Wistar rats. PLoS One 2011; 6(3): e17706. doi: 10.1371/journal.pone.0017706
  43. Burdge GC, Lillycrop KA. Fatty acids and epigenetics. Curr Opin Clin Nutr Metab Care 2014; 17(1): 156–61. doi: 10.1097/MCO.0000000000000023
  44. Meher A, Joshi A, Joshi S. Differential regulation of hepatic transcription factors in the Wistar rat offspring born to dams fed folic acid vitamin B12 deficient diets and supplemented with omega-3 Fatty acids. PLoS One 2014; 9(2): e90209. doi: 10.1371/journal.pone.0090209
  45. Voisin S, Almén MS, Moschonis G, Chrousos GP, Manios Y, Schiöth HB. Dietary fat quality impacts genome-wide DNA methylation patterns in a cross sectional study of Greek preadolescents. Eur J Hum Genet 2014; 23(5): 654–62. doi: 10.1038/ejhg.2014.139
  46. Hoile SP, Clarke HR, Huang RC, Calder PC, Mori TA, Beilin LJ, et al. Supplementation with N-3 long-chain polyunsaturated fatty acids or olive oil in men and women with renal disease induces differential changes in the DNA methylation of FADS2 and ELOVL5 in peripheral blood mononuclear cells. PLoS One 2014; 9(10): e109896. doi: 10.1371/journal.pone.0109896
  47. Dominguez SP, Moore SE, Baker MS, Bergen AW, Cox SE, Dyer RA, et al. Maternal nutrition at conception modulates DNA methylation of human metastable epialleles. Nat Commun 2014; 5: 3746. doi: 10.1038/ncomms4746
  48. Tobi EW, Goeman JJ, Monajemi R, Gu H, Putter H, Zhang Y, et al. DNA methylation signatures link prenatal famine exposure to growth and metabolism. Nat Commun 2014; 5: 5592. doi: 10.1038/ncomms6592