ORIGINAL ARTICLE

Comparative characterization of the gluten and fructan contents of breads from industrial and artisan bakeries: a study of food products in the Spanish market

Miriam Marín-Sanz1, Susana Sánchez-León1, Elena León2 and Francisco Barro1*

1Department of Plant Breeding, Institute of Sustainable Agriculture (IAS), Spanish Council for Scientific Research (CSIC), Córdoba, Spain; 2IES-Fidiana, Córdoba, Spain

Popular scientific summary

Abstract

Background: The consumption of wheat/gluten is associated with adverse reactions for human health. Gluten and fructans are identified as the major compounds triggering and worsening adverse reactions to wheat, which are increasing, and as a consequence, avoidance of gluten/wheat is the common strategy of many individuals of the western population. Although bread is a product of daily consumption, there is a lack of information on the gluten and fructan contents and the influence of artisanal or industrial processes.

Objective: The aim of this study is to carry out a comparative characterization between artisan bakeries and hypermarkets in Spain for gluten and fructan contents in daily sold breads.

Design: A total of 48 types of bread highly consumed in Spain sold in artisan bakeries (long fermentation) and hypermarkets (short fermentations) were selected for comparing the gluten and fructan contents. Methods such as reverse phase-high performance liquid chromatography (RP-HPLC), R5 monoclonal antibody (moAb), and fructans protocols were used for the quantification of these compounds.

Results: Great variation for the content of gluten and fructans has been found between all bread categories. Although breads produced using long fermentation (artisan bakeries) contain significantly lower gluten, they have higher fructans than those using short fermentations (hypermarkets). Durum wheat breads had the lowest content of gluten. Moreover, spelt breads from artisan bakeries had the lowest content of fructans but not those from hypermarkets.

Discussion: In this study, we report the comparative characterizarion of the breads of the Spanish market. These food products presented variation in the amount of gluten and fructans, ligated in most of the cases to the nature of the providers: artisan bakeries against hypermarkets. Depending on the type of bread, the differences for the daily consumption of gluten and fructan can be 4.5 and 20 times, respectively.

Conclusions: We found strong differences for gluten and fructan contents among breads. These information may contribute to designing strategies to improve the management of gluten and fructans in bread.

Keywords: gluten; fructans; wheat; celiac disease; NCWS

 

Citation: Food & Nutrition Research 2022, 66: 8472 - http://dx.doi.org/10.29219/fnr.v66.8472

Copyright: © 2022 Miriam Marín-Sanz et al. This is an Open Access article distributed under the terms of the Creative Commons Attribution 4.0 International License (http://creativecommons.org/licenses/by/4.0/), allowing third parties to copy and redistribute the material in any medium or format and to remix, transform, and build upon the material for any purpose, even commercially, provided the original work is properly cited and states its license.

Received: 21 December 2021; Revised: 6 April 2022; Accepted: 7 April 2022; Published: 10 June 2022

Competing interests and funding: The authors declare no potential conflicts of interest. This research was supported by grant PID2019-110847RB-I00 funded by MCIN/AEI/10.13039/501100011033 and grant P20_01005 funded by Consejería de Transformación Económica, Industria, Conocimiento y Universidades (Junta de Andalucía), and ‘ERDF A way of making Europe’ by the ‘European Union’.

*Francisco Barro, Department of Plant Breeding, Institute of Sustainable Agriculture (IAS), Spanish Council for Scientific Research (CSIC), ES-14004 Córdoba, Spain, Email: fbarro@ias.csic.es

 

Bread is the main staple food in western countries, providing carbohydrates, energy, and proteins for the human diet (1). Although wheat is the basis of bread due to the unique viscoelastic properties of the gluten proteins, other cereals such as rye, barley, or spelt or a mix of them can be used to produce many popular bread types. The consumption of wheat-derived products is also increasing in countries, where it is not climatically adapted, particularly in countries adopting a ‘western lifestyle’.

The consumption of wheat is also associated with three adverse reactions for human health: celiac disease (CD), wheat allergy (WA), and non-celiac wheat sensitivity (NCWS). CD and WA are immunological diseases with known underlying mechanisms. In CD, the response is triggered by human leukocyte antigen (HLA) HLA-DQ2 and HLA-DQ8-presented peptides that are recognized by CD4 T cells (2). WA is an IgE-mediated disease, which includes wheat-dependent exercise-induced anaphylaxis (WDEIA) and Baker’s asthma. For CD, gluten proteins play a major role, and the gliadin fraction of gluten contains the most important epitopes triggering the immunogenic response (3). In contrast, the cause and mechanisms of NCWS are still unclear. Although gluten was initially thought to be the causative agent of the disease, subsequent studies have shown a predominant role of FODMAPs (fermentable oligosaccharides, disaccharides, monosaccharides, and polyols) (4, 5), particularly fructans, which are hydrolyzed partially in the intestine causing symptoms as bloating and abdominal pain (5), and α-amylase/trypsin inhibitors (ATIs) (6).

In western countries, the mean frequency of CD is about 1% with a range of variation depending on the region. In contrast, the prevalence of NCWS is still unknown due to cases of self-diagnoses and the lack of standardized diagnostic criteria or biomarkers, but it is estimated to be 5–10 times higher than that of CD and WA (7). Evidences support that CD has increased in recent years, both in Europe and in the United States (8), and in addition to wider use of the serological test for screening CD (8), other contributing factors have been proposed: the increasing of nitrogen (N) fertilization in the last five decades for cereal crops that have been correlated with the increment of immunogenic gliadins of wheat (9); the breeding and expansion of wheat varieties, with enhanced breadmaking quality but may harbor highly immunogenic peptides (10); or the expansion of industrial baking techniques with short fermentation times that minimize proteolytic process, leading to highly immunogenic-undigested peptides (11).

As a consequence of the increase in wheat-related pathologies, avoidance of gluten/wheat is the common strategy of many individuals of the western population. This leads to a loss of confidence in one of our most important staple foods, bread, which might jeopardize the agriculture and bakery industries and further be detrimental toward a high-fiber diet. In addition, following a gluten-free diet (GFD) can suppose a nutritional imbalance (12).

For artisan bakeries, to produce traditional bread, fermenting the sourdough at a very low temperature for a long time is essential (13), while the industrial process uses dried sourdoughs as a convenient ingredient in bakery premixes (14) and short fermentation time. In addition, the consumption of industrial and artisan bread varies greatly depending on the region and country. In Spain, 19% of the bread production is represented by the industrial sector, while in the United Kingdom, it is 80% (14). Sourdough fermentation has been suggested to provide low gluten wheat-based products through proteolytic degradation of wheat grain proteins (15), and also to reduce the fructan content of bread (16). Although the consumption of bread is inevitably associated with the intake of compounds related to these pathologies, there is a concern among consumers that they are consuming excessive amounts of immunogenic compounds. In this work, we have compared the immunogenic potential of different types of bread, daily consumed in Spain, provided by artisan bakeries and hypermarkets. This knowledge will contribute to designing strategies to better manage the content of gluten and fructans in bread, either using plant breeding, developing hypoallergenic varieties, or from the baking processes, gaining insight into which processes favor the degradation of these compounds without penalising quality.

Materials and methods

Breads were obtained from hypermarkets and artisan bakeries located in Córdoba, Sevilla, Madrid, Barcelona, and Zaragoza. All breads from artisan bakeries were made using sourdough and long fermentation process (minimum of 12 h fermentation), while breads from hypermarkets do not use of sourdough and long fermentation process.

For each piece of bread, four slices were cut, weighted, and lyophilized for calculating the relative moisture of their respective breads. The slices of every bread were grinded in a cyclone mill together.

Total protein and starch content of breads

The protein content of the bread was determined using the Dumas (%N × 6.25) method, while the starch content was determined according to the polarimetric method by Eurofins (Eurofins Análisis Alimentario SL, Madrid, Spain, www.eurofins.es). The total content of protein and starch per bread sample was expressed on dry weight (DW).

Total prolamin extraction and quantification by reverse phase-high performance liquid chromatography

Extraction of prolamins

Total prolamin was extracted in quintuplicate from each bread using the glutenin extraction protocol as described in Pistón et al. (17). Briefly, total prolamin was extracted from the insoluble pellet stepwise three times with 670 μL of glutenin extraction buffer C1 (50% [v/v] 1-propanol, 2 M urea, 0.05 M Tris–HCl [pH 7.5], and 2% [w/v] dithiothreitol (DTT)), vortexing for 1 min at room temperature (RT), and incubation for 30 min at 60°C in an orbital shaker. Then, samples were centrifuged for 15 min at 6,000 × g at 24°C, and supernatants collected and mixed in a single tube.

For gliadin and glutenin extraction of T80 spelt flour, we used buffer B1 and C1, respectively. Gliadins were extracted stepwise three times in buffer B1, 670 μL of 60% (v/v) ethanol. After centrifugation, the supernatants were collected and mixed together. This fraction was resuspended in C1 buffer for reverse phase-high performance liquid chromatography (RP-HPLC) quantification. The insoluble pellet was used for glutenin extraction as described previously for total prolamins.

Quantification of prolamins by RP-HPLC

Prior to RP-HPLC, a 700 μL of protein extracts was centrifuged through a 0.45 µm pore Corning® Costar® Spin-X nylon filter. Volumes of prolamin extracts (60 μL) were applied to a 300SB-C8 reverse phase analytical column (4.6 × 250 mm, 5 µm particle size, and 300 Å pore size; Agilent Technologies) using a 1,200 series high-resolution liquid chromatography quaternary system (Agilent Technologies) with a DAD UV-V detector, as described in Refs. (18) and (17). The elution system consisted of deionized water (A) and acetonitrile (B), both containing 0.1% (v/v) trichloroacetic acid. The proteins were eluted with a linear gradient from 24% B to 56% B in 60 min, at a flow rate of 0.5 mL/min at 50°C. Absorbance was monitored using the DAD UV-V module at 210 nm, and integration was automatically handled by the RP-HPLC system software with some manual adjustments. Absolute amounts of prolamins were determined using bovine serum albumin (BSA, 98% BSA, fraction V, Sigma-Aldrich, St Louis, MO, USA, cat No. A3294) as a protein standard.

Determination of gluten by R5 monoclonal antibody

Gluten content in parts per million (ppm) was determined using the RIDASCREEN® Gliadin competitive (R-Biopharm AG, Darmstadt, Germany) enzyme-linked immunosorbent assays (ELISA) kit, using the monoclonal antibody R5 (19) at Centro Nacional de Biotecnología (CNB, www.cnb.csic.es). Three independent replicates were carried out for each sample.

Fructan content

The fructan content per DW was determined in duplicate using 150 mg of sample by the Megazyme commercial kit K-FRUC (www.megazyme.com) following the manufacturer assay procedure. To express the fructan content per DW, the moisture of each sample was determined.

Statistical analysis

For statistical analysis, R v. 3.6.1 (20) was used. Statistical differences of bread components between samples were determined by the ANOVA, t-test, Mann–Whitney test, or Kruskal–Wallis test. We performed a principal component analysis (PCA) including all the variables measured in the present work to evaluate their contribution to the model variance. The libraries FactoMineR (21) and Factoextra (22) were used for PCA analysis and graphical output, respectively.

Results

In this study, the immunogenic potential of 48 different types of bread commercialized in Spain was evaluated (Supplementary Table 1). Four categories of breads have been established: rye breads, spelt breads, whole grain (or whole meal) breads, and breads mostly made using bread wheat flour, but which may contain other cereals. Finally, a projection of the daily intake of immunogenic compounds (gluten and fructans) has been made based on the type of bread.

Prolamin quantification

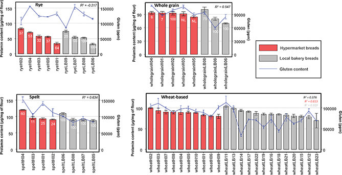
Gluten proteins (also called prolamins) are divided into two different fractions, the gliadins and the glutenins (23), which can be extracted from the flour and quantified by RP-HPLC. However, the extraction and quantification of the prolamin fractions in processed foods, such as bread, is more complex than that performed on flour because of monomeric fraction comprising the gliadins becomes part of the polymeric fraction together with the glutenins as a consequence of the heat-induced formation of interchain disulphide bonds (18). To differentiate between the different prolamin fractions in bread, gliadins and glutenins were extracted from the flour of T80 spelt, subject to RP-HPLC separation, and the distribution of gliadins and glutenins throughout the retention time compared to that of the total prolamin extracts from bread chromatograms obtained in previous works (24). The limits between two clear protein regions, named in this work as Protein 1 and Protein 2, and encompassing the ω-gliadins and High Molecular Weight (HMW)-glutenins, and α-gliadins, γ-gliadins, and Low Molecular Weight (LMW)-glutenins, respectively (Supplementary Fig. 1), were established in bread (24). The Protein 2 fraction corresponds to S-rich prolamin proteins, while Protein 1 fraction corresponds to S-poor gliadins and HMW (25).

Gluten and fructans contents

Nine different breads containing rye were compared (Table 1). The content of rye flour varies between 32 and 64% for hypermarket breads, while it was 100% in breads from artisan bakeries, except for one which contains 25% of rye flour (Table 1). The RP-HPLC profiles made it possible to differentiate the variable amount of rye in this type of bread: most of the hypermarket rye breads showed a profile similar to that of only 25% rye in its composition (Supplementary Fig. 2). The maximum values for gluten and fructan contents were, respectively, 155,604 ppm and 2.22 g/100 g DW, which correspond, respectively, to hypermarkets and artisan bakeries. In fact, the fructan content was higher in all breads from artisan bakeries, except for the bread with 25% of rye flour (Table 1).

Table 1. Mean of gluten and fructan contents for hypermarkets and local bakery rye breads
Bread name Source Rye (%) Water (%) Protein 1 (µg/mg flour) Protein 2 (µg/mg flour) Gluten (ppm) Fructans (g/100 g DW)
ryeH01 Hypermarkets 64 36.6 5.7 e 27.8 e 131,286 b 0.39 c
ryeH02 Hypermarkets 37 35.7 10.5 ab 72.2 a 108,222 d 0.48 c
ryeH03 Hypermarkets 32 41.0 7.6 cde 49.8 c 123,211 bcd 0.93 abc
ryeH04 Hypermarkets 53 29.1 11.2 a 59.3 b 155,604 a 0.69 bc
ryeH05 Hypermarkets 37 33.6 6.9 de 49.4 c 121,351 bcd 0.85 abc
ryeLB06 Local bakery 100 38.3 7.0 de 25.0 e 113,960 cd 1.59 ab
ryeLB07 Local bakery 100 41.7 8.8 bcd 45.5 cd 154,217 a 2.22 a
ryeLB08 Local bakery 100 45.8 9.6 abc 42.8 d 130,518 bc 1.75 ab
ryeLB09 Local bakery 25 40.3 7.9 cd 65.9 a 85,890 e 0.99 bc
Statistical differences were established by ANOVA and Kruskal–Wallis for parametric and non-parametric data, respectively. Bread with the highest component content is indicated in bold. For multiple comparisons, the Tukey test and Dunn test were performed for parametric and non-parametric data, respectively. According to the list of ingredients, common bread wheat flour is added to complete 100% flour composition. Gluten (ppm) was determined by R5 monoclonal antibody.

The percentage of spelt flour was 100 in all artisan bakery breads, but it varied greatly among the hypermarket breads, from as low as 11% to a 60% for the highest one (Table 2). One hypermarket spelt bread had the highest values for Protein 1 and Protein 2, and for the gluten (151,967 ppm) content (Table 2). The highest fructan content corresponded to a hypermarket bread with 0.43 g/100 g DW, the one containing the lowest percentage of spelt flour (Table 2).

Table 2. Mean of total gluten and fructan contents for hypermarkets and local bakery spelt breads
Bread name Source Spelt (%) Water (%) Protein 1 (µg/mg flour) Protein 2 (µg/mg flour) Gluten (ppm) Fructans (g/100 g DW)
speltH01 Hypermarkets 25 29.9 11.7 ab 82.0 c 139,988 ab 0.33 a
speltH02 Hypermarkets 24 34.2 9.7 bcd 81.6 c 112,460 abc 0.35 a
speltH03 Hypermarkets 11 32.9 10.9 abc 85.1 bc 105,577 bc 0.43 a
speltH04 Hypermarkets 60 33.3 12.9 a 107.7 a 151,967 a 0.15 a
speltLB05 Local bakery 100 37.2 8.4 d 80.0 c 83,563 d 0.18 a
speltLB06 Local bakery 100 38.0 12.4 a 96.6 ab 100,886 c 0.23 a
speltLB07 Local bakery 100 34.1 7.7 d 82.9 bc 94,776 cd 0.19 a
speltLB08 Local bakery 100 40.1 8.6 cd 82.3 c 81,602 d 0.10 a
Statistical differences were established by ANOVA and Kruskal–Wallis for parametric and non-parametric data, respectively. Bread with the highest component content is indicated in bold. For multiple comparisons, the Tukey test and Dunn test were performed for parametric and non-parametric data, respectively. According to the list of ingredients, common bread wheat flour is added to complete 100% flour composition. Gluten (ppm) was determined by R5 monoclonal antibody.

Only three breads were made using 100% whole grain flour, whereas the others were reconstituted by adding wheat bran (Table 3). For Protein 1 and Protein 2 fractions, one local bakery had the highest value, more similar to those of the whole grain breads from hypermarkets (Table 3). For gluten and fructan contents, the highest values were 109,707 ppm and 1.12 g/100 g DW, respectively, which correspond to a hypermarket and artisan bakery, respectively (Table 3). As shown, for both gluten and fructan contents, there were significant differences between the different types of breads.

Table 3. Mean of gluten and fructan contents for hypermarkets and local bakery whole grain breads
Bread name Source Whole grain (%) Water (%) Protein 1 (µg/mg flour) Protein 2 (µg/mg flour) Gluten (ppm) Fructan (g/100 g DW)
wholegrainH01 Hypermarkets 7 28.2 10.5 bc 83.2 ab 87,395 cd 0.15 c
wholegrainH02 Hypermarkets 100 33.7 9.6 c 82.8 ab 99,788 ab 0.28 bc
wholegrainH03 Hypermarkets NL 32.3 10.4 bc 81.0 bc 106,879 ab 0.33 bc
wholegrainH04 Hypermarkets 6 28.7 11.9 ab 82.0 ab 109,707 a 0.32 bc
wholegrainH05 Hypermarkets NL 30.6 8.3 cd 76.3 cd 89,533 c 0.35 bc
wholegrainLB06 Local bakery 100 41.6 9.7 bc 59.7 d 84,795 cd 0.68 abc
wholegrainLB07 Local bakery 100 41.3 7.0 d 72.4 d 59,431 d 1.12 a
wholegrainLB08 Local bakery 75 41.2 12.9 a 87.7 a 93,923 bc 0.74 ab
Statistical differences were established by ANOVA and Kruskal–Wallis for parametric and non-parametric data, respectively. Bread with the highest component content is indicated in bold. For multiple comparisons, the Tukey test and Dunn test were performed for parametric and non-parametric data, respectively. According to the list of ingredients, common bread wheat flour is added to complete 100% composition. Gluten (ppm) was determined by R5 monoclonal antibody.

Finally, the wheat-based category included breads from bread wheat flour, but there are also breads made using other cereal flour. The most common are those containing durum wheat, particularly in artisan bakeries, the percentage of which varies from 5 to 100%. In this category, the highest values for Protein 1, Protein 2, gluten, and fructans correspond to breads produced in artisan bakeries. Interestingly, one artisan bread had the highest content of gluten (ppm) and Protein 2 (Table 4). However, two breads from artisan bakeries, one made using 100% durum wheat flour and the other using 40% tritordeum flour, showed the lowest values for gluten content.

Table 4. Mean of gluten and fructan contents for hypermarkets and local bakery wheat-based breads
Bread name Source Other cereals (%) Water (%) Protein 1 (µg/mg flour) Protein 2 (µg/mg flour) Gluten (ppm) Fructan (g/100 g DW)
wheatH01 Hypermarkets Rye (NL) 25.8 9.1 abcdefg 73.4 efgh 89,335 cdef 0.27 de
wheatH02 Hypermarkets Rye (NL) 31.2 11.3 ab 88.8 ab 104,696 abc 0.45 abcde
wheatH03 Hypermarkets NA 27.6 10.4 abc 83.3 abc 111,581 ab 0.41 abcde
wheatH04 Hypermarkets NA 30.4 9.7 abcde 80.0 bcde 98,261 abc 0.32 cde
wheatH05 Hypermarkets NA 31.9 8.7 bcdefgh 80.9 abcd 99,738 abc 0.38 bcde
wheatH06 Hypermarkets Barley (NL) 34.5 8.4 cdefghi 72.0 gh 78,216 defg 0.59 abcd
wheatH07 Hypermarkets Durum wheat (NL) 23.7 9.8 abcde 80.4 bcd 100,114 abc 0.28 cde
wheatH08 Hypermarkets NA 29.3 9.5 abcdef 80.3 bcd 89,080 cdef 0.35 bcde
wheatH09 Hypermarkets NA 32.0 8.0 defghi 71.8 fgh 101,582 abc 0.51 abcde
wheatH10 Hypermarkets NA 28.8 10.1 abcd 78.6 cdef 92,468 bcde 0.19 e
wheatLB11 Local bakery Rye (9%) 41.5 11.8 ab 91.8 a 113,275 a 0.46 abcde
wheatLB12 Local bakery NA 38.8 7.0 ghi 71.2 gh 92,752 bcde 0.69 ab
wheatLB13 Local bakery NA 38.3 15.1 a 84.0 abc 97,623 abcd 0.29 cde
wheatLB14 Local bakery Durum wheat (100%) 36.0 5.3 i 88.8 ab 33,626 j 0.39 bcde
wheatLB15 Local bakery Durum wheat (5%) 33.8 6.5 hi 73.4 fgh 69,792 fgh 0.46 abcde
wheatLB16 Local bakery Durum wheat (5%) 39.4 7.7 efghi 77.1 cdefg 73,317 efgh 0.39 bcde
wheatLB17 Local bakery Durum wheat (20%) 35.4 9.7 abcdef 81.5 abcd 72,485 fgh 0.38 bcde
wheatLB18 Local bakery Tritordeum (40%) 31.1 5.9 i 78.8 cdef 44,349 ij 0.77 a
wheatLB19 Local bakery Durum wheat (50%) 38.4 7.9 defghi 77.2 cdefg 53,820 hi 0.51 abcde
wheatLB20 Local bakery NA 36.2 7.4 fghi 73.5 efgh 62,387 ghi 0.62 abcd
wheatLB21 Local bakery NA 31.3 7.6 efghi 75.4 defgh 77,459 efg 0.65 abc
wheatLB22 Local bakery NA 33.9 8.8 bcdefg 78.6 cdef 71,344 fgh 0.45 abcde
wheatLB23 Local bakery NA 30.8 7.8 defghi 61.9 h 69,102 gh 0.49 abcde
Statistical differences were established by ANOVA and Kruskal–Wallis for parametric and non-parametric data, respectively. Bread with the highest component content is indicated in bold. For multiple comparisons, the Tukey test and Dunn test were performed for parametric and non-parametric data, respectively. According to the list of ingredients, common bread wheat flour is added to complete 100% composition. Gluten (ppm) was determined by R5 monoclonal antibody.

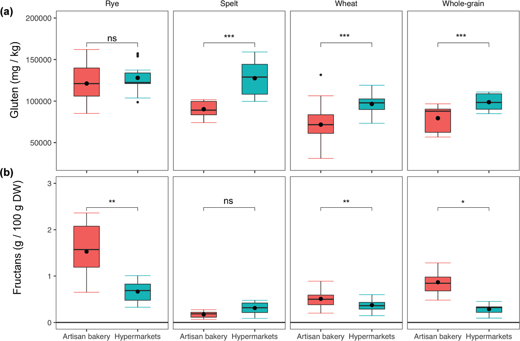
The comparison of gluten (ppm) and fructan contents within each group of bakeries and the comparison between artisan bakeries and hypermarkets are shown in Figs. 1 and 2, respectively. For artisan bakeries, rye breads showed the highest gluten content by the R5 moAb analysis method, with significant differences to all other bread types, which is discussed below. Interestingly, there were non-significant differences between wheat and whole grain breads (Fig. 1). In contrast, for hypermarkets, no differences were found between rye and spelt breads, and there were significant differences between spelt and whole grain breads, with a higher gluten content in spelt breads. As for the artisan bakeries, there were no significant differences between whole grain and wheat breads. Overall, except for rye breads, the gluten content of spelt, whole grain, and wheat breads was significantly higher in breads sold in hypermarkets (Fig. 2).

Fig 1
Fig. 1. (a) Gluten (mg/kg) and (b) fructan (g/100 g DW) contents in rye, spelt, whole grain, and wheat-based breads from artisan bakeries and hypermarkets. *, P < 0.05; **, P < 0.01; ***, P < 0.001; ns, no significant; DW, dry weight. The black dot indicates the mean. Statistical significances were calculated by t-test and Mann–Whitney test for parametric and non-parametric data, respectively.

Fig 2
Fig. 2. Comparison of breads from artisan bakeries and hypermarkets in terms of gluten (a) and fructan contents (b). Statistically significant differences: ‘***’, ‘**’, and ‘*’, at 0.001, 0.01, and 0.05 levels, respectively; ns, no significant; DW, dry weight. The black dot indicates the mean. Statistical significances were calculated by t-test and Mann–Whitney test for parametric and non-parametric data, respectively.

With regard to fructan content, all types of bread from the artisan bakeries were significantly different from each other, except between wheat and whole-grain breads. Rye breads contained the most fructans, whereas spelt breads contained the least (Fig. 1). In contrast, breads from hypermarkets showed less variability, and only breads containing rye were significantly different from the rest, in addition to the significant differences shown between wheat and whole-grain breads. Overall, except for spelt breads, the fructan content was significantly higher in breads from artisan bakeries than that from hypermarkets (Fig. 2).

Total protein and starch of breads

The content of total protein was not statistically different between hypermarkets’ and artisan bakeries’ breads (Supplementary Fig. 3). In general, the total protein content was lower for rye breads and reaches higher values for spelt and whole grain breads (Supplementary Fig. 3). Wheat-based breads have lower total protein content than the rest, except for one that contains about 15% of protein (Supplementary Fig. 3).

As for total protein content, total starch was not statistically different between hypermarkets’ and artisan bakeries’ breads (Supplementary Fig. 3). One local bakery whole grain bread stands out with the highest starch content between breads (Supplementary Fig. 3). Interestingly, all wheat-based breads of hypermarkets beat the mean value, whereas this did not occur in wheat breads of artisan bakeries (Supplementary Fig. 3).

Correlation between prolamin content and gluten content

Correlations for prolamin content determined by RP-HPLC and gluten content determined by monoclonal antibody were studied (Fig. 3). The prolamin content was reassembled considering protein fractions 1 and 2. The prolamin and gluten content (ppm) scales have been adjusted to be comparable in Fig. 3 (100 µg of prolamin/mg of flour = 100,000 ppm of gluten). As shown, for rye-containing breads, there is a poor fit between the prolamin content and the gluten content in ppm (R2 = −0.217 by Pearson correlation analysis). In the case of spelt breads, the adjustment is much better (R2 = 0.634), particularly for artisan breads (Fig. 3). For whole grain breads, the fitting (R2 = 0.547) is also better than for rye breads but slightly lower than that for spelt breads. Finally, for wheat-based breads, the prolamin content and the gluten content showed lower fitting (R2 = 0.376) than for spelt and whole grain breads. Interestingly, for wheat-based breads, the fitting was better for hypermarket (R2 = 0.613) than for artisan bakeries (R2 = 0.319), being lower those made with 100% and 50% of durum wheat, and 40% of tritordeum, respectively (Fig. 3 and Table 4).

Fig 3
Fig. 3. Correlation between the prolamin and gluten by the R5 moAb content of rye, spelt, whole grain, and wheat-based breads from artisan bakeries and hypermarkets. Bars indicate the standard deviation for replicates. R2 for each type of bread was calculated by the Pearson correlation test. R2 was also calculated for wheat-based bread from artisan bakeries (grey) and hypermarkets (red) separately.

Principal components analysis (PCA)

A PCA was carried out to understand the factors contributing to the variability of gluten and fructan contents in the breads. In Fig. 4, variables in blue indicate supplementary variables that were not taken into account in the analysis (% of rye and spelt of breads). One of the variables that contributes the most to the variance of the model was the prolamin content, mainly Protein 2 fraction that comprises α-, γ-gliadins, and LMW glutenins, followed by the gluten content by R5 moAb (ppm), fructan, and Protein 1 fraction, which comprises the ω-gliadins and HMW glutenins (Fig. 4). As mentioned above, the PCA analysis confirmed the low correlation between the gluten content by R5 moAb and the prolamin content determined by RP-HPLC for the complete set of breads (Fig. 4).

Fig 4
Fig. 4. Principal components analysis (PCA). 1) First and second dimensions, 2) first and third dimensions, and 3) second and third dimensions plots of the (up) variables in a color gradient according to the contribution to the variability and supplementary variables in blue and (down) individual breads colored according the generic type they are sold. Variables Protein 1 and ppm contribute almost only to second dimension. Breads pointed with arrows, the lowest immunotoxic ones, are made of (1) 100% durum wheat and of (2) 40% tritordeum. Pct, percentage; Dim, dimension; contrib, contribution.

In general, wheat-based breads and wholegrain breads grouped together, with spelt breads close to this group, whereas rye breads form a separated group (Fig. 4). As shown, there is variability among the rye breads across the Dim 1, determined for both rye percentage in their composition and fructan content. Moreover, the fructan content and the percentage of rye in bread products are correlated and opposite to total prolamin, total nitrogen, and Protein 2 contents (Fig. 4). The spelt breads are also grouped together in the PCA, and their variability depends on the spelt content, which is correlated with the total protein content (Fig. 4). Two breads made using 100% of durum wheat and 40% of tritordeum flour, respectively, are positioned close to Dim 2, to which the gluten content by R5 moAb contributes the most.

Gluten and fructan allergens intake

Based on the gluten (mg/kg) and fructan contents (g/100 g DW) of the different types of bread, and taking into account the water content of each type of bread, we have estimated the daily intake of these immunogenic compounds considering daily servings of 150 g of bread, which is the average daily bread consumption across several European countries and the United States (26). In the case of fructans, the cut-off to be considered as low FODMAP for wheat breads (0.3 g per serve) is also represented (27) (Fig. 5). As showed, the total gluten intake varies between type of bread. However, for both hypermarkets and artisan bakeries, rye breads showed the highest values of gluten consumption. Overall, hypermarkets’ breads have significantly higher mean (11.13) value of gluten intake per serving than artisan bakeries (7.78). The lower gluten intake in artisan breads is mainly showed in wheat-based and whole grain bread categories (Fig. 5). The bread made using 100% durum wheat flour (wheatLB14) is the one with the lowest gluten intake per serve (3.3 g), while the ryeH04 bread has the highest value for gluten intake (15.2 g) per serve, which is 4.6 times higher (Fig. 5). Interestingly, gluten intake of two spelt breads from hypermarkets had values (15.2 and 14.0, respectively) closer to that of rye breads with the highest gluten intake (Fig. 5).

Fig 5
Fig. 5. Total gluten and fructan intakes (g/150 g bread) for each bread. Mean value for each section is represented with black-dashed lines. Low-FODMAP cut-off value for bread wheat is denoted by the blue-dashed line (0.3) (27). Gluten intake was calculated as follows: gluten (ppm) × 150 bread (g) × 10E-6 × (1-water content [%]). Fructans intake was calculated as follows: fructan content (g/100 g FW bread) × 150 bread (g)/100 g. FW: fresh weight·, P ~ 0.05; ***, P < 0.001. Statistical significances were calculated by t-test and Mann–Whitney test for parametric and non-parametric data, respectively.

In contrast to the gluten, for fructan intake, the mean value for hypermarkets’ breads (0.41) is lower, but not significant, than that of artisan bakeries’ (0.62). As for gluten, fructan intake was higher for rye-based breads, both for hypermarkets and artisan bakeries, 0.85 and 1.91 g, respectively (Fig. 5). For artisan breads, the mean value is highly influenced by rye and whole grain breads, which are made with 100% of these ingredients in most of the cases (Fig. 5). For spelt breads, fructan intake is higher in hypermarkets’ breads than that for artisan bakeries, while the range of variation in fructan intake was higher for wheat-based breads in artisan bakeries than in hypermarkets (Fig. 5). Considering the cut-off value for fructan intake, most of the breads present a fructan intake that beats the cut-off value, except spelt breads from artisan bakeries. Between wheat-based breads category, only wheatH10 and wheatLB13 showed values below this cut-off.

Discussion

In recent years, there has been growing consumer concern about adverse reactions to wheat/gluten, and many consumers who want to reduce the wheat/gluten intake are adhering to a GFD. The direct consequence is an appreciable decrease in the consumption of bread and other wheat-based products. However, avoidance of gluten/wheat is strictly necessary in the case of CD, and for other pathologies, it should be up to the medical specialist to decide. Moreover, in the case of NCWS, the role of gluten is unclear, and other compounds such as fructans and ATIs were reported as the main causative agents (6, 28). In fact, many people with self-reported NCWS do not need to follow a totally GFD (29). In this work, we have evaluated the immunogenic potential of breads highly consumed in Spain and made using sourdough and long fermentation times (artisan bakeries) and those not using sourdough and short fermentation (hypermarkets). In addition, the daily intake of these immunogenic compounds has been assessed.

First, the extraction and quantification protocols by RP-HPLC were adapted to bread products, and times of elution compared to that of previous works (24). Two clear protein fractions, named as Protein 1 and Protein 2, and encompassing, respectively, ω-gliadins and HMW-glutenins, and α-, γ-gliadins, and LMW-glutenins were established. This allowed us to determine the total prolamin content in the bread and to compare it with the values obtained using the R5 monoclonal antibody. However, we did find a strong correlation of R5 neither with either Protein 1 or Protein 2 nor with the total prolamin content, with the best fitting obtained for spelt-based breads. We analyzed the gluten content using the ELISA R5 method because it is considered as a Type I analysis method by the Codex Alimentarius (CODEX STAN 118-1979) for the determination of gluten in food and is the method recommended by the Working Group on Prolamin Analysis and Toxicity (WGPAT). Moreover, it is widely used in the food industry for gluten content analysis. However, several studies mention that the R5 antibody underestimates or overestimates the gluten content, and that it produces a high variation in results in interlaboratory proficiency studies (30 31). Although the R5 moAb has been used for bread and wheat varieties screening (32, 33), this technique was not originally developed to perform measurements in sample with high-gluten content, which implies many dilutions during the analytical process that may lead to an error in gluten quantity estimation (34). These points might explain the low correlation between the RP-HPLC and R5 ELISA data for the breads analyzed in the present work. Moreover, the low correlation between both analytical methods may also be ligated to the relationship between the specificity/sensitivity of the R5 moAb and both the gluten source (rye, wheat, barley, and oat) and the gluten fraction (31), as shown for the rye breads samples, which will be discussed later.

The first main difference between breads provided by hypermarkets and artisan bakeries was the raw material used for bread elaboration. Artisan breads have 100% of the main ingredient for rye, spelt, and wholegrain breads in almost all cases, while breads sold in hypermarkets had highly variable content of the main ingredient, and bread wheat flour becomes also the most important ingredient for rye, spelt, and whole-grain breads. It is noteworthy that RP-HPLC chromatograms can help to detect mixtures of rye and wheat, as prolamins of both species show a very different pattern of elution. In addition to this, a second difference is the breadmaking process; all breads from artisan bakeries were made using sourdough and long fermentation times (minimum of 12 h) but not the hypermarket breads. This is an important issue as the use of sourdough and long fermentation times has been described as very effective in degrading FODMAPS (16), ATIs (35), and also gluten proteins (15), all compounds related in triggering adverse reactions to wheat/gluten.

Results reported in this work showed that except for rye breads, gluten content was significantly lower in breads from artisan bakeries. Rye breads had the highest gluten content in breads from both artisan bakeries and hypermarkets, while for the latter, spelt breads also had the highest gluten content. The fact that rye breads present a higher gluten content than wheat-based breads is probably because the R5 moAb was raised against rye secalins (36), being the overestimation of rye gluten – one of the R5 analytical method limitation (31). The lower gluten content in artisan bakeries compared to hypermarkets may be due to the longer fermentation times used in the production of artisan breads. The use of certain strains of lactobacilli and fungal proteases (37), as well as germinated-wheat sourdoughs (15), has been proposed as excellent alternatives to reduce the gluten content in bread, yielding reductions in gluten close to 20 mg/kg (37). In the case of the breads from artisan bakeries, long fermentation and sourdoughs were used, but addition of fungal proteases is not reported, and this may explain the moderate decreases in the gluten content compared to breads from hypermarkets with neither sourdough nor long fermentation times. This would indicate that sourdough and long fermentations would not be sufficient to degrade the gluten fractions present in flour. These results are in agreement with those reported by (34), where the use of sourdough and long fermentations reduces rye gluten, but fungal proteases were necessary to achieve extensive gluten degradation. Moreover, fermentations longer than 24 h appear to be less effective for protein degradation (34). The abundance of potentially allergenic proteins in flours from bread wheat, spelt and rye, and corresponding breads has also been reported (38). They compared the use of sourdough and yeast, but using short fermentation times instead. They reported that allergenic proteins were not selectively degraded during bread production, showing that the grain species have greater influence on bread proteome composition than fermentation processes (38).

The degradation of fructans in breads has been studied in sourdough fermentation, showing reductions of up to 75% in the fructan content of breads in comparison to that of flour (16). They also reported that yeast-only fermentation, without sourdough, also reduced significantly the fructan content, although this reduction was lower than that obtained with sourdough. However, our results show that except for spelt breads, artisan breads showed higher fructan contents than those from hypermarkets, despite being made with sourdough and long fermentations. In the case of rye, spelt, and whole grains, hypermarket breads were not produced using 100% flour from those cereals as the main ingredient. This would also explain why rye and whole grain breads from hypermarkets contain significantly less fructans than artisan bakeries. This is illustrated for one artisan bakery, whose rye bread is a mix of rye and wheat, and its content of fructan is more similar than that of the hypermarket breads. Fructan content in rye bread was previously reported ranging between 1.7 and 3.9% of total weight (39), being the highest source of fructans among all cereals (39). On the other hand, fructans are localized in the external part of the grain (40), and this could explain why the whole grain breads from artisan bakeries with 100% of this ingredient presented higher fructan content than hypermarkets’ ones. Whole grain has important health benefits, as recently reported that its consumption was linked to smaller increases in waist size, blood pressure, and blood sugar in middle- to older-aged adults, suggesting that whole grains may protect against heart disease (41).

Spelt-derived products are also gaining popularity as spelt wheat is considered an ancient grain, and these have been attributed with healthier properties (41, 42). In relation to the content of fructans and gluten, previous studies have pointed out clear differences for these compounds in spelt varieties (43). Fructan content in the grain is slightly lower in spelt wheat than that of bread and durum wheat, and rye (43, 44). In addition, gluten content and reactivity of gluten proteins, as determined by moAb R5 and G12, were higher than in bread wheat (45, 46). Overall, the results reported in this study confirm these differences for spelt breads, at least for artisan bakeries that used 100% of spelt flour. They contain fewer fructans than those containing rye, whole grain, and bread wheat. On the other hand, the gluten content of the spelt breads was higher than those made using whole grain and bread wheat.

In this study, the range of variation for gluten and fructan contents shown in breads from both artisan bakeries and hypermarkets would indicate that the raw material used is a principal factor to develop low-content, low-stimulatory breads. For example, some breads from artisan bakeries were elaborated using a high percentage of durum wheat or tritordeum flour, which are the breads with the lowest immunogenic potential. Both tritordeum and durum wheat lack the D genome, which contains the α-gliadins harboring the 33-mer peptide (47), one of the most immunogenic peptide described so far in relation to CD (48). In fact, tritordeum breads were well tolerated by NCWS patients with important benefits in gut microbiota (49). In the case of fructans, the range of variation was higher for artisan bakeries than that from hypermarkets, with clear and significant differences between the different types of breads. In contrast, the breads from hypermarkets were much more homogeneous in the fructan content, and only those containing rye are significantly different from the rest, except for wheat and whole-grain breads comparison, indicating that the bread wheat flour (used to complete different breads) has a very important normalizing effect.

In order to find out differences in the daily intake of gluten and fructans, we considered a serving size of 150 g of bread per day. Our results indicate that there is a huge variation for gluten and fructans that are consumed daily depending on the type of bread and its origin. The gluten consumed ranged from 3.3 to 16.5 g per serving size. The lower values correspond to breads made using 100% and 50% durum wheat flour, and 40% tritordeum flour. In contrast, the higher values for gluten consumed correspond to spelt and rye breads sold in hypermarkets. The values for low and high gluten intake reported in this work are close to those used in (50), where they compared the effects of a low-gluten diet with a high-gluten diet in healthy people. They reported that a low-gluten diet induces moderate changes in the intestinal microbiome, reduces fasting and postprandial hydrogen exhalation, and leads to improvements in self-reported bloating. Moreover, a decrease in body weight following the low-gluten was also observed in comparison to the high-gluten diet (50). However, those changes were also linked to shifts in the fermentation of complex carbohydrates, and therefore, it could not be addressed solely to the low-gluten. However, significant beneficial changes in the microbiota were also observed in NCWS patients who followed a diet with a bread made using a very low-gluten RNAi wheat flour (51).

Collectively, the mean of gluten intake per serving size (g/150 g of bread) in hypermarkets’ breads (11.2) was higher than artisan bakeries’ ones (7.8), being an interesting key point in consumer decision at the time to choose. However, the mean for fructan intake per serving size (g/150 g of bread). was non-significantly higher for artisan breads (0.62) than for hypermarkets one (0.41). Interestingly, the fructan intake from artisan bakeries corresponding to all spelt breads remaining below the threshold established for low-FODMAP diet (27), while spelt breads from hypermarkets had higher fructan content than this cutoff except for one of them, which had the highest percentage of spelt between hypermarket breads. However, the cutoff was previously established using the K-FRUC HK kit to measure the fructan content (27). The K-FRUC kit used in the present work was reported more suitable for fructan determination in cereal samples with low fructan content and high non-targeted carbohydrates (52, 53), whereas the K-FRUC HK kit might overestimates fructans in bread (53).

Conclusions

The results reported in the present work reveal that there is a wide range of variation for the content of the two major immunogenic/allergenic compounds (gluten and fructan) in breads from artisan bakeries and hypermarkets. In general, breads from artisan bakeries showed a lower amount of gluten but a higher amount of fructans than that of hypermarkets. The use of sourdough and long fermentation times in artisan bakeries could be responsible for the lower gluten content. The raw material used is a key factor to explain the differences for the immunogenic/allergenic compounds, both within each category and for the comparison between artisan bakeries and hypermarkets. Breads elaborated using durum wheat and tritordeum flour provided breads with the lowest immunogenic potential, while rye flour had highest. All these differences are reflected in the amount of gluten and fructans that consumers intake daily, with differences of up to 4.5 and 20 times for gluten and fructan, respectively. We obtained a low correlation between the RP-HPLC prolamin content and the gluten content measured by the R5 ELISA test, mainly for rye breads.

Acknowledgments

The technical assistance of Ana García and María J. Giménez is acknowledged.

Authors’ contributions

Conceptualization, F.B.; methodology, M.M.-S., S.S.-L., and E.L.; formal analysis, M.M.-S. and F.B.; investigation, M.M.-S. and F.B.; writing – original draft preparation, F.B. and M.M.-S.; writing – review and editing, F.B., M.M.-S., S.S.-L., and E.L.; supervision, F.B.; funding acquisition, F.B. All authors have read and agreed the published version of the manuscript.

References

  1. Shewry PR, Hey SJ. The contribution of wheat to human diet and health. Food Energy Secur 2015; 4(3): 178–202. doi: 10.1002/FES3.64
  2. Sollid LM. Coeliac disease: dissecting a complex inflammatory disorder. Nat Rev Immunol 2002; 2(9): 647–55. doi: 10.1038/nri885
  3. Sollid LM, Tye-Din JA, Qiao SW, Anderson RP, Gianfrani C, Koning F. Update 2020: nomenclature and listing of celiac disease–relevant gluten epitopes recognized by CD4+ T cells. Immunogenetics 2020; 72(1–2): 85–8. doi: 10.1007/s00251-019-01141-w
  4. Biesiekierski JR, Peters SL, Newnham ED, Rosella O, Muir JG, Gibson PR. No effects of gluten in patients with self-reported non-celiac gluten sensitivity after dietary reduction of fermentable, poorly absorbed, short-chain carbohydrates. Gastroenterology 2013; 145(2): 320–8.e3. doi: 10.1053/j.gastro.2013.04.051
  5. Gibson PR, Skodje GI, Lundin KEA. Non‐coeliac gluten sensitivity. J Gastroenterol Hepatol 2017; 32: 86–9. doi: 10.1111/jgh.13705
  6. Catassi C, Bai JC, Bonaz B, Bouma G, Calabrò A, Carroccio A, et al. Non-celiac gluten sensitivity: the new frontier of gluten related disorders. Nutrients 2013; 5(10): 3839–53. doi: 10.3390/nu5103839
  7. Aziz I, Dwivedi K, Sanders DS. From coeliac disease to noncoeliac gluten sensitivity; Should everyone be gluten free? Curr Opin Gastroenterol 2016; 32(2): 120–7. doi: 10.1097/MOG.0000000000000248
  8. Catassi C, Gatti S, Lionetti E. World perspective and celiac disease epidemiology. Dig Dis 2015; 33(2): 141–6. doi: 10.1159/000369518
  9. Penuelas J, Gargallo-Garriga A, Janssens IA, Ciais P, Obersteiner M, Klem K, et al. Could global intensification of nitrogen fertilisation increase immunogenic proteins and favour the spread of coeliac pathology? Foods 2020; 9(11): 1602. doi: 10.3390/foods9111602
  10. van den Broeck HC, de Jong HC, Salentijn EMJ, Dekking L, Bosch D, Hamer RJ, et al. Presence of celiac disease epitopes in modern and old hexaploid wheat varieties: wheat breeding may have contributed to increased prevalence of celiac disease. Theor Appl Genet 2010; 121(8): 1527–39. doi: 10.1007/s00122-010-1408-4
  11. Gobbetti M, Giuseppe Rizzello C, Di Cagno R, De Angelis M. Sourdough lactobacilli and celiac disease. Food Microbiol 2007; 24(2): 187–96. doi: 10.1016/j.fm.2006.07.014
  12. Martin J, Geisel T, Maresch C, Krieger K, Stein J. Inadequate nutrient intake in patients with celiac disease: results from a German dietary survey. Digestion 2013; 87(4): 240–6. doi: 10.1159/000348850
  13. Decock P, Cappelle S. Bread technology and sourdough technology. Trends Food Sci Technol 2005; 16(1–3): 113–20. doi: 10.1016/j.tifs.2004.04.012
  14. Brandt MJ. Industrial production of sourdoughs for the baking branch – an overview. Int J Food Microbiol 2019; 302: 3–7. doi: 10.1016/j.ijfoodmicro.2018.09.008
  15. Loponen J, Sontag-Strohm T, Venäläinen J, Salovaara H. Prolamin hydrolysis in wheat sourdoughs with differing proteolytic activities. J Agric Food Chem 2007; 55(3): 978–84. doi: 10.1021/jf062755g
  16. Menezes LAA, Molognoni L, de Sá Ploêncio LA, Costa FBM, Daguer H, De Dea Lindner J. Use of sourdough fermentation to reducing FODMAPs in breads. Eur Food Res Technol 2019; 245(6): 1183–95. doi: 10.1007/s00217-019-03239-7
  17. Pistón F, Gil-Humanes J, Rodríguez-Quijano M, Barro F. Down-regulating γ-Gliadins in bread wheat leads to non-specific increases in other gluten proteins and has no major effect on dough gluten strength. PLoS One 2011; 6(9): e24754. doi: 10.1371/journal.pone.0024754
  18. Wieser H. Investigations on the extractability of gluten proteins from wheat bread in comparison with flour. Eur Food Res Technol 1998; 207(2): 128–32. doi: 10.1007/s002170050306
  19. Valdés I, García E, Llorente M, Méndez E. Innovative approach to low-level gluten determination in foods using a novel sandwich enzyme-linked immunosorbent assay protocol. Eur J Gastroenterol Hepatol 2003; 15(5): 465–74. doi: 10.1097/00042737-200305000-00002
  20. Core Development Team R. A Language and environment for statistical computing. R Found Stat Comput; 2020, p. 2. Available from: https://www.R-project.org [cited 21 June 2021].
  21. Lê S, Josse J, Husson F. FactoMineR: an R package for multivariate analysis. J Stat Softw 2008; 25(1): 1–18. doi: 10.18637/jss.v025.i01
  22. Kassambara A, Mundt F. Package ‘factoextra.’ Extract and Visualize the Results of Multivariate Data Analyses. 2017; p. 76.
  23. Shewry P. Epilepsy, What is gluten - Why is it special? Front Nutr 2019; 6: 1–11. doi: 10.3389/fnut.2019.00101
  24. Qian Y, Preston K, Krokhin O, Mellish J, Ens W. Characterization of wheat gluten proteins by HPLC and MALDI TOF mass spectrometry. J Am Soc Mass Spectrom 2008; 19(10): 1542–50. doi: 10.1016/j.jasms.2008.06.008
  25. Shewry PR, Tatham AS, Forde J, Kreis M, Miflin BJ. The classification and nomenclature of wheat gluten proteins: a reassessment. J Cereal Sci 1986; 4(2): 97–106. doi: 10.1016/S0733-5210(86)80012-1
  26. Weegels PL. The future of bread in view of its contribution to nutrient intake as a starchy staple food. Plant Foods Hum Nutr 2019; 74(1): 1–9. doi: 10.1007/s11130-019-0713-6
  27. Varney J, Barrett J, Scarlata K, Catsos P, Gibson PR, Muir JG. FODMAPs: food composition, defining cutoff values and international application. J Gastroenterol Hepatol 2017; 32: 53–61. doi: 10.1111/jgh.13698
  28. Skodje GI, Sarna VK, Minelle IH, Rolfsen KL, Muir JG, Gibson PR, et al. Fructan, rather than gluten, induces symptoms in patients with self-reported non-celiac gluten sensitivity. Gastroenterology 2018; 154(3): 529–39.e2. doi: 10.1053/j.gastro.2017.10.040
  29. Dieterich W, Zopf Y. Gluten and FODMAPS-sense of a restriction/when is restriction necessary? Nutrients 2019; 11(8): 1957. doi: 10.3390/nu11081957
  30. Cebolla Á, Moreno MdL, Coto L, Sousa C. Gluten immunogenic peptides as standard for the evaluation of potential harmful prolamin content in food and human specimen. Nutrients 2018; 10(12): 1927. doi: 10.3390/nu10121927
  31. Lexhaller B, Tompos C, Scherf KA. Comparative analysis of prolamin and glutelin fractions from wheat, rye, and barley with five sandwich ELISA test kits. Anal Bioanal Chem 2016; 408(22): 6093–104. doi: 10.1007/s00216-016-9721-7
  32. Gélinas P, McKinnon C. Gluten weight in ancient and modern wheat and the reactivity of epitopes towards R5 and G12 monoclonal antibodies. Int J Food Sci Technol 2016; 51(8): 1801–10. doi: 10.1111/ijfs.13151
  33. Ribeiro M, Rodriguez-Quijano M, Nunes FM, Carrillo JM, Branlard G, Igrejas G. New insights into wheat toxicity: breeding did not seem to contribute to a prevalence of potential celiac disease’s immunostimulatory epitopes. Food Chem 2016; 213: 8–18. doi: 10.1016/j.foodchem.2016.06.043
  34. Walter T, Wieser H, Koehler P. Degradation of gluten in rye sourdough products by means of a proline-specific peptidase. Eur Food Res Technol 2015; 240(3): 517–24. doi: 10.1007/s00217-014-2350-5
  35. Huang X, Schuppan D, Tovar LER, Zevallos VF, Loponen J, Gänzle M. Sourdough fermentation degrades wheat alpha-amylase/trypsin inhibitor (ATI) and reduces pro-inflammatory activity. Foods 2020; 9(7): 943. doi: 10.3390/foods9070943
  36. Diaz-Amigo C, Popping B. Accuracy of ELISA detection methods for gluten and reference materials: a realistic assessment. J Agric Food Chem 2013; 61(24): 5681–8. doi: 10.1021/jf3046736
  37. Rizzello CG, De Angelis M, Di Cagno R, Camarca A, Silano M, Losito I, et al. Highly efficient gluten degradation by lactobacilli and fungal proteases during food processing: new perspectives for celiac disease. Appl Environ Microbiol 2007; 73(14): 4499–507. doi: 10.1128/AEM.00260-07
  38. Zimmermann J, Hubel P, Pfannstiel J, Afzal M, Longin CFH, Hitzmann B, et al. Comprehensive proteome analysis of bread deciphering the allergenic potential of bread wheat, spelt and rye. J Proteomics 2021; 247: 104318. doi: 10.1016/j.jprot.2021.104318
  39. Karppinen S, Myllymäki O, Forssell P, Poutanen K. Fructan content of rye and rye products. Cereal Chem 2003; 80(2): 168–71. doi: 10.1094/CCHEM.2003.80.2.168
  40. Haskå L, Nyman M, Andersson R. Distribution and characterisation of fructan in wheat milling fractions. J Cereal Sci 2008; 48(3): 768–74. doi: 10.1016/j.jcs.2008.05.002
  41. Sawicki CM, Lichtenstein AH, Rogers GT, Jacques PF, Ma J, Saltzman E, et al. Comparison of indices of carbohydrate quality and food sources of dietary fiber on longitudinal changes in waist circumference in the framingham offspring cohort. Nutrients 2021; 13(3): 1–16. doi: 10.3390/nu13030997
  42. Longin CFH, Ziegler J, Schweiggert R, Koehler P, Carle R, Würschum T. Comparative study of hulled (einkorn, emmer, and spelt) and naked wheats (durum and bread wheat): agronomic performance and quality traits. Crop Sci 2016; 56(1): 302–11. doi: 10.2135/cropsci2015.04.0242
  43. Frakolaki G, Giannou V, Topakas E, Tzia C. Chemical characterization and breadmaking potential of spelt versus wheat flour. J Cereal Sci 2018; 79: 50–6. doi: 10.1016/j.jcs.2017.08.023
  44. Shewry PR. Wheat. J Exp Bot 2009; 60(6): 1537–53.
  45. Biesiekierski JR, Rosella O, Rose R, Liels K, Barrett JS, Shepherd SJ, et al. Quantification of fructans, galacto-oligosacharides and other short-chain carbohydrates in processed grains and cereals. J Hum Nutr Diet 2011; 24(2): 154–76. doi: 10.1111/j.1365-277X.2010.01139.x
  46. Verspreet J, Dornez E, van den Ende W, Delcour JA, Courtin CM. Cereal grain fructans: structure, variability and potential health effects. Trends Food Sci Technol 2015; 43(1): 32–42. doi: 10.1016/j.tifs.2015.01.006
  47. Ozuna C V., Iehisa JCM, Giménez MJ, Alvarez JB, Sousa C, Barro F. Diversification of the celiac disease α-gliadin complex in wheat: a 33-mer peptide with six overlapping epitopes, evolved following polyploidization. Plant J 2015; 82(5): 794–805. doi: 10.1111/tpj.12851
  48. Tye-Din JA, Stewart JA, Dromey JA, Beissbarth T, Van Heel DA, Tatham A, et al. Comprehensive, quantitative mapping of T cell epitopes in gluten in celiac disease. Sci Transl Med 2010; 2(41): 41ra51. doi: 10.1126/scitranslmed.3001012
  49. Sánchez-León S, Haro C, Villatoro M, Vaquero L, Comino I, González-Amigo AB, et al. Tritordeum breads are well tolerated with preference over gluten-free breads in non-celiac wheat-sensitive patients and its consumption induce changes in gut bacteria. J Sci Food Agric 2021; 101(8): 3508–17. doi: 10.1002/jsfa.10982
  50. Hansen LBS, Roager HM, Søndertoft NB, Gøbel RJ, Kristensen M, Vallès-Colomer M, et al. A low-gluten diet induces changes in the intestinal microbiome of healthy Danish adults. Nat Commun 2018; 9(1): 1–13. doi: 10.1038/s41467-018-07019-x
  51. Haro C, Villatoro M, Vaquero L, Pastor J, Giménez MJ, Ozuna CV, et al. The dietary intervention of transgenic low-gliadin wheat bread in patients with non-celiac gluten sensitivity (NCGS) showed no differences with gluten free diet (GFD) but provides better gut microbiota profile. Nutrients 2018; 10(12): 1964. doi: 10.3390/nu10121964
  52. Li X, Cavanagh C, Verbyla K, Thistleton JL, Wang H, Pedler A, et al. A modified Megazyme fructan assay for rapidly screening wheat starch synthase IIa mutation populations reveals high fructan accumulation in mature grains of triple null lines. J Cereal Sci 2017; 73: 143–50. doi: 10.1016/j.jcs.2016.12.011
  53. Gélinas P, McKinnon C, Gagnon F. Fructans, water‐soluble fibre and fermentable sugars in bread and pasta made with ancient and modern wheat. Int J Food Sci Technol 2016; 51(3): 555–64. doi: 10.1111/ijfs.13022