REVIEW ARTICLE

Nuts and seeds consumption and risk of cardiovascular disease, type 2 diabetes and their risk factors: a systematic review and meta-analysis

Erik Kristoffer Arnesen1*, Birna Thorisdottir2, Linnea Bärebring3, Fredrik Söderlund4, Bright I. Nwaru5, Ulrike Spielau6,7, Jutta Dierkes6,7,8, Alfons Ramel9, Christel Lamberg-Allardt10 and Agneta Åkesson4

1Department of Nutrition, Institute of Basic Medical Sciences, University of Oslo, Oslo, Norway; 2Health Science Institute, University of Iceland, Reykjavik, Iceland; 3Department of Internal Medicine and Clinical Nutrition, Institute of Medicine, Sahlgrenska Academy, University of Gothenburg, Gothenburg, Sweden; 4Unit of Cardiovascular and Nutritional Epidemiology, Institute of Environmental Medicine, Karolinska Institutet, Stockholm, Sweden; 5Krefting Research Centre, Institute of Medicine, University of Gothenburg, Gothenburg, Sweden; 6Centre for Nutrition, Department of Clinical Medicine, University of Bergen, Bergen, Norway; 7Mohn Nutrition Research Laboratory, Department of Clinical Science, University of Bergen, Bergen, Norway; 8Department of Medical Biochemistry and Pharmacology, Haukeland University Hospital, Bergen, Norway; 9Faculty of Food Science and Nutrition, University of Iceland, Reykjavik, Iceland; 10Department of Food and Nutrition, University of Helsinki, Helsinki, Finland

Popular scientific summary

Abstract

Objectives: We aimed to systematically review studies and evaluate the strength of the evidence on nuts/seeds consumption and cardiometabolic diseases and their risk factors among adults.

Methods: A protocol was pre-registered in PROSPERO (CRD42021270554). We searched MEDLINE, Embase, Cochrane Central Register of Controlled Trials and Scopus up to September 20, 2021 for prospective cohort studies and ≥12-week randomized controlled trials (RCTs). Main outcomes were cardiovascular disease (CVD), coronary heart disease (CHD), stroke and type 2 diabetes (T2D), secondary total-/low density lipoprotein (LDL)-cholesterol, blood pressure and glycaemic markers. Data extraction and risk of bias (RoB) assessments (using RoB 2.0 and RoB-NObS) were performed in duplicate. Effect sizes were pooled using random-effects meta-analyses and expressed as relative risk (RR) or weighted mean differences with 95% confidence intervals (CI); heterogeneity quantified as I2. One-stage dose-response analyses assessed the linear and non-linear associations with CVD, CHD, stroke and T2D. The strength of evidence was classified per the World Cancer Research Fund criteria.

Results: After screening 23,244 references, we included 42 papers from cohort studies (28 unique cohorts, 1,890,573 participants) and 18 RCTs (2,266 participants). In the cohorts, mainly populations with low consumption, high versus low total nuts/seeds consumption was inversely associated with total CVD (RR 0.81; 95% CI 0.75, 0.86; I2 = 67%), CVD mortality (0.77; 0.72, 0.82; I2 = 59.3%), CHD (0.82; 0.76, 0.89; I2 = 64%), CHD mortality (0.75; 0.65, 0.87; I2 = 66.9%) and non-fatal CHD (0.85; 0.75, 0.96; I2 = 62.2%). According to the non-linear dose-response analyses, consumption of 30 g/day of total nuts/seeds was associated with RRs of similar magnitude. For stroke and T2D the summary RR for high versus low intake was 0.91 (95% CI 0.85, 0.97; I2 = 24.8%) and 0.95 (0.75, 1.21; I2 = 82.2%). Intake of nuts (median ~50 g/day) lowered total (−0.15 mmol/L; −0.22, −0.08; I2 = 31.2%) and LDL-cholesterol (−0.13 mmol/L; −0.21, −0.05; I2 = 68.6%), but not blood pressure. Findings on fasting glucose, HbA1c and insulin resistance were conflicting. The results were robust to sensitivity and subgroup analyses. We rated the associations between nuts/seeds and both CVD and CHD as probable. There was limited but suggestive evidence for no association with stroke. No conclusion could be made for T2D.

Conclusion: There is a probable relationship between consumption of nuts/seeds and lower risk of CVD, mostly driven by CHD, possibly in part through effects on blood lipids. More research on stroke and T2D may affect the conclusions. The evidence of specific nuts should be further investigated.

Keywords: nuts; cardiovascular disease; atherosclerosis; diabetes mellitus type 2; systematic review; meta-analysis

 

Citation: Food & Nutrition Research 2023, 67: 8961 - http://dx.doi.org/10.29219/fnr.v67.8961

Copyright: © 2023 Erik Kristoffer Arnesen et al. This is an Open Access article distributed under the terms of the Creative Commons Attribution 4.0 International License (http://creativecommons.org/licenses/by/4.0/), allowing third parties to copy and redistribute the material in any medium or format and to remix, transform, and build upon the material for any purpose, even commercially, provided the original work is properly cited and states its license.

Received: 10 August 2022; Revised: 4 January 2023; Accepted: 20 January 2023; Published: 14 February 2023

Competing interests and funding: The authors declare no potential conflicts of interest. Partial funding was received from the Nordic Council of Ministers and governmental food and health authorities of Norway, Finland, Sweden, Denmark, and Iceland.

*Erik Kristoffer Arnesen, Division of Clinical Nutrition, Institute of Basic Medical Science, University of Oslo, Box 1046 Blindern, NO-0317 Oslo, Norway. Email: e.k.arnesen@medisin.uio.no

To access the supplementary material, please visit the article landing page

 

The inclusion of nuts in official food-based dietary guidelines is relatively recent, despite a Food and Agricultural Organization/World Health Organization statement from 2003 on a probable association between unsalted nuts and reduced risk of cardiovascular disease (CVD) (1). The 2012 Nordic Nutrition Recommendations (NNR) explicitly recommended an increased consumption of nuts and seeds, while this recommendation was true only for 19% of all national food-based dietary guidelines reviewed from 1986 to 2017 (2). While some dietary guidelines include them simply as a source of protein or unsaturated fatty acids, nuts and seeds are good sources of many biologically active components, such as polyunsaturated fatty acids (PUFA), micronutrients (e.g. vitamin E, minerals), dietary fibre, polyphenols, flavonoids and phytosterols, that have various, potentially beneficial properties for cardiometabolic risk factors. Consequently, nuts and seeds are important parts of healthy dietary patterns and eating plans such as the healthy Nordic diet, the Dietary Approaches to Stop Hypertension (DASH), Mediterranean-style and plant-based/vegetarian dietary patterns (3, 4), and in clinical CVD prevention guidelines (5, 6). Moreover, the Global Burden of Disease study ranked low consumption of nuts and seeds as a major dietary contributor to deaths and the overall disease burden on the global scale (7, 8). Still, the mean intakes at population-level are marginal and far from current recommendations, especially in Europe (8, 9).

Interest in nuts for prevention of cardiometabolic disease emerged in 1992 after Fraser et al. reported a lower risk of fatal coronary heart disease (CHD) and myocardial infarction (MI) among frequent nut consumers (>4 servings per week) in the Adventist Health Study (10). This was followed by intervention studies that found significant reductions in total and LDL-cholesterol from walnuts or almonds (11, 12) and other large prospective cohort studies from the USA (13, 14). The US Food and Drug Association approved a qualified health claim regarding nuts (42 g/day) for reduced risk of heart disease in 2003, while a health claim related to walnuts and improved endothelium-dependent vasodilation is approved in the European Union (15).

During the past decade, a substantial number of systematic reviews (SR) and meta-analyses have been published on nuts and various endpoints, including findings from observational and intervention studies (1623). Among the most recent, Becerra-Tomas et al. performed a SR with meta-analyses commissioned by the European Association for the Study of Diabetes (EASD) on nut consumption (excluding seeds) and the risk of CVD incidence or mortality (17). They included 19 prospective studies, published between 1992 and 2018. Compared to the lowest category, the highest consumption category of nuts was associated with lower incidence of CVD, CHD and atrial fibrillation, and with lower mortality from CVD, CHD and stroke (relative risk (RR) reductions ranging from −23 to −15%), but not with stroke incidence nor heart failure. In 2021, the same authors reported no significant association between nut consumption and type 2 diabetes (T2D) in an SR and meta-analysis of prospective and cross-sectional studies (18).

Since those SRs were conducted, several new, large-scale cohort studies have been published. Furthermore, despite a relatively large amount of trials and prospective studies, SRs on nuts have so far graded the certainty in the evidence as ‘low’ or ‘very low’ for several outcomes (1719, 24, 25), implying that further research may change the confidence and effect estimates (26). Thus, consumption of nuts and seeds in relation to CVD and T2D was considered a prioritized subject for a de novo systematic review by the NNR 2022 Committee (27, 28). An initial scoping review by the Committee in 2020 identified new data since 2011 that were considered to have the potential to change the NNR food-based dietary guidance (FBDG) related to nuts and seeds in relation to CVD, T2D and risk factors.

The aim of this systematic review was to examine the evidence for an association between consumption of nuts and seeds and the incidence of or mortality from CVD and T2D, and the effects of nuts and seeds on intermediate cardiometabolic risk factors. For this SR, we included both nuts and seeds as they are grouped in several dietary guidelines and have similar nutritional characteristics (29).

Methods

This systematic review followed the guidelines developed for the NNR 2022 (30, 31) and the Preferred Reporting Items for SR and Meta-Analyses (32, 33). A protocol was pre-registered online on PROSPERO (https://www.crd.york.ac.uk/prospero) with review ID CRD42021270554.

A focused research question was developed by the NNR 2022 Committee, defining the population/participants, intervention/exposure, control, outcome, timeframe, study design and settings (PI/ECOTSS), in an iterative process with the review authors. The funding source for NNR 2022 was the Nordic Council of Ministers and governmental food and health authorities of Norway, Finland, Sweden, Denmark, and Iceland (27).

Eligibility criteria

The inclusion and exclusion criteria are outlined in the PI/ECOTSS statement (Table 1). We included original research articles with a prospective cohort design (i.e. cohort, case-cohort or nested case-control studies) and randomized controlled trials (RCTs) involving generally non-pregnant healthy adults (>18 years of age) from the general population (including people with elevated serum lipids, blood pressure, obesity, metabolic syndrome, impaired glucose tolerance or insulin resistance). Studies on secondary prevention, that is, established CVD or T2D as well as weight loss trials, were excluded. There were no restrictions concerning publication language, sample size or risk of bias (RoB).

Table 1. Eligibility criteria for population/participants, intervention/exposure, control, outcome, timeframe, study design and settings (PI/ECOTSS)
Population Intervention or Exposure Comparators Outcomes Timing Setting Study design
Adults, general population Nuts and seeds intake, including peanuts Dose-response (per serving/day) or high versus low or no intake Fatal or non-fatal atherosclerotic cardiovascular disease (including coronary artery disease, myocardial infarction, ischemic stroke, CVD mortality), type 2 diabetes incidence and mortality.

RCTs only: Changes in atherogenic serum lipids, blood pressure, fasting glycaemia (glucose, HbA1c), insulin and insulin resistance/insulin sensitivity.
Minimum 12 months follow-up in cohort studies.

Minimum 12-week intervention in intervention studies.
Relevant for the general population in the Nordic and Baltic countries.

Not weight-loss studies.
RCTs (for risk factors), prospective cohort studies

The exposure of interest was consumption of total or individual types of edible nuts and seeds based on culinary practice rather than a strict botanical definition (e.g. almonds, flaxseeds, peanuts, sunflower seeds, walnuts etc. were eligible), but not betel nuts, coconuts, cola nuts or ‘soy nuts’/roasted soybeans. As the focus was on nuts/seeds consumed as a food, nut or seed oils or extracts were excluded, as were nuts/seeds grinded and consumed as a ‘supplement’, added to beverages, bread etc. However, nut spreads (‘butter’) was included as most studies included them in the definition of total nuts. Studies based on dietary patterns containing nuts (e.g. Mediterranean diets), multifactorial interventions, or studies combining nuts/seeds with for example, fruits or legumes, were excluded if they did not provide specific quantitative analyses of nuts and outcomes. We did include studies reporting substitution analyses of nuts and seeds replacing other food sources, such as red meat.

The following primary and secondary outcomes were considered: 1) incidence and mortality of atherosclerotic CVD (including coronary artery disease (coronary/ischaemic heart disease), MI, total and ischemic stroke, total CVD as a composite outcome) and T2D; 2) changes in atherogenic serum lipids [primarily total cholesterol (TC) and LDL-cholesterol (LDL-C)], blood pressure (systolic and diastolic), fasting glycaemia (glucose, glycated haemoglobin A1c (HbA1c)), insulin and insulin resistance/insulin sensitivity.

For the cardiometabolic risk factors, only randomized controlled parallel or crossover trials with a minimum 12-week intervention period were included. This cut-off was chosen because our interest was in ‘chronic’ effects relevant to primary/primordial prevention rather than purely mechanistic or therapeutic effects. For the same reasoning, we also excluded trials aiming for weight-loss and calorie restriction.

When more than one publication on an outcome was available for the same study/cohort, we included the one with the most participants/cases, the longest follow-up period or the one with most detailed data relevant to our research question.

Information sources and search strategy

A research librarian at the medical library at the University of Oslo, Oslo, Norway, performed a comprehensive literature search of MEDLINE (Ovid), Embase (Ovid), Cochrane Central Register of Controlled Trials, and Scopus, for publications up to September 20, 2021.

The search strategy (Supplementary file) was developed in collaboration with the authors, led by EKA, BT and AÅ, and was peer-reviewed by research librarians at Karolinska Institute, Stockholm, Sweden. There were no date or language limitations in the search strategy. ‘Grey literature’ or conference abstract searches or were not performed, as they would not have allowed for thorough RoB assessments (30).

Selection and data collection process

Four of the SR authors (EKA, BT, CLA, FS) screened and selected studies for inclusion/exclusion, working independently. Screening of titles and abstracts was performed with the web-based Rayyan (https://rayyan.qcri.org) before full-text article screening. Reference lists from included articles and previous SRs were also scrutinized for potentially eligible studies. Disagreements about inclusion/exclusions were resolved until consensus together with a senior team member.

Data from full-text papers were extracted in standardized extraction forms by three reviewers (EKA, FS and BN) working independently, and harmonized by EKA. We extracted information regarding study design, participant characteristics and settings, interventions/exposures (i.e. type of nuts), endpoints, number of cases per endpoint, analytic approaches and results (unadjusted and adjusted estimates). Nutrition-specific elements, such as intake levels (‘dose’) and dietary assessment methods, were also extracted. Correspondence by e-mail with the primary research authors was attempted to retrieve data considered necessary for meta-analyses. We received additional data from four studies (3437).

Study risk of bias assessment

Risk of bias was appraised in duplicate by several reviewers working independently before a final harmonization.

We used the Cochrane Risk of bias 2.0 tool for RCTs, which assesses selection bias (arising from the randomization process), performance bias (deviation from the intended interventions), detection bias, attrition bias, and selective reporting bias (38). For crossover RCTs, also period and carryover effects were considered. Each domain and the summary RoB were judged as either low, ‘some concern’ or high RoB, according to the RoB 2.0 algorithms.

For observational studies, the assessment was based on the ‘Risk of Bias for Nutrition Observational Studies’ (RoB-NObS) tool developed by the Nutrition Evidence Systematic Review (NESR). RoB-NObS in turn builds on the ROBINS-I and the causal inference framework (consistency, positivity, exchangeability), based on a ‘target trial’, meaning that the studies are assessed against a hypothetical high-quality, randomized trial with little confounding and other sources of bias (39, 40). The domains appraised with RoB-NObS are confounding, selection of participants, classification of interventions/exposures, deviations from intended interventions/exposures, missing data, measurement of outcomes, and selection of the reported result. An overall RoB was judged as low, moderate, serious or critical.

Synthesis methods

In accordance with the protocol, studies were pooled in meta-analyses if there were at least five studies reporting the same exposure and type of outcome, to be able to reliably assess between-study heterogeneity (41). Quantitative syntheses were performed for overall CVD/CVD mortality; CHD/CHD mortality; total stroke/stroke mortality; ischaemic stroke; T2D, and among the cardiometabolic risk factors total cholesterol (total-C), LDL-cholesterol (LDL-C) and blood pressure. Subgroup and sensitivity analyses were performed if at least 10 studies were included in the meta-analysis. If a cohort study reported results for separate subgroups (e.g. by sex) with similar exposures and outcomes, the results were first meta-analysed with a fixed-effect model for the main analyses (4244). Estimates for non-fatal and fatal events within studies were pooled for the meta-analyses on total CVD, CHD and stroke events. Separate results for ischaemic and haemorrhagic stroke were also pooled for the meta-analysis on total stroke.

The cohort studies were meta-analysed by a random-effects model, accounting for both within- and between-study variances estimated with the restricted maximum-likelihood (REML) method. A random-effects analysis does not assume one true effect but estimates the mean of a distribution of effects. In one instance (45), odds ratios were converted to risk ratios (46), otherwise hazard ratios (HR) and relative risk (RR) were considered equivalent (47) and expressed as RRs. HR/RRs and their 95% confidence intervals (CI) or standard errors were log-transformed and summarized to assess the highest versus lowest consumption categories and dose-response relationships. Studies only reporting linear effect estimates (e.g. per serving/day) were excluded from the ‘high versus low’ meta-analyses but were included in the dose-response analyses. All analyses were performed with Stata/SE version 17.0 (StataCorp LLC, College Station, Texas, USA).

Linear dose-response analyses were performed based on the method by Greenland and Longnecker (48) and Orsini et al. (49) to estimate associations up to 30 g/day [approximately one ‘handful’ (50)] intake of total nuts (or 10 g/day intake of specific nuts), with the covariances estimated by the Greenland and Longnecker method (48, 49), which were then pooled in the random-effects meta-analyses as described above.

In addition to the log RRs and 95% CI per intake category, the dose-response analyses required the doses per category and the distribution of person-years and cases within each study. We used the mean or median grams of nuts per category, if reported. If the nut intake in each category was expressed as a range, we defined the intake as the midpoint of the range. If the upper and/or lower intake category was open-ended, we assumed the intake range had the same width as that of the adjacent category. When nut consumption was expressed as servings or frequency, we assumed that one serving equalled 28 g (1 oz), if not otherwise specified. When the doses were reported as % of total energy intake (E%), the corresponding g/day were estimate with energy values according to the Norwegian food composition table (e.g. walnuts = 6.8 kcal/g) (51). We considered the lowest consumption category as the reference in each study; if a study used a different category as reference, the effect estimates and 95% CIs were recalculated as per Hamling et al. (52). When studies had already reported a linear dose-response trend, with CI or standard error, this was used directly. Missing numbers of cases or person-years per category was estimated according to Greenland (53) or Aune (54).

Nonlinear dose-response trend analyses were conducted with a one-stage mixed-effects approach (55, 56) using the drmeta program in Stata, modelled with restricted cubic splines with three knots fixed at the 10th, 50th and 90th percentiles of exposure (57). Departure from linearity was examined by Wald-type χ2 tests against the null-hypothesis that the coefficient of the second spline equalled 0.

Effects of nuts and seeds interventions on total-C, LDL-C and systolic blood pressure (SBP) were also examined in random-effects REML meta-analyses to estimate weighted mean differences and 95% CI between nut consumption and control. Mean differences and their standard deviations (SD) between the intervention and control group at follow-up were the primary effects of interest. If differences at follow-up were not reported, change differences were used as measures of net differences, preferably differences in change from ANCOVA analyses or mixed models adjusting for baseline, if reported (5862). SDs in change were calculated from other measures of variance if not directly reported (60). For cross-over trials, we used results from paired analyses accounting for intra-individual correlation as reported, or calculated SDs with a correlation coefficient of 0.6, which is a conservative estimate (63, 64). Total-C and LDL-C reported in mg/dL was converted into mmol/L by dividing mg/ dL with 38.67.

For intervention studies with more than one intervention arm (e.g. with different doses), only one comparator was included in the meta-analyses. If different doses were used, we chose the intervention dose closest to 30 g, that is, the recommended intake. If both office and ambulatory blood pressure was reported, we included only office blood pressure, as this was the most used method.

For all meta-analyses, we assessed homogeneity between studies using the Cochran Q test (with P > 0.1 as a significance threshold), and used the I2 statistic (range 0–100) to quantify inconsistency, that is, the total variability explained by between-study heterogeneity. An I2 of ≥50% was considered to indicate ‘substantial’ and ≥75% ‘considerable’ heterogeneity (59). We also visually assessed Galbraith plots and excluded one study at the time to identify outliers and explore potential influences on the overall effect estimate. Heterogeneity was further explored post hoc in subgroup analyses and random-effects meta-regression analyses if there were at least 10 studies per exposure-outcome pair. Both clinical and methodological sources of heterogeneity were examined, that is, type of nuts, geographic region (Europe, USA, Asia, Australia or multinational), overall study RoB, study duration/follow-up time, and mean age at baseline. For the cohort studies, we also performed subgroup analyses according to adjustment for blood lipids or blood pressure/hypertension, which may be mediators of the associations. We also considered patient characteristics (e.g. metabolic syndrome) and baseline level of total-C, LDL-C or SBP in the RCTs as sources of heterogeneity.

To assess small study effects, visual inspection of funnel plots and Egger’s regression tests (significance level P > 0.1) were evaluated if there were at least 10 effect estimates (65). If applicable, the Duval and Tweedie trim-and-fill method was used to impute potentially missing studies due to publication bias.

Certainty assessment

An overall strength of evidence was judged per endpoint mainly based on RoB, inconsistency/heterogeneity and precision of the evidence (see 30, 31). This was only done for the primary outcomes, that is, CVD/CHD/IHD and T2D. We categorized the strength of evidence in line with the World Cancer Research Fund’s grading: ‘Convincing’, ‘Probable’, ‘Limited – suggestive’, ‘Limited – no conclusion’, ‘Substantial effects unlikely’. A convincing body of evidence implied that it was strong enough to support a causal relationship or lack of a relationship (30), and required that several conditions were met, such as evidence from more than one study type. The evidence for a causal relationship was considered as probable when there was evidence from at least two independent cohort studies, no unexplained heterogeneity between or within study types, high-quality studies (low RoB) to confidentially exclude possible random or systematic errors, and evidence for biological plausibility. If there was evidence for an association or effect from at least two independent cohort studies, a consistent direction of the effect and evidence for biological plausibility, the evidence was considered limited – suggestive. The evidence was considered limited – no conclusion if it was so limited that no firm conclusion could be made. On the other hand, if there was strong enough evidence to support that there is a convincing absence of a causal relationship, we considered that any substantial effects were unlikely.

Results

The systematic literature search identified a total of 23,244 references after duplicates were removed, out of which 140 were further assessed after the initial screening of titles and abstracts (Table 2 and Fig. 1). From reference lists of the papers assessed in full-text, another 7 were found eligible for full-text assessment (6672), resulting in 147 references assessed in full-text. A list of papers excluded after full-text assessment, and reasons for exclusion, is provided in Supplementary Table 1. Finally, 60 papers were extracted and included in qualitative assessments.

Table 2. Documentation of literature search
Database Number of retrieved references
MEDLINE (Ovid) 7,041
Embase (Ovid) 11,387
Cochrane Central Register of Controlled Trials (Wiley) 2,449
Scopus (Elsevier) 18,049
Number of references before deduplication: 38,926
Number of references after deduplication: 23,244

 

Fig 1
Fig. 1. Study selection flowchart.

Source: Page et al. (32).
*Some had more than 1 reason for exclusion.

Study characteristics

The 60 included papers represented 46 unique studies, of which 40 (27 individual cohorts) were prospective cohort studies (10, 3537, 4245, 68, 70100), two (one cohort) were case-cohort studies (101, 102) and 18 were RCTs (34, 103119). Characteristics of the cohort studies are described briefly in Table 3 and Supplementary Table 1, and the RCTs are described in Table 4.

Table 3. Selected characteristics of the included cohort studies1
Name of cohort (reference) Author (year) Country
Sex
Age
Sample size Exposures
Mean/median intake (if reported)
Outcomes measured Follow-up time (years) Overall RoB
Adventist Health Study (10) Fraser (1992) USA
62.6% female
Mean 52.5 years
26,473 Nuts CHD 6 Serious
ARIC (35, 85) Haring (2014) USA
55.8% female
45–64 years
12,066 Nuts and peanut butter
Median 0.2 servings/day
CHD 22 Moderate
Haring (2015) USA
55.9% female
45–64 years
11,601 Nuts and peanut butter
Median 0.21 servings/day
Stroke 22.7 Moderate
Blue Mountains Eye study (80) Gopinath (2015) Australia
55.9% female
Mean 65.4 years
2,893 Nuts CVD mortality
IHD mortality
Stroke mortality
15 Serious
EPIC (36, 95, 101, 102) Buijsse et al. (2015) 8 European countries
62.7% female
Mean 52.2 years
14,939 Nuts and seeds
Median 0.6 g/day
T2D 12.3 Serious
Ibsen (2020) 8 European countries
62% female
Median 53
15,450 Nuts versus red/processed meat T2D 12.3 Serious
Perez-Cornago (2021) 10 European countries
71.4% female
Mean 51.2 years
490,311 Nuts and seeds
Median 0.775 g/day
IHD 12.6 Serious
Tong (2020) Multinational (Europe)
66.5% female
Mean 51.2 years
418,329 Nuts and seeds
Median 0.8 g/day
Stroke 12.7 Serious
EPIC-Potsdam (71, 82) von Ruesten (2013) Germany
61.3% female
35–65 years
23,531 Nuts
Median 0.8 g/day
CVD
T2D
8 Serious
di Giuseppe (2015) Germany
59% female
Mean 51 years
26,285 Nuts
Median 0.82 g/day
Stroke 8.3 Serious
Golestan Cohort Study (81) Eslamparast (2017) Iran
57.5% female
Mean 52 years
49,112 Nuts
Mean 3.5 g/day in men, 2.6 g/day in women
CVD mortality 7 Serious
HPFS (73) Al-Shaar (2020) USA
100% male
40–75 years
43,272 Nuts versus red/processed meat CHD ≤30 Serious
Iowa Women’s Health Study (68, 78) Blomhoff (2006) USA
100% female
55–69 years
31,788 Nuts and peanut butter
Mean 2.37 servings/week
CVD mortality
CHD mortality
15 Serious
Parker (2003) 35,988 Nuts and peanut butter T2D 12 Serious
Isfahan Cohort Study (93) Mohammadifard (2020) Iran
51.2% female
Mean 50.7 years
5,432 Nuts CVD mortality 13 Moderate
Japan Public Health Center-based Prospective Study (87) Ikehara (2021) Japan
54% female
45–74 years
74,793 Peanuts CVD
IHD
Stroke
14.8 Serious
Linxian Nutrition Intervention Trial (99) Wang (2016) China
54.8% female
40–69 years
2,445 Nuts
Median 0.3 servings/month
CHD mortality
Stroke mortality
26 Serious
Million Veterans Program (89) Ivey (2021) USA
10% female
Mean 64 years
149,827 Nuts and peanut butter CVD mortality
CAD
Stroke
3.5 Serious
Moli-Sani study (79) Bonaccio (2015) Italy
53% female
Mean 54.7 years
19,386 Nuts CVD mortality 4.3 Serious
Netherlands Cohort Study (97, 98) van den Brandt (2015) The Netherlands
52.8% female
55–69 years
3,693 Nuts and peanut butter
Mean 8.1 g nuts/1.4 g peanut butter in men, 4.4 g nuts/1.2 g peanut butter in women
CVD mortality
IHD mortality
Stroke mortality
10 Moderate
van den Brandt (2019) 3,202 Nuts versus meat CVD mortality 10 Moderate
NHS (76, 94) Bernstein (2010) USA
100% female
30–55 years
84,136 Nuts CHD ≤26 Moderate
Pan (2013) USA
100% female
35–77 years
137,956 Nuts
Mean 3.36 g/day
T2D 10 Serious
NHS & HPFS (42, 77, 92, 100) Bernstein (2012) USA
66% female
30–75 years
127,160 Nuts Stroke ≤26 Serious
Guasch-Ferré (2017) USA
80% female
25–75 years
210,836 Nuts and peanut butter CVD
CHD
Stroke
≤32 Serious
Liu (2021) USA
71.8% female
30–75 years
93,340 Walnuts CVD mortality ≤20 Moderate
Wurtz (2021) USA
81.4% female
25–75 years
148,853 Nuts and peanut butter versus red/processed meat T2D 4-year periods Serious
NIH-AARP study (75) Amba (2019) USA
43.6% female
Median 61.9 years
374,101 Nuts
Median 2.9 g/day
CVD mortality
T2D mortality
15.5 Serious
Physicians’ Health Study (74, 83, 86, 90) Albert (2002) USA
100% male
40–84 years
21,454 Nuts CHD 17 Serious
Djoussé (2010) 21,078 Nuts and peanut butter Stroke 21.1 Serious
Kochar (2010) 20,224 Nuts T2D 19.2 Serious
Hshieh (2015) 20,742 Nuts and peanut butter
Median 1 serving/week
CVD mortality
CHD mortality
Stroke mortality
9.6 Serious
PREDIMED (84) Guasch-Ferré (2013) Spain
58% female
Mean 67 years
7,216 Nuts CVD mortality 4.8 Moderate
PURE (96) De Souza (2020) 16 countries
57.6% female
35–70 years
85,713 Nuts
Mean 6.4 g/day
CVD
MI
Stroke
9.5 Moderate
SCCS/SMHS/SWHS (43) Luu (2015) USA & China
56.6% female
40–79 years
206,029 Nuts and peanut butter, only peanuts in SMHS/SWHS
SCCS: Mean 12.25 g/day, SMHS/SWHS: 2 g/day
CVD mortality
IHD mortality
Stroke mortality
T2D mortality
5.4–12.2 Moderate
Cohort of Swedish Men/Swedish Mammography Cohort (91) Larsson (2018) Sweden
46.4% female
Mean 57.7 years
61,364 Nuts MI
Ischaemic stroke
17 Moderate
SWHS (70) Villegas (2008) China
100% female
40–70 years
64,191 Peanuts
Mean 1.5 g/day
T2D 4.6 Moderate
Takayama Study (44) Yamakawa (2021) Japan
54% female
≥35 years
29,079 Nuts
Mean 1.8 g/day in men, 1.5 g/day in women
CVD mortality 13.7 in men, 14.4 in women Moderate
Tehran Lipid and Glucose Study (45) Asghari (2017) Iran
53.6% female
Mean 40.1 years
1,984 Nuts and seeds
Median 1.19 servings/week
T2D 6.2 Serious
Women’s Health Initiative (37, 72) Sun (2021) USA
100% female
50–79 years
102,521 Nuts and seeds
Median 0.2 oz-equivalents/day
CVD mortality 18 Moderate
Yaemsiri (2012) 87,025 Nuts Ischaemic stroke 7.6 Moderate
Women’s Health Study (88) Imran (2021) USA
100% female
Mean 54.6 years
39,167 Nuts CVD mortality 19 Moderate
1Abbreviations: CHD, coronary heart disease; CVD, cardiovascular disease; HPFS, Health-Professionals’ Follow-up Study; IHD, ischaemic heart disease; MI, myocardial infarction; NHS, Nurses’ Health Study; RoB, risk of bias; SMHS/SWHS, Shanghai Men’s/Women’s Health Study; T2D, type 2 diabetes; PURE, Prospective Urban and Rural Epidemiology study.

 

Table 4. Characteristics of randomized controlled trials1
Author (year) (reference) Design Country Population Outcome(s) Intervention Intervention dose Control Sample size (analysed) Duration Overall RoB Funding
Al Abdrabalnabi (2020) (103) Parallel USA & Spain WAHA study; age 62–79 years; normotensive or mild hypertension, low CVD risk Blood pressure, HDL-C, TG, glucose Walnuts 15 E% (i.e., 30, 45 or 60 g/day) No walnuts. I: 319
C: 306
2 years Some concerns Industry
Barbour (2015) (104) Crossover Australia Healthy, overweight; mean age 65 years Lipids, glucose, insulin sensitivity Peanuts 15–20 E% (i.e. 84 g/day for men, 56 g/day for women) No nuts 61 12 weeks Some concerns Mixed
Bashan & Bakman (2018) (105) Parallel Turkey Adults with dyslipidaemia; mean age 41 years Lipids Walnuts + AHA dietary guidelines ‘One handful’ (40–50 g) AHA dietary guidelines I: 73
C: 72
12 weeks High Agency
Casas-Agustench (2011) (106) Parallel Spain Adults with metabolic syndrome, mean age 52 years Lipids, glucose, insulin resistance Walnuts, hazelnuts and almonds + prudent diet 30 g/day No nuts/peanuts + prudent diet I: 25
C: 25
12 weeks Some concerns Mixed
Coates (2020) (107) Parallel Australia Adults with overweight/obesity; 50–80 years Blood pressure, lipids, glucose insulin resistance Almonds 15 E% 6 days/week Carbohydrate-rich snack foods; no nuts I: 63
C: 64
12 weeks Low Industry
Gulati (2014) (34) Parallel India Adults with metabolic syndrome; mean age 42.5 years Lipids, glucose, HbA1c Pistachio nuts 20 E% Dietary guidelines I: 30
C: 30
24 weeks Some concerns Industry
Hernandez-Alonso (2014) (108) Crossover Spain Adults with prediabetes; age 25–65 years Blood pressure, lipids, glucose, insulin resistance Pistachio nuts + isocaloric individual diet 2 oz (57 g)/day Other fatty foods, mostly olive oil + isocaloric individualized diet 54 16 weeks Some concerns Industry
Hunter (2021) (109) Parallel USA Healthy adults; BMI ≥27 kg/m2; mean age 37 years Lipids, glucose, HbA1c, insulin resistance Almonds for breakfast and snack + avoid other nuts 1.5 oz (42 g)/day Habitual breakfast and snack I: 69
C: 65
6 months Low Industry
Hwang (2019) (110) Crossover Korea Adults with metabolic syndrome; mean age 39.4 years Blood pressure, lipids, glucose, HbA1c Walnuts 45 g/day White bread 84 16 weeks High Industry
Kasliwal (2015) (111) Parallel India Adults with dyslipidaemia Blood pressure, lipids, gluose Pistachio nuts + TLC diet 40 g shelled No nuts + TLC diet I: 21
C: 21
12 weeks High NI
Liu (2018) (112) Parallel Korea Young, healthy adults; age 20–39 years, BMI 17–30 kg/m Blood pressure, lipids Almonds, as snacks or pre-meal 56 g/day High-carbohydrate foods, isocaloric I: 57
C: 28
20 weeks High Industry
Madan (2021) (113) Parallel India Adolescents and young adults with metabolic dysfunction (i.e. prediabetes or insulin resistance); age 16–25 years Lipids, glucose, insulin resistance Almonds 20 E%/56 g/day Isocaloric Indian savory snacks I: 107
C: 112
12 weeks High Industry
Njike (2015) (114) Crossover USA Adults at high risk for diabetes (e.g. metabolic syndrome); mean age 54.9 years Blood pressure, lipids, glucose, HbA1c Walnuts with or without calorie-adjustment 56 g/day No walnuts 97 6 months Some concerns Industry
Tey (2013) (115) Parallel New Zealand Healthy, BMI ≥25 kg/m2, mean age 42.5 years Blood pressure, lipids Hazelnuts 30 g and 60 g Habitual diet, no nuts I 30 g: 33
I 60 g: 37
C: 37
12 weeks Some concerns NI
Torabian (2010) (116) Crossover USA Healthy adults with normal to moderately high serum cholesterol; mean age 54 years Lipids Walnuts 12 E% (28–64 g/day) Habitual diet 87 6 months Some concerns Industry
Wang, D (2021) (117) Parallel China Subjects with or at risk for metabolic syndrome; mean age 46.2 years Blood pressure, lipids, glucose Peanuts 20 E%/56 g/day White rice bars, isocaloric I: 109
C: 100
12 weeks Low Mixed
Wang, J (2021) (118) Parallel USA Healthy, BMI 27–35 kg/m; age 30–68 years. Blood pressure, lipids Mixed nuts (almonds, cashew nuts, hazelnuts, macadamia, pecan, pistachio, walnuts) 1.5 oz/d Pretzel snack I: 56
C: 39
24 weeks (12 weeks hypo-caloric, 12 weeks eucaloric) High Industry
Wang, X (2012) (119) Parallel China Subjects with metabolic syndrome; age 25–65 years Blood pressure, lipids, glucose Pistachio nuts + AHA Step I diet Recommended serving: 42 g/day
Higher serving: 70 g/day
No pistachio nuts + AHA Step I diet I 42 g: 27
I 70 g: 29
C: 30
12 weeks Some concerns Industry
1Abbreviations: AHA, American Heart Association; C, control group; HbA1c, glyacted haemoglobin; HDL-C, high-density lipoprotein cholesterol; I, intervention group; TLC, therapeutic lifestyle changes.

Among the cohort studies, published between 1992 and 2021 (Table 3 and Supplementary Table 2), the total number of participants per study ranged from 1984 to 490,311 (median 35,988), providing 1,890,573 participants in the individual cohorts. Follow-up time ranged from 3.5 years up to 32 years. There were six reports including different exposures/outcomes from the Health Professionals’ Follow-up Study/Nurses’ Health studies (HPFS/NHS) (42, 73, 76, 77, 94, 100), four from the European EPIC study (36, 95, 101, 102), four from the Physicians’ Health Study (74, 83, 86, 90) and two each from the Atherosclerosis Risk in Communities (ARIC) (35, 85), EPIC-Potsdam (71, 82), the Netherlands Cohort (97, 98), Iowa Women’s Health (68, 78) and the Women’s Health Initiative studies (37, 72).

Five cohorts (in eight publications) included only females (37, 68, 70, 72, 76, 78, 88, 94) and two (in five publications) included only males (73, 74, 83, 86, 90). Most cohorts were from the US (10, 35, 37, 42, 43, 68, 72, 73, 7578, 83, 85, 86, 8890, 92, 94, 100), followed by Asia (4345, 70, 81, 87, 93, 99) and Europe (36, 71, 79, 82, 84, 91, 95, 97, 98, 101, 102), while one cohort was Australian (80) and 1 included 16 countries from all 5 continents (96). The nuts or seeds examined were usually unspecified (here designated ‘total nuts’, including seeds and nut butter) while peanuts and/or walnuts were separately reported in seven studies (42, 44, 70, 81, 87, 92, 94, 97). Seeds were explicitly grouped with nuts in only four studies (36, 37, 45, 75, 95, 101, 102). Intake was assessed by food frequency questionnaires in all studies, and only at baseline in all but six cohorts (35, 42, 70, 73, 76, 77, 84, 85, 9294, 100). Most studies adjusted for intake of other food groups while six also adjusted for predefined diet quality scores (79, 80, 84, 88, 89, 100). Several studies adjusted for risk factors that are possibly mediators of the associations between nut consumption and CVD, including hypercholesterolaemia and hypertension. The populations had in general a low consumption; we calculated the intake of total nuts as median 4 g/day. All meta-analyses had total nuts and seeds (i.e. unspecified) as exposure. Due to few studies of individual types of nuts/seeds, only peanuts were assessed separately, in one meta-analysis of CVD. All cohort studies reported public funding, but a few were also funded by industry grants (76, 84, 94, 96).

The RCTs, all published between 2010 and 2021, analysed between 42 and 625 participants each, for a total N of 2,336 (study characteristics in Table 4). No RCT reported disease incidence. The RCTs used almonds (n = 4), hazelnuts (n = 1) peanuts (n = 2), pistachio nuts (n = 4) and walnuts (n = 5) while two trials used a mixed nuts intervention. Median duration was 12 weeks (range from 12 weeks and 2 years). Thirteen trials had a parallel design while five were crossover trials [of the latter, Njike et al. (114) used a Latin square design with both a parallel and cross-over design]. The trials were performed in Australia (104, 107), New Zealand (115), China (117, 119), India (34, 111, 113), Korea (110, 112), Spain (106, 108), Turkey (105), and the US (109, 114, 116, 118), while one study included both Spanish and US participants (103). According to the authors’ descriptions, the participants were generally healthy (103, 104, 107, 109, 112, 115, 116) or were diagnosed having dyslipidemia (105, 111), the metabolic syndrome (34, 106, 110, 114, 117, 119) or prediabetes (108, 113). Mean BMI ranged from 22.3 to 33.4 kg/m2 (median 30 kg/m2) and was ≥30 kg/m2 in nine trials (34, 104107, 109, 113115).

In one study, the intervention group was instructed to substitute nuts for other foods, while others were only given general dietary advice or maintained their habitual diet. The control groups were usually only instructed to avoid nuts and otherwise follow similar dietary guidelines as the intervention groups. In some trials, the control groups were provided with iso-caloric carbohydrate-rich or savory snacks (107, 112, 113, 117, 118), while two replaced nuts with either fat-rich foods (108) or with white bread as control (110). Due to our eligibility criteria, no groups were on hypocaloric diets, but in one study with four arms, two of the groups were instructed to adjust calorie intake while the others consumed their diets ad libitum (114). Changes in total energy intake was often not reported, but increased significantly in the nut groups in five trials (103, 104, 109, 115, 116). Where reported, there were no significant effects on mean body weight between the intervention and control groups (34, 105109, 111115, 117119) except for a 0.5 [standard error (SEM) 0.2] kg increase in the peanut versus control group in one trial (104). Most RCTs were funded by industry while three had mixed funding (104, 106, 117), one reported only public funding (105) and one had no information (115).

Risk of bias assessment

The summary RoB assessments of the included studies are shown in Figs. 2 and 3, and on study level in Supplementary Figs. 1 and 2. Due to the possibility of confounding and selection bias, no cohort study had a low RoB in all domains, and hence no low overall RoB. None had critical RoB in any domain.

Fig 2
Fig. 2. Summary risk of bias per domain in cohort studies.

Fig 3
Fig. 3. Summary risk of bias per domain in randomized controlled trials. Top: parallell studies, bottom: crossover studies.

Among the RCTs, most had a low RoB in the domains of missing outcome data, deviations from the intended interventions and selective reporting. Only three were rated with a low overall RoB. The most frequent reason for rating RoB as ‘high’ was due high rates of drop-outs while missing intention-to-treat (ITT) analysis (110112, 118).

Synthesis of results

Of the cohort studies, 23 (32 reports) were included in at least one meta-analysis on CVD, CVD mortality, CHD, CHD mortality, stroke, stroke mortality, ischaemic stroke and T2D (10, 3537, 4245, 68, 71, 74, 75, 78, 8091, 9397, 99, 101). The total number of participants per meta-analysis was 1,295,163 for overall CVD, 1,186,541 for CHD, 1,081,742 for stroke and 211,091 for T2D. Two reports involved a sub-cohort of the multinational EPIC study, and were therefore excluded from meta-analyses that already included the overall EPIC cohort reporting on the same outcome (71, 82). All study results are presented in detail Supplementary Tables 3–6. Figure 4 is a summary forest plot of all the outcomes meta-analysed where high versus low consumption were compared. Inverse associations were reported for all the outcomes, while the upper CI included 1.00 for stroke mortality, ischemic stroke and T2D. The forest plots of study-specific and overall effect sizes per outcome are shown in Supplementary Fig. 3A-I.

Fig 4
Fig. 4. Summary forest plot of pooled relative risk estimates for associations between high versus low total nuts/seeds consumption and risk of cardiometabolic disease. Meta-analyses were performed with random-effects restricted maximum likelihood models. I2 = heterogeneity (%).

All 18 RCTs were included in meta-analyses of total and LDL-C, systolic and diastolic blood pressure (DBP). Results for fasting glucose, HbA1c and HOMA-IR are presented in Supplementary Tables 9–11.

Total nuts/seeds and cardiovascular disease

The meta-analysis of high versus low consumption of total nuts and total CVD included 15 studies (61,028 incidents or deaths) (Table 5 and supplementary Fig. 3A). The summary RR was significantly lower in the high versus low consumers; RR 0.81 (95% CI 0.75, 0.86, P < 0.0001), although there was substantial heterogeneity (I2 = 67%, pheterogeneity < 0.0001). Excluding one study at the time did not appreciably modify the result (RR range from 0.79 to 0.83) (Supplementary Fig. 4A). Subgroup analyses (shown in Supplementary Table 12) revealed only minor non-significant differences by region, sex, duration of follow-up, RoB and adjustment for cholesterol/hypercholesterolaemia or hypertension. Mean/median age was not associated with the effect size.

Table 5. Summary results from meta-analysis of cohort studies1
Outcome N studies Median follow-up time (years) N cases Relative risk (95% CI) High versus low consumption Heterogeneity (I2, P)
Total nuts
CVD 15 11.2 61,028 0.81 (0.75, 0.86) 67.0%, P < 0.001
CVD mortality 15 11.2 44,792 0.77 (0.72, 0.82) 59.3%, P < 0.001
CHD 13 15 40,549 0.82 (0.76, 0.89) 64.0%, P < 0.01
CHD mortality 8 15 8,568 0.75 (0.65, 0.87) 66.9%, P < 0.01
Nonfatal CHD 6 13.25 22,553 0.85 (0.75, 0.96) 62.2%, P < 0.01
Stroke 10 12.7 22,635 0.91 (0.85, 0.97) 24.8%, P = 0.349
Ischaemic stroke 7 17 15,421 0.94 (0.85, 1.03) 36.5%, P = 0.247
Stroke mortality 6 9.8 2,566 0.87 (0.76, 1.00) 0.0%, P = 0.599
T2D 5 12 24,087 0.95 (0.75, 1.21) 82.25%, P = 0.003
Peanuts
CVD 5 14 25,834 0.83 (0.79, 0.88) 36.0%, P = 0.23
1Abbreviations: CHD, coronary heart disease; CVD, cardiovascular disease; T2D, type 2 diabetes.

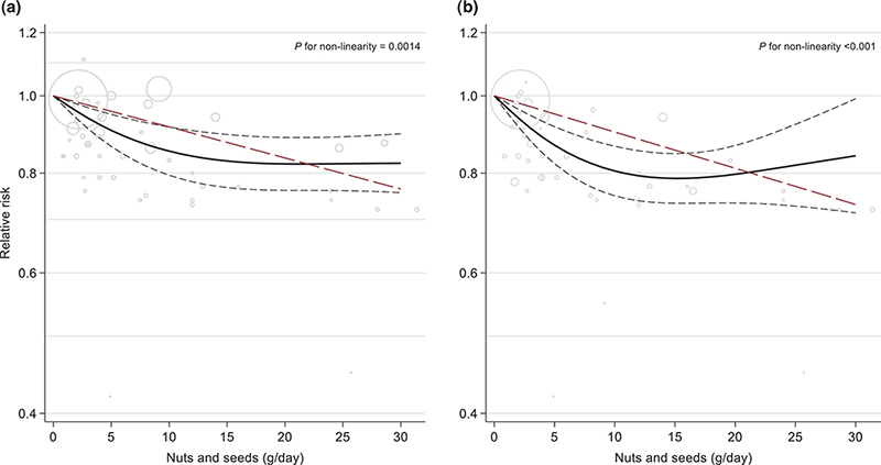
In the dose-response analysis, one additional study was included (71). Assuming a linear dose-response, the RR for total CVD was 0.76 (95% CI 0.68, 0.86, P < 0.0001) per 30 g/day, while the non-linear analysis suggested a levelling off at 17 g/day (RR (95% CI) per 30 g/day = 0.82 (0.76, 0.90), P for non-linearity = 0.0014) (Fig. 5A).

Fig 5
Fig. 5. Linear (red, dashed line) and non-linear dose-response (black lines with confidence intervals) association between total nuts and seeds consumption and risk of total cardiovascular disease (panel A; 16 studies) and cardiovascular disease mortaltiy (panel B; 15 studies) in cohort studies, with 0 g/day as reference. Circles show the effect estimates for each level of intake in the individual studies, weighted by the inverse of the standard errors. Vertical axes are log scaled.

Focusing on CVD deaths alone (15 studies with 44,792 cases), the corresponding RR comparing the high versus low consumption categories of total nuts was 0.77 (95% CI 0.72, 0.82, P < 0.0001), with high heterogeneity (I2 = 59.34%, pheterogeneity < 0.0001). Omitting Sun et al. from this analysis removed most of the heterogeneity and yielded only a slightly different effect estimate; RR 0.74 (95% CI 0.71, 0.78, I2 = 16.07, pheterogeneity = 0.36) (Supplementary Fig. 4B). Again, there were no significant subgroup differences or modification by age (Supplementary Table 13). The RR per 30 g/day was 0.73 (95% CI 0.67, 0.80, P < 0.0001) in the linear dose-response analysis (15 studies), and 0.84 (0.71, 0.99) per the non-linear analysis (P for non-linearity < 0.001) (Fig. 5B).

One study was not included in the meta-analyses as the results were only reported for nut consumers (defined as ≥2 servings/month) versus non-consumers (79). Nut consumers had a HR for CVD mortality of 0.87 (95% CI: 0.57, 1.32) during a median follow-up time of 4.3 years.

Total nuts/seeds and coronary heart disease

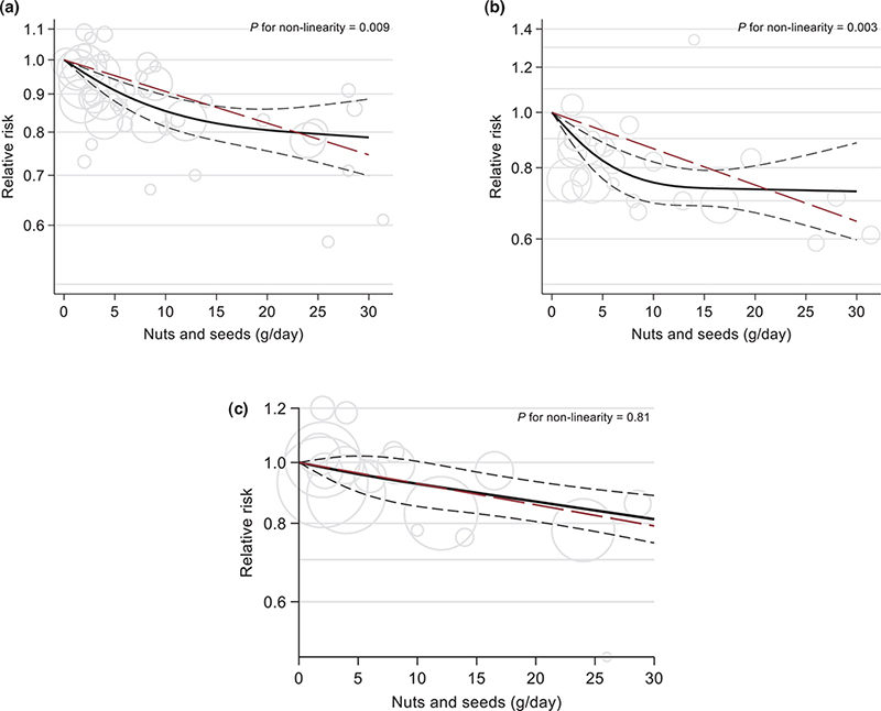
Incidence or deaths from CHD was reported in 18 publications (10, 35, 42, 43, 73, 74, 76, 78, 80, 86, 87, 89, 91, 93, 9597, 99). Of these, 13 studies (encompassing 40,549 events) were included in a meta-analysis, suggesting a significantly reduced risk associated with high versus low nut consumption (RR 0.82, 95% CI 0.76, 0.89, P < 0.0001; (I2 = 64.0%, pheterogeneity = 0.0014) (Table 5 and supplementary Fig. 3C). Some heterogeneity was explained by Fraser et al. (10), but the summary RR and significance level were practically unchanged by excluding this in a sensitivity analysis (RR = 0.84, 95% CI 0.79, 0.90) (Supplementary Fig. 4C). The inverse estimate was more pronounced in studies from the US (RR 0.76, 95% CI 0.67, 0.85), but there were few studies from other regions. Studies with <10 years of follow-up did show a stronger association (RR 0.71, 95% CI 0.59, 0.85) than those with ≥10 years of follow-up (P = 0.04) but there was no significant linear association between years of follow-up and the effect size. Other subgroup differences were not found (Supplementary Table 14). In dose-response analysis of 14 studies (40,904 events), the summary RR (95% CI) per 30 g/day was 0.75 (0.68, 0.82) in the linear and 0.79 (0.70, 0.89) in the non-linear assessment (Fig. 6A).

Fig 6
Fig. 6. Linear (red, dashed line) and non-linear dose-response (black lines with confidence intervals) association between total nuts and seeds consumption and risk of total coronary heart disase (panel A; 14 studies), coronary heart disease mortality (panel B; 9 studies) and nonfatal coronary heart disase (panel C; 6 studies) in cohort studies, with 0 g/day as reference. Circles show the effect estimates for each level of intake in the individual studies, weighted by the inverse of the standard errors. Vertical axes are log scaled.

For CHD mortality (8 studies with 8,568 deaths) there was a stronger association between high versus low nut consumption, RR 0.75 (95% CI 0.65, 0.87, P < 0.001; I2 = 66.92, pheterogeneity = 0.008) (Table 5 and Supplementary Fig. 3D). Excluding the study by Larsson et al. (91), which showed an opposite trend, had little effect on the summary effect estimate (RR 0.72, 95% CI 0.64, 0.93) (Supplementary Fig. 4D). One study that was not included in the meta-analysis found a HR of 0.74 (95% CI 0.38, 1.45) between consumption of ≥2 servings/month versus no consumption (79). A dose-response analysis of nine studies found a pooled RR of 0.64 (95% CI 0.58, 0.72) per 30 g/day in the linear analysis, but there was evidence (P = 0.003) of a non-linear association, indicating a flattening at intakes ≥18 g/day (RR 0.73, 95% CI 0.60–0.88) (Fig. 6B).

Restricting the outcome to only non-fatal CHD events (six studies with in total 22,553 events) also showed a significant association (high vs. low RR = 0.85, 95% CI 0.75, 0.96, P = 0.009; I2 = 62.24, pheterogeneity = 0.008). The RR per 30 g/day was 0.79 (95% CI 0.70, 0.89), and this association did not appear to be non-linear (P for non-linearity = 0.8095) (Fig. 6C).

Total nuts/seeds and stroke

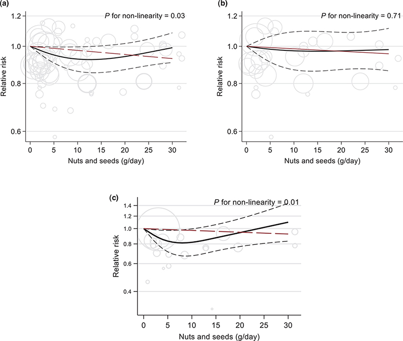
For stroke (10 studies with 22,635 incident events or deaths), high versus low consumption of total nuts was associated with a small reduction in total stroke (summary RR 0.91, 95% CI 0.85, 0.97, P = 0.007) (Table 5 and Supplementary Fig. 3F). There was no significant heterogeneity (I2 = 24.84%, P = 0.349), but in a sensitivity analysis excluding Tong et al., the largest study, the 95% CI would include 1 (Supplementary Fig. 4F). There were no significant differences regarding follow-up time, region, sex, RoB or adjustment for risk factors (Supplementary Table 15). The association was marginally stronger for stroke mortality (six studies; RR 0.87, 95% CI 0.76, 1.00, P = 0.044; I2 = 0%, phetereogeneity = 0.60) (Supplementary Figs. 3G and 4G). In the only study that was not included in the meta-analysis, there was no association for stroke mortality (HR 0.98, 95% CI0.36–2.66 per ≥2 servings/month versus none). For ischaemic stroke, the summary result was not significant (summary RR 0.94, 95% CI 0.85, 1.03, P = 0.171; I2 = 36.45, pheterogeneity = 0.247) in seven studies (Supplementary Figs. 3H and 4H).

Among 11 studies included in dose-response analyses, there was a non-significant dose-response relationship between total nuts and stroke [per 30 g/day, RR 0.93 (95% CI 0.83–1.04, P = 0.19)]. The non-linear analysis indicated a somewhat U-shaped association, with a nadir between 11 and 14 g/day and a null association at 30 g/day (RR 0.99, 95% CI 0.91, 1.08) (Fig. 7A). Similar lack of any dose-response association was found for ischaemic stroke (RR 0.96, 95% CI 0.82, 1.13 per 30 g/day, P = 0.664) (Fig. 7B), while for stroke mortality the association appeared to be non-linear and J-shaped (P for non-linearity = 0.01) with a lower RR up to 7–9 g/day (RR 0.81), but the CI were wide (RR per 30 g/day = 1.10 (0.83, 1.45)) (Fig. 7C).

Fig 7
Fig. 7. Linear (red, dashed line) and non-linear dose-response (black lines with confidence intervals) association between total nuts and seeds consumption and risk of total stroke (panel A; 11 studies), ischaemic stroke (panel B; 8 studies) and stroke mortality (panel C; 6 studies) in cohort studies, with 0 g/day as reference. Circles show the effect estimates for each level of intake in the individual studies, weighted by the inverse of the standard errors. Vertical axes are log scaled.

Total nuts/seeds and type 2 diabetes

For high versus low consumption of total nuts, five studies of T2D (24,389 incident cases) were pooled (45, 68, 90, 94, 101). The summary RR between the high versus low intake categories was 0.95 (95% CI 0.75, 1.21, P = 0.69), and the heterogeneity was considerable (I2 = 82.25%, pheterogeneity = 0.003) (Table 5 and Supplementary Fig. 3I). In particular, the study by Parker et al. (68) found a harmful association, and excluding this would yield a RR of 0.88 (95% CI 0.75, 1.03; I2 = 55.63, phetereogeneity = 0.08) (Supplementary Fig. 4I). There was no significant dose-response association and no evidence of non-linearity (Fig. 8).

Fig 8
Fig. 8. Linear (red, dashed line) and non-linear dose-response (black lines with confidence intervals) association between total nuts and seeds consumption and risk of type 2 diabetes in cohort studies (five studies), with 0 g/day as reference. Circles show the effect estimates for each level of intake in the individual studies, weighted by the inverse of the standard errors. Vertical axis is log scaled.

Two additional studies assessed T2D mortality alone. Neither Luu et al. nor Amba et al. found any overall association with nut/peanut consumption (43, 75).

Types of nuts or seeds

Associations between peanut consumption and overall CVD were reported in five cohorts with 27,512 cases (4244, 87, 97) (Supplementary Fig. 5A). The summary RR for CVD was 0.83 (95% CI: 0.79, 0.88) in the highest category (median 4.4 g/day), with a modest degree of heterogeneity (I2 = 35.99%, P = 0.23). Considering the limited range of consumption, the dose-response analysis (P for non-linearity = 0.0228) indicated a significant risk reduction up to ~3 g/day (RR 0.84, 95% CI: 0.77, 0.92), and no significant association from ≥8 g/day (Supplementary Fig. 5B).

Due to few studies, no other meta-analyses of specific nuts or seeds were performed. However, four studies reported associations between peanut consumption and risk of CHD and stroke (42, 43, 87, 97), of which three reported a significantly reduced risk of CHD in the highest consumption category (42, 43, 97), while all four found a significantly reduced risk (from 10 to 29% reduction) of stroke. Villegas et al. (70) found a lower risk of T2D with higher intakes of peanuts, but two other studies found no significant associations (43, 94).

Walnuts were reported in only two cohorts for CVD, that is, the HPFS/NHS (42, 92) and PREvención con DIeta MEDiterránea trial (PREDIMED) (84) and only in the HPFS/NHS for CHD, stroke and T2D (42, 94). For all endpoints, walnut intake was significantly, inversely associated with risk.

Regarding peanut butter, no studies reported any significant associations with overall CVD (42, 75, 97), CHD (42, 97), stroke (42, 89, 97) or T2D (68), although several other studies included peanut butter in the definition of total nuts. No studies reported separate results for seeds alone.

Replacement of other foods with nuts

Hypothetical substitutions of nuts for other dietary protein sources (mainly red meat) were reported in eight reports from five different cohorts (35, 37, 73, 76, 77, 98, 100, 102). The results for replacing total/processed red meat with nuts is illustrated without meta-analysis in Fig. 9.

Fig 9
Fig. 9. Associations of nuts versus meat consumption and cardiometablic endpoints from substitution models in cohort studies.

Replacing 1 serving/day of total red meat with nuts was associated with a lower risk of CHD and stroke in the HPFS and NHS (73, 76, 77), CVD mortality in the Women’s Health Initiative cohort study (37) and T2D in the EPIC-InterAct and the HPFS/NHS (100, 102). Regarding processed meat, van den Brandt also found a 38% lower risk of CVD per 50 g/day replacement (98).

Replacement of both processed and unprocessed meat with nuts was associated with a lower risk of CHD in the HPFS (by 15 and 11% per serving/day, respectively) (73), but not in ARIC (35). There were also no significant associations between replacement of other protein sources with nuts and CHD in the ARIC study (35), while Sun et al. found a significantly lower risk of CVD mortality per 2 oz-equivalent of nuts and seeds compared with both eggs (HR = 0.44), dairy products (HR = 0.81) and legumes (HR = 0.70) (37).

Effects of nuts on blood lipids

In total, 17 RCTs on TC and 16 RCTs of LDL-cholesterol (LDL-C) were included in meta-analyses, with 1,710 and 1,602 participants, respectively. One of these studies included two comparisons, one with and one without energy-controlled diets.

Median TC level in the studies was 5.2 mmol/L (range 3.75–6.5 mmol/L). The summary mean difference at follow-up between the nut interventions and control groups was −0.15 (95% CI −0.22, −0.08, P < 0.0001) mmol/L (Fig. 10A). There was little heterogeneity between the studies (I2 = 31.25%, P = 0.086). Sensitivity analyses excluding one study one-by-one did not affect the overall effect estimate (Supplementary Fig. 4J). Excluding studies with a high overall RoB (105, 110–113, 118) changed the overall effect modestly (MD −0.13, 95% CI: −0.15, −0.11) but removed all between-study heterogeneity.

Fig 10
Fig. 10. Forest plots of the effects of nut consumption on total cholesterol (A) and LDL-cholesterol (B) in randomized controlled trials, sorted by type of nut intervention. Effect sizes are weighted mean differences with 95% confidence intervals, in mmol/L. Analyses were performed with random-effects restricted maximum likelihood models.

Subgroup analyses (Supplementary Table 16) indicated a significant effect of specifically pistachio and walnuts (mean difference 0.20 mmol/L for both). Only two studies used mixed nuts (106, 118), both finding no significant effects. The effect was larger in two studies including patients with dyslipidemia, with an overall mean difference of −0.45 (95% CI: −0.67, −0.23), but there were no significant association with baseline TC or differences between studies with a mean baseline TC above versus below the median. There was no significant modification by study duration (continuously or 12 vs. ≥12 weeks) nor by amount of nuts or age.

In the studies assessing LDL-C, median baseline LDL-C was 3.26 mmol/L. Nut consumption lowered LDL-C by 0.13 mmol/L (95 CI −0.21 to −0.05, P < 0.0001) compared to no nuts (Fig. 10B). Heterogeneity in the result was substantial (I2 = 68.58%, P < 0.001). Sensitivity analyses excluding one study one-by-one did not affect the overall effect estimate (Supplementary Fig. 4K).

The effect was significant for almonds (four studies), pistachios (four studies) and walnuts (five studies), but not for hazelnuts (one study), mixed nuts (one study) or peanuts (two studies); P for group differences = 0.01 (Supplementary Table 17). In particular, almond interventions were associated with a mean difference of −0.22 (−0.33, −0.12) mmol/L. Study duration, baseline LDL-C, mean BMI, age or the amount of nuts did not modify the effect or explain the heterogeneity. Studies with high RoB showed a larger effect (P for group differences = 0.02), excluding those reduced the mean difference to −0.09 (95% CI: −0.11, −0.07). The effect also varied by type of participants, being stronger in studies of subjects characterized with dyslipidaemia (−0.38 (−0.50, −0.27) mmol/L) and prediabetes (−0.21 (−0.33, −0.08) mmol/L), but those studies also had a high RoB.

Effects of nuts on blood pressure

Effects on systolic and DBP were assessed in 11 RCTs (103, 106108, 110112, 114, 115, 117, 118) including a total of 1,568 participants. Overall, nut consumption (range from 30 to 57 g/day) had no significant effect on either measure: −0.89 (95% CI: −2.10, 0.32) mmHg for SBP, −0.33 (−1.16, 0.50) mmHg for DBP (Fig. 11A and B). There was no significant heterogeneity in the results (I2 = 0%, P = 0.583 for SBP, I2 = 1.0%, P = 0.409 for DBP). The effect did not significantly differ by type of nut consumed, study duration, participant characteristics (including age and baseline SBP or DBP) or study RoB (Supplementary Tables 18 and 19). However, for SBP, higher doses were associated with larger effects, in favour of nuts. A post hoc analysis excluding trials using less than the median dose of nuts (54 g) did find a significant effect on SBP (six trials; MD −2.29 (95% CI −4.29, −0.29), I2 = 0% pheterogeneity = 1.0). This was not the case for DBP.

Fig 11
Fig. 11. Forest plots of the effects of nut consumption on systolic (A) and diastolic (B) blood pressure in randomized controlled trials, sorted by type of nut intervention. Effect sizes are weighted mean differences with 95% confidence intervals, in mmHg. Analyses were performed with random-effects restricted maximum likelihood models.

Effects on glycaemic indices

The results for fasting glucose, HbA1c and insulin resistance are presented in Supplementary Tables 9–11. We did not perform meta-analyses on these outcomes. Fasting glucose was assessed in 13 RCTs (34, 103, 104, 106111, 114, 117, 119), and the results appeared mixed. Of the three studies of almonds, one found a significantly higher fasting glucose in the intervention group (113). Participants in this trial had insulin resistance, but not impaired fasting glucose. Two of four trials of pistachio nuts found a significant glucose lowering by nuts, while there was a small increase in one study of walnuts, but the other walnut studies also found opposite and null effects. Only one trial used mixed nuts (30 g/day), finding no effect (106). Six trials also reported effects on HbA1c (34, 108110, 114), in which the mean baseline level was about 5.6%. In one almond trial with subjects with insulin resistance (113), a significant reduction in HbA1c was found, while the other trials reported no significant differences between the groups.

Finally, insulin resistance, as HOMA-IR, was reported in six trials (104, 106109, 113). A significant effect was found in one study of pistachio nuts (56 g/day) among persons with prediabetes, where HOMA-IR was reduced by −0.69 (95% CI −1.07, −0.31) in the pistachio arm and increased by 0.97 (95% CI 0.49, 1.44) in the control arm (108). One study also found and effect with 30 g/day of mixed nuts among persons with metabolic syndrome, with a mean difference between the nut versus control group of −0.67 (95% CI −1.24, −0.11), adjusted for weight change (106).

Publication bias

Based on inspection of funnel plots, shown in Supplementary Fig. 6A-H, and Egger’s test, we did not find evidence of publication bias in the form of small study-effects bias for total nuts and CVD (P = 0.216), CVD mortality (P = 0.115), CHD (P = 0.512) or stroke (P = 0.33). The tests were also insignificant in the meta-analyses of RCTs (total-C: P = 0.94, LDL-C: P = 0.2, SBP: P = 0.46, DBP: P = 0.74). Therefore, no adjustment for publication bias was approached.

Certainty in the evidence

Table 6 shows a summary of findings on nuts and seeds consumption and risk of CVD, CHD, stroke and T2D, with the grading of the strength of evidence for these outcomes.

Table 6. Summary of outcomes and strength of evidence1
Outcome Exposure/intervention N studies Association (direction per study)2 Meta-analysis results, high versus low consumption, RR (95% CI) Heterogeneity (I2)3 (%) RoB Dose-response Strength of evidence
CVD
(37, 4244, 71, 75, 7881, 84, 86, 88, 89, 93, 9698)
Total nuts 17 ↑ 0
↓ 10
↔ 7
(15 studies):
0.81 (0.75, 0.86)
67.01 Moderate: 7
Serious: 8
Yes Probable
CVD mortality (37, 4244, 75, 7881, 84, 86, 88, 89, 93, 96, 97) Total nuts 16 ↑ 0
↓ 11
↔ 5
(15 studies):
0.77 (0.72, 0.82)
59.34 Moderate: 8
Serious: 7
Yes Probable
CHD (10, 35, 42, 43, 73, 74, 76, 7880, 89, 91, 93, 9597, 99) Total nuts 15 ↑ 0
↓ 6
↔ 9
(13 studies):
0.82 (0.76, 0.89)
64.00 Moderate: 6
Serious: 7
Yes Probable
CHD mortality (10, 42, 43, 74, 76, 7880, 91, 97, 99) Total nuts 10 ↑ 0
↓ 6
↔ 4
(8 studies):
0.75 (0.65, 0.87)
66.92 Moderate: 4
Serious: 4
Yes Probable
Nonfatal CHD (10, 42, 74, 76, 89, 91, 96) Total nuts 6 ↑ 0
↓ 3
↔ 3
(6 studies):
0.85 (0.75, 0.96)
62.24 Moderate: 2
Serious: 4
Yes Probable
Stroke (36, 42, 43, 72, 77, 82, 83, 85, 86, 89, 96, 97, 99) Total nuts 12 ↑ 0
↓ 2
↔ 10
(10 studies):
0.91 (0.85, 0.97)
24.84 Moderate: 5
Serious: 5
Non-linear Suggestive, limited (no association)
Ischaemic stroke (36, 42, 43, 72, 83, 85, 89, 91) Total nuts 8 ↑ 0
↓ 1
↔ 7
(7 studies):
0.94 (0.85, 1.03)
36.45 Moderate: 3
Serious: 4
No Suggestive, limited (no association)
Stroke mortality (42, 43, 79, 80, 82, 86, 97, 99) Total nuts 8 ↑ 0
↓ 0
↔ 8
(6 studies):
0.87 (0.76, 1.00)
0.00 Moderate: 2
Serious: 4
Non-linear Suggestive, limited (no association)
T2D (45, 68, 71, 90, 94, 100102) Total nuts 6 ↑ 1
↓ 1
↔ 3
(5 studies):
0.95 (0.75, 1.21)
82.25 Moderate: 0
Serious: 5
No Suggestive, no conclusion
1Abbreviations: CHD, coronary heart disease; CVD, cardiovascular disease; T2D, type 2 diabetes.
2Arrows indicate higher risk (↑), lower risk (↓) or no association (↔)

We rated the association between nuts and seeds consumption and CVD and CHD as probably causal, based on consistent evidence from several cohort studies, in diverse settings, including a large number of participants giving relatively high precision. Although there were some inconsistencies between studies, the variations in results appeared to be more related to the magnitude rather than direction of associations. Moreover, the confidence was strengthened by the existence of a dose-response gradient. No study had low RoB, due to the inherent potential for confounding in observational studies. However, the lowering effects on blood lipids in the RCTs give partial mechanistic support for such associations, given the aetiology of CHD and the nutritional composition of nuts and seeds that may to some extent account for the effects. Still, the lack of RCTs on clinical outcomes precluded a judgment of a convincing effect.

Regarding stroke, there was limited, suggestive evidence for lack of a causal association. The meta-analyses did suggest a small inverse association between nuts/seeds and both total stroke and stroke mortality, and a potentially non-linear dose-response association, but the effect sizes may be too small to justify a recommendation and the null associations seemed to be generally consistent. However, the number of cases was often small in the studies showing non-significant associations, which may have increased the imprecision.

For T2D, the evidence was limited and no conclusion could be made, as the results of the cohorts were highly inconsistent and no dose-response relationship was detected. The results were also to some extent influenced by one study. There were also relatively few studies on this outcome, which hampered exploration of sources of heterogeneity, implying that the effect estimate and the certainty may change with further studies. Likewise, the RCTs on T2D biomarkers, although no meta-analyses could be performed, did not lend support in strengthening the certainty.

The evidence was too limited for any conclusion concerning individual types of nuts.

Discussion

This comprehensive systematic review with meta-analyses of both observational and intervention studies adds to the evidence of lower risk of CVD in association with higher consumption of nuts/seeds based on prospective cohort studies mostly conducted in low-consuming populations. Comparing the highest with the lowest category of consumption, we found a 19% lower risk of overall CVD and a 23% lower risk of CVD mortality among high consumers. The associations appeared to be driven by reduced risk of CHD, especially CHD mortality (25% lower risk in high vs. low consumers). This was further supported by evidence for dose-response relationships, which appeared to be non-linear and especially related to increments in nut intakes well below 30 g/day. The curves appeared to level off at about 17–18 g/day, but this must be interpreted cautiously due to limited data at high intakes. Acknowledging the lack of RCTs of nut consumption and CVD/CHD, but lipid-lowering effects of nuts found in the included RCTs, we considered the evidence for a causal relationship as probable. In contrast, we are less confident in the effect of nut consumption on risk of stroke and T2D, for which the associations were smaller and largely insignificant. We did not find significant effects on blood pressure, while findings on fasting blood glucose, HbA1c and insulin resistance (HOMA-IR) appeared inconsistent when evaluated qualitatively. Of individual types of nuts, peanuts were associated with a significantly lower risk of CVD, while there was insufficient data to conclude on peanuts or other specific nuts/seeds and other outcomes than CVD. While it was not possible to separate nuts from seeds in the body of cohort studies, all RCTs were based on nuts alone.

No RCTs testing directly the effect of nuts on CVD endpoints fulfilled the eligibility criteria for this SR, but the multifactorial PREDIMED found a significant reduction in CVD in high-risk participants allocated to a Mediterranean diet supplemented with 30 g/day of nuts for 4.8 years, compared to the control group (120). The Mediterranean diet with nuts did not reduce the risk of T2D in a subgroup analysis of the trial (121). However, the design of the PREDIMED study precludes a clear interpretation of the separate effects of nuts from the Mediterranean diet (122). Still, this population was included in one of the cohort studies included in our SR, which found a strong, independent association between nut consumption at baseline and CVD mortality, although based on few events (84).

Strengths and limitations of the systematic review

This systematic review was conducted with rigorous and transparent procedures, following current recommended principles and guidelines for SRs of nutritional research (31, 123). Strengths included a pre-registered protocol with a clear research question informed by a scoping review; pre-defined inclusion criteria methods; a comprehensive, peer-reviewed literature search strategy as well as hand-searches of reference lists; duplicate study selection, data extraction and RoB appraisal by two authors independently, including evaluation of possible publication bias. The certainty of the evidence was graded to facilitate translation of the findings into dietary guidelines. Dose-response relationships were explored to further inform the strength of evidence. Even though several SRs and meta-analyses on the subject have been published, we retrieved several recent papers with large sample sizes that has not previously been assessed. We were also able to include more studies in the non-linear dose-response analyses than previously, due to the use of the more efficient one-stage dose-response approach as opposed to the traditionally applied two-stage methods (55). Being based on the target experiment framework and focussing on internal validity, our risk-of-bias assessment of the cohort studies is more appropriate for interpreting causal associations, and for comparing evidence from RCTs and observational studies, than other often used summary score-based quality appraisal tools that are now advised against (33, 39). However, any assessment of the RoB involves subjective interpretations and is limited by the quality of the reporting.

We did not search trial registries or other sources of grey literature as the publications would not have been feasible for RoB assessment. Therefore, a more thorough investigation of publication bias was not possible. Nevertheless, our undertaken approach did not appear to be influenced by publication bias. Another weakness is the substantial to considerable heterogeneity in the results of some outcomes, which we could not immediately account for. Some heterogeneity would be expected, and the differences between the studies were mostly in the magnitude of the associations, not the direction. The overall findings were not sensitive to any one particular study and were broadly consistent across subgroups. Yet, our subgroup analyses and meta-regression analyses based on participant characteristics were compromised by the reliance upon study-level data, and are therefore fallible due to ecological bias (124).

Some previous SRs on CVD and T2D have included meta-analyses of individual types of nuts, which we did not, except for peanuts and CVD. However, these were based on very few studies, for example, three studies on peanuts and two on peanut butter and T2D (18), and one study on walnuts or peanut butter on CVD (17). The availability of evidence on specific nuts remains too limited for an informative meta-analysis, so we therefore reviewed them only narratively. This lack of specification of the exposure is a common weakness of the current literature. The exposure categories were also often poorly defined in the cohort studies and required some imputation and assumptions which makes the interpretation of the estimated dose-response relationships open to question. The intake assessments themselves were also likely to be affected by reporting errors but we could not appraise and compare the validity of the dietary assessment instruments used in the cohort studies. Although most stated that the methods were validated, they often referred to validation studies done in other cohorts or on nutrients/energy, as the cohorts were not originally designed to examine nut consumption per se. Moreover, few cohort studies with long follow-up assessed changes in intake over time.

As already mentioned, no RCTs reporting clinical endpoints were included, highlighting a gap in the literature as also pointed out by a 2015 Cochrane systematic review by Martin et al. (125). With only observational data available, there is inherently a concern for confounding by other lifestyle/dietary behaviours, perhaps most importantly other dietary factors. In most cohort studies, the effect estimates were adjusted for other foods, but only a few took the overall quality of the diet into account. Higher nut consumption is associated with improved total dietary quality (114, 126, 127), but that may in itself be partly a consequence of the nuts (128, 129). The risk of confounding biases was rated as moderate in almost all cohort studies. While confounding is still inevitable, the impact on the direction of the results is difficult to predict. Residual confounding can likely not explain why nut consumption was associated with lower risk of CVD and CHD, but not stroke or T2D. We are at least not aware of mechanisms that make CHD more susceptible to non-residual confounding than other outcomes regarding nut consumption.

Although the effect on blood lipids may be an important mediator of the associations, several cohort studies adjusted for hypercholesterolemia in the multivariable models, which may be a case of over-adjustment. We attempted to compare studies with and without this adjustment, finding no significant differences, but without individual participant data, such subgroup analyses have limitations. There is also evidence that frequent nut consumption is associated with lower weight gain and risk of overweight/obesity, partly due to effects on satiety and energy absorption (130, 131). Adjustments for BMI, as almost all cohort studies did, could be another example of over-adjustment possibly underestimating associations between nut consumption and cardiometabolic diseases (18).

The beneficial effects on total and LDL-C shown in RCTs might be interpreted as mechanistic support for the inverse association between nut consumption and CVD and CHD in the cohort studies, but these two lines of evidence have important differences and often pose different questions. Almost all RCTs tested the effects of one specific type of nuts, while almost all cohort studies assessed the intake of unspecified types of nuts with no data on processing or preparation. Second, the doses used in the RCTs were usually much higher than what is typically consumed and what may be realistically achievable for most consumers. The choice of comparators also differed between the RCTs, which may affect the result.

While the lipid-lowering effects of nuts in our meta-analyses were in the expected direction, this degree of reduction is too small to entirely account for the associations seen with CHD and total CVD. Even though the effect seemed clinically small it should be taken into consideration that CVD is mostly caused by accumulated risk factor exposures, and that large proportions of the decline in CHD and CHD mortality in previous decades have been attributed to even relatively modest population-level reductions in total-C (132134). It is possible that the effects on blood lipids are greater when nuts primarily replace sources of saturated fats in the diet (135), a mediator that the included RCTs did not assess. Additionally, nuts and seeds may have effects on other important atherogenic lipid measures that we did not assess, such as apolipoprotein B (136).

By including only RCTs with a minimum 12 weeks of follow-up, we did not include a large number of shorter-term trials on risk factors. However, previous meta-analysis including short-term trials have found similar directions of effects (136138). Further, we excluded trials of hypocaloric diets as the main intent of this SR was to inform dietary guidelines focusing on primary/primordial prevention, not clinical treatment guidelines.

In general, assessing only one single food group may be overly reductionist, hence a consideration of dietary patterns and replacement effects is recommended (123). A novel feature with our review in this regard is the exploration of substitution analyses. This was compromised by the sparse data, and we must note that we only included such analyses that were reported in the studies found through our literature search strategy, which was not developed specifically for studies on substitution analyses. Such substitution analyses are in any case hypothetical and not necessarily practically relevant (139).

Comparison with previous findings

A complete account of previous SRs is outside the scope of this paper, but they are broadly in line with our findings, both directionally and quantitatively (17, 18, 25, 140145). Several very large new studies have been published, motivating an updated synthesis. For instance, our results for CVD mortality alone covered about three times as many cases as the most recent previous meta-analysis (17). Interestingly, the summary results changed very little on inclusion of these recent studies. Bechthold et al. found no significant association with CHD nor stroke in a 2019 SR of cohort studies, but excluded all studies on CHD and stroke mortality (19).

As to the effects of nuts on blood lipids, a large number of reviews and meta-analyses have been published, usually focusing on one type of nuts. One network meta-analysis by Schwingshackl et al. ranked nuts highest of food groups for lowering total and LDL-C and other risk factors, such as blood pressure and glucose (24). Liu et al. further ranked pistachios and walnuts highest for total-C, while pistachios and almonds were most effective in lowering LDL-C (146). However, comparing our results with previous meta-analyses is difficult as most have included relatively short-term interventions and/or studies involving weight-loss. In one of the largest meta-analyses on nuts and blood lipids, Del Gobbo et al. found that nuts were associated with 4.8 mg/dL lower LDL-C and 4.7 mg/dL lower total-C (about 0.12 mmol/L) per serving/day in 61 trials (136). Even though the median duration of the trials in that meta-analysis was only 4 weeks, the results were similar to ours (136).

Perhaps unexpected, but also in line with our results, no statistically significant effects of nuts on blood pressure have been found in other recent meta-analyses. Some have found that only pistachios had an effect (16, 147, 148), but our meta-analyses included only two trials of pistachios on blood pressure.

Previous SRs have also found inconsistent and inconclusive association between nuts and T2D risk. While one meta-analysis from 2014 did find an inverse association (per 4 servings/week) (142), other, more recent SRs have failed to find an association between nut consumption and T2D (18, 25). While we did not perform meta-analyses of glycaemic markers, previous meta-analyses have generally found no effects. Beneficial effects on glucose have been found in patients with established T2D, which we excluded (21, 149). Tindall et al. found in a large meta-analysis including subjects both with and without diabetes a significant reduction in HOMA-IR (a mean difference of −0.23 in 19 studies), but no significant overall effects on glucose or HbA1c (23). Concerning specific nuts, lack of effects on either fasting glucose, HbA1c or HOMA-IR have been found with walnuts and almonds in previous meta-analyses (150, 151).

Interpretation of findings

The mechanistic rationale for an effect of nuts and seeds on cardiometabolic risk factors, atherosclerosis and risk of CVD has been characterized in several reviews (152155). Beneficial effects can be deduced from their contents and combinations of nutrients and bioactive substances. The cholesterol-lowering effects of nuts are in part attributed to the fatty acid composition, considering their low saturated fatty acid (SFA) content relative to PUFA (e.g. walnuts and seeds) and MUFA (e.g. hazelnuts, peanuts and almonds), although the fibre, micronutrients and polyphenols and other components may also be involved (22). Nuts and seeds are also among the few natural food sources of phytosterols, which reduce cholesterol absorption and increase excretion. It is thus interesting to note that we found larger effects on LDL-C in the RCTs of pistachio nuts and almonds, which have especially high concentrations of phytosterols among nuts (156). In a meta-regression, Del Gobbo et al. found that the total phytosterol dose from nuts was indeed inversely correlated with the reduction in LDL-C, but this was not independent of total nut dose (157). A range of other effects, for example, on vascular function, oxidative stress and inflammation, likely also play a part in the associations observed with CHD and overall CVD (78, 158160).

Being a source of different minerals and certain amino acids, nuts could be expected to lower blood pressure. We found unclear, limited evidence for associations between nut consumption and stroke in cohort studies, and overall, no effects on blood pressure in RCTs. We considered this suggestive, but limited evidence for no direct causal relationship between nut consumption and stroke, although several questions can be raised. The number of stroke events in the cohort studies were lower than that of CHD, and the studies may therefore have been underpowered. One could also speculate that the seemingly small benefits on stroke may have been affected by added sodium in some nut products, which is difficult to account for with self-reported dietary data. Due to the usually low intakes observed, it seems unlikely that nuts were an important source of salt in these populations. This is also contradicted by some other prospective studies showing an inverse association between nuts and hypertension (161, 162). However, in some populations, high nut consumption could have been associated with a snacking eating pattern. Perhaps the type of nuts also is a more important factor with stroke, as there were significant, inverse associations with peanuts in four studies and with walnuts in one (42, 43, 87).

Indeed, the PREDIMED trial, which included a high-risk population, did find a large reduction in the risk of stroke in the group on a Mediterranean diet with nuts (50% were walnuts) versus the control group (HR 0.54, 95% CI .35, 0.82) (120). This underscores the need for evaluating nuts within the context of the dietary pattern. To this end, we assessed food substitution analyses in the cohort studies to consider the potential impact on risk associated with iso-caloric comparisons of other foods with nuts (35, 73, 77, 98, 102). These studies generally (statistically) interchanged protein foods, and suggested inverse associations with both CVD, CHD, stroke and T2D when nuts replaced meat. Previous SRs on nuts have not addressed this question. Hidayat et al. recently published a meta-analysis regarding replacement of red meat with other protein sources, and concluded that replacing red meat with nuts was associated with lower risk of CHD and all-cause mortality (163).

Public health relevance and implications

Cardiovascular disease is a leading cause of death across the world. Ischaemic heart disease in particular is a major cause of premature deaths and disease burden despite large decreases in incidence and mortality in recent decades. The cases are largely preventable, and diet is the main attributable risk factor globally (164).

Based on aspects such as strength of associations, coherence, consistency, and plausibility, nuts/seeds was one of the food groups deemed to have at least probable or convincing evidence for protective associations with CVD and CHD, but not T2D, in a recent assessment of quality of the evidence for foods and nutrients and cardiometabolic disease (165). Our comprehensive, up to date SR corroborates this view, especially regarding inverse dose-response associations between nuts and seeds consumption and overall CVD and CHD, further reinforced by a lowering effect on LDL-C that support the hypothesis that part of the associations between nuts and CVD endpoints are due to effects on blood lipids.

The effects on LDL-C were not large, and more than the usually recommended ‘one handful’ [close to 30 g (50)] of nuts may be needed for a clinically significant reduction. As with all dietary exposures, small effects may still be relevant for population-level prevention, especially in a life-course perspective (166). With respect to public health it is also worth noting that by an increased nut consumption up to 30 g/day, the resulting decrease in CVD risk has recently been estimated to considerably outweigh the potential risk for liver cancer related to increased exposure to aflatoxin B (167).

Conclusion

In a ‘nutshell’, higher consumption of nuts and seeds have a probable causal, inverse association with CVD and CHD, while the evidence is limited for associations with stroke and T2D. Our review also highlights the need for more high-quality, standardized research and adherence to reporting guidelines in order to better characterize the strength of the evidence. To advance the field, there should be more research done on specific types of nuts and seeds, consumption patterns and elucidation of mechanisms, preferably in large-scale clinical trials and individual participant meta-analyses.

Acknowledgments

The authors thank Hilde Strømme at the University of Oslo Library of Medicine and Science for performing the literature search and providing full-text articles, and Sabina Gillsund and Narcisa Hannerz at Karolinska Institutet University Library for peer reviewing the search strategy.

Registration

PROSPERO registration number: CRD42021270554.

References

1. World Health Organization/Food and Agriculture Organization. Diet, nutrition and the prevention of chronic diseases: Report of a Joint WHO/FAO Expert Consultation. Geneva: World Health Organization; 2003.
2. Herforth A, Arimond M, Alvarez-Sanchez C, Coates J, Christianson K, Muehlhoff E. A global review of food-based dietary guidelines. Adv Nutr 2019; 10(4): 590–605. doi: 10.1093/advances/nmy130
3. U.S. Department of Agriculture and U.S. Department of Health and Human Services. Dietary guidelines for Americans, 2020–2025. Washington, DC: USDA; 2020. [cited 01 June 2022]. Available from: www.DietaryGuidelines.gov
4. Mithril C, Dragsted LO, Meyer C, Tetens I, Biltoft-Jensen A, Astrup A. Dietary composition and nutrient content of the New Nordic Diet. Public Health Nutr 2013; 16(5): 777–85. doi: 10.1017/S1368980012004521
5. Eckel RH, Jakicic JM, Ard JD, de Jesus JM, Houston Miller N, Hubbard VS, et al. 2013 AHA/ACC guideline on lifestyle management to reduce cardiovascular risk: a report of the American College of Cardiology/American Heart Association Task Force on Practice Guidelines. Circulation 2014; 129(25 Suppl 2): S76–99. doi: 10.1161/01.cir.0000437740.48606.d1
6. Mach F, Baigent C, Catapano AL, Koskinas KC, Casula M, Badimon L, et al. 2019 ESC/EAS Guidelines for the management of dyslipidaemias: lipid modification to reduce cardiovascular risk. Eur Heart J 2020; 41(1): 111–88. doi: 10.1093/eurheartj/ehz455
7. GBD Risk Factors Collaborators. Global burden of 87 risk factors in 204 countries and territories, 1990–2019: a systematic analysis for the Global Burden of Disease Study 2019. Lancet 2020; 396(10258): 1223–49. doi: 10.1016/S0140-6736(20)30752-2
8. GBD Diet Collaborators. Health effects of dietary risks in 195 countries, 1990–2017: a systematic analysis for the Global Burden of Disease Study 2017. Lancet 2019; 393(10184): 1958–72. doi: 10.1016/S0140-6736(19)30041-8
9. Micha R, Khatibzadeh S, Shi P, Andrews KG, Engell RE, Mozaffarian D, et al. Global, regional and national consumption of major food groups in 1990 and 2010: a systematic analysis including 266 country-specific nutrition surveys worldwide. BMJ Open 2015; 5(9): e008705. doi: 10.1136/bmjopen-2015-008705
10. Fraser GE, Sabate J, Beeson WL, Strahan TM. A possible protective effect of nut consumption on risk of coronary heart disease. The Adventist Health Study. Arch Intern Med 1992; 152(7): 1416–24. doi: 10.1001/archinte.152.7.1416
11. Abbey M, Noakes M, Belling GB, Nestel PJ. Partial replacement of saturated fatty acids with almonds or walnuts lowers total plasma cholesterol and low-density-lipoprotein cholesterol. Am J Clin Nutr 1994; 59(5): 995–9. doi: 10.1093/ajcn/59.5.995
12. Sabate J, Fraser GE, Burke K, Knutsen SF, Bennett H, Lindsted KD. Effects of walnuts on serum lipid levels and blood pressure in normal men. N Engl J Med 1993; 328(9): 603–7. doi: 10.1056/NEJM199303043280902
13. Ellsworth JL, Kushi LH, Folsom AR. Frequent nut intake and risk of death from coronary heart disease and all causes in postmenopausal women: the Iowa Women’s Health Study. Nutr Metab Cardiovasc Dis 2001; 11(6): 372–7.
14. Hu FB, Stampfer MJ, Manson JE, Rimm EB, Colditz GA, Rosner BA, et al. Frequent nut consumption and risk of coronary heart disease in women: prospective cohort study. BMJ 1998; 317(7169): 1341–5. doi: 10.1136/bmj.317.7169.1341
15. EFSA Panel on Dietetic Products Nutrition and Allergies. Scientific Opinion on the substantiation of health claims related to walnuts and maintenance of normal blood LDL-cholesterol concentrations (ID 1156, 1158) and improvement of endothelium-dependent vasodilation (ID 1155, 1157) pursuant to Article 13(1) of Regulation (EC) No 1924/2006. EFSA J 2011; 9(4): 2074. doi: 10.2903/j.efsa.2011.2074
16. Baghery F, Mohammadifard N, Khanamani Falahati-Pour S. The effect of pistachio supplementation on metabolic syndrome and its components in adults: a systematic review and meta-analysis of randomized controlled trials. Nutr Rev. 2022; 80(10): 2051–63. doi: 10.1093/nutrit/nuac027
17. Becerra-Tomas N, Paz-Graniel I, Kendall CWC, Kahleova H, Rahelic D, Sievenpiper JL, et al. Nut consumption and incidence of cardiovascular diseases and cardiovascular disease mortality: a meta-analysis of prospective cohort studies. Nutr Rev 2019; 77(10): 691–709. doi: 10.1093/nutrit/nuz042
18. Becerra-Tomas N, Paz-Graniel I, Hernandez-Alonso P, Jenkins DJA, Kendall CWC, Sievenpiper JL, et al. Nut consumption and type 2 diabetes risk: a systematic review and meta-analysis of observational studies. Am J Clin Nutr 2021; 113(4): 960–71. doi: 10.1093/ajcn/nqaa358
19. Bechthold A, Boeing H, Schwedhelm C, Hoffmann G, Knuppel S, Iqbal K, et al. Food groups and risk of coronary heart disease, stroke and heart failure: a systematic review and dose-response meta-analysis of prospective studies. Crit Rev Food Sci Nutr 2019; 59(7): 1071–90. doi: 10.1080/10408398.2017.1392288
20. Kim Y, Keogh J, Clifton PM. Nuts and cardio-metabolic disease: a review of meta-analyses. Nutrients 2018; 10(12): 1935. doi: 10.3390/nu10121935
21. Kim Y, Keogh JB, Clifton PM. Does nut consumption reduce mortality and/or risk of cardiometabolic disease? An updated review based on meta-analyses. Int J Environ Res Public Health 2019; 16(24): 4957. doi: 10.3390/ijerph16244957
22. Li J, Jiang B, Santos HO, Santos D, Singh A, Wang L. Effects of walnut intake on blood pressure: a systematic review and meta-analysis of randomized controlled trials. Phytother Res 2020; 34(11): 2921–31. doi: 10.1002/ptr.6740
23. Tindall AM, Johnston EA, Kris-Etherton PM, Petersen KS. The effect of nuts on markers of glycemic control: a systematic review and meta-analysis of randomized controlled trials. Am J Clin Nutr 2019; 109(2): 297–314. doi: 10.1093/ajcn/nqy236
24. Schwingshackl L, Hoffmann G, Iqbal K, Schwedhelm C, Boeing H. Food groups and intermediate disease markers: a systematic review and network meta-analysis of randomized trials. Am J Clin Nutr 2018; 108(3): 576–86. doi: 10.1093/ajcn/nqy151
25. Schwingshackl L, Hoffmann G, Lampousi AM, Knuppel S, Iqbal K, Schwedhelm C, et al. Food groups and risk of type 2 diabetes mellitus: a systematic review and meta-analysis of prospective studies. Eur J Epidemiol 2017; 32(5): 363–75. doi: 10.1007/s10654-017-0246-y
26. Guyatt GH, Oxman AD, Vist GE, Kunz R, Falck-Ytter Y, Alonso-Coello P, et al. GRADE: an emerging consensus on rating quality of evidence and strength of recommendations. BMJ 2008; 336(7650): 924–6. doi: 10.1136/bmj.39489.470347.AD
27. Christensen JJ, Arnesen EK, Andersen R, Eneroth H, Erkkola M, Høyer A, et al. The Nordic Nutrition Recommendations 2022 – principles and methodologies. Food Nutr Res 2020; 64: 4402. doi: 10.29219/fnr.v64.4402
28. Hoyer A, Christensen JJ, Arnesen EK, Andersen R, Eneroth H, Erkkola M, et al. The Nordic Nutrition Recommendations 2022 – prioritisation of topics for de novo systematic reviews. Food Nutr Res 2021; 65:7828. doi: 10.29219/fnr.v65.7828
29. George ES, Daly RM, Tey SL, Brown R, Wong THT, Tan SY. Perspective: Is it time to expand research on “nuts” to include “seeds”? Justifications and key considerations. Adv Nutr 2022; 13(4): 1016–27. doi: 10.1093/advances/nmac028
30. Arnesen EK, Christensen JJ, Andersen R, Eneroth H, Erkkola M, Høyer A, et al. The Nordic Nutrition Recommendations 2022 – Handbook for systematic reviews. Food Nutr Res 2020; 64: 4404. doi: 10.29219/fnr.v64.4404
31. Arnesen EK, Christensen JJ, Andersen R, Eneroth H, Erkkola M, Høyer A, et al. The Nordic Nutrition Recommendations 2022 – structure and rationale of systematic reviews. Food Nutr Res 2020; 64: 4403. doi: 10.29219/fnr.v64.4403
32. Page MJ, McKenzie JE, Bossuyt PM, Boutron I, Hoffmann TC, Mulrow CD, et al. The PRISMA 2020 statement: an updated guideline for reporting systematic reviews. BMJ 2021; 372: n71. doi: 10.1136/bmj.n71
33. Page MJ, Moher D, Bossuyt PM, Boutron I, Hoffmann TC, Mulrow CD, et al. PRISMA 2020 explanation and elaboration: updated guidance and exemplars for reporting systematic reviews. BMJ 2021; 372: n160. doi: 10.1136/bmj.n160
34. Gulati S, Misra A, Pandey RM, Bhatt SP, Saluja S. Effects of pistachio nuts on body composition, metabolic, inflammatory and oxidative stress parameters in Asian Indians with metabolic syndrome: a 24-wk, randomized control trial. Nutrition 2014; 30(2): 192–7. doi: 10.1016/j.nut.2013.08.005
35. Haring B, Gronroos N, Nettleton JA, Wyler Von Ballmoos MC, Selvin E, Alonso A. Dietary protein intake and coronary heart disease in a large community based cohor: results from the Atherosclerosis Risk in Communities (ARIC) study. PLoS One. 2014: 9(10); e109552. doi: 10.1371/journal.pone.0109552
36. Tong TYN, Appleby PN, Key TJ, Dahm CC, Overvad K, Olsen A, et al. The associations of major foods and fibre with risks of ischaemic and haemorrhagic stroke: a prospective study of 418 329 participants in the EPIC cohort across nine European countries. Eur Heart J 2020; 41(28): 2632–40. doi: 10.1093/eurheartj/ehaa007
37. Sun Y, Liu B, Snetselaar LG, Wallace RB, Shadyab AH, Kroenke CH, et al. Association of major dietary protein sources with all-cause and cause-specific mortality: prospective cohort study. J Am Heart Assoc. 2021; 10(5): 1–24. doi: 10.1161/JAHA.119.015553
38. Sterne JAC, Savovic J, Page MJ, Elbers RG, Blencowe NS, Boutron I, et al. RoB 2: a revised tool for assessing risk of bias in randomised trials. BMJ 2019; 366: l4898. doi: 10.1136/bmj.l4898
39. Schünemann HJ, Cuello C, Akl EA, Mustafa RA, Meerpohl JJ, Thayer K, et al. GRADE guidelines: 18. How ROBINS-I and other tools to assess risk of bias in nonrandomized studies should be used to rate the certainty of a body of evidence. J Clin Epidemiol 2019; 111: 105–14. doi: 10.1016/j.jclinepi.2018.01.012
40. Sterne JAC, Hernan MA, McAleenan A, Reeves BC, Higgins JPT. Assessing risk of bias in a non-randomized study. 2022. In: Cochrane handbook for systematic reviews of interventions version 6.3. Cochrane. [cited 22 July 2022]. Available from: www.training.cochrane.org/handbook
41. Borenstein M, Hedges LV, Higgins JPT, Rothstein HR. Introduction to meta-analysis. Chichester: John Wiley & Sons; 2009.
42. Guasch-Ferre M, Liu X, Malik VS, Sun Q, Willett WC, Manson JE, et al. Nut consumption and risk of cardiovascular disease. J Am Coll Cardiol 2017; 70(20): 2519–32. doi: 10.1016/j.jacc.2017.09.035
43. Luu HN, Blot WJ, Xiang YB, Cai H, Hargreaves MK, Li H, et al. Prospective evaluation of the association of nut/peanut consumption with total and cause-specific mortality. JAMA Intern Med 2015; 175(5): 755–66. doi: 10.1001/jamainternmed.2014.8347
44. Yamakawa M, Wada K, Koda S, Uji T, Nakashima Y, Onuma S, et al. Associations of total nut and peanut intakes with all-cause and cause-specific mortality in a Japanese community: the Takayama study. Br J Nutr 2021; 127(9): 1378–85. doi: 10.1017/S0007114521002257
45. Asghari G, Ghorbani Z, Mirmiran P, Azizi F. Nut consumption is associated with lower incidence of type 2 diabetes: The Tehran Lipid and Glucose Study. Diabetes Metab 2017; 43(1): 18–24. doi: 10.1016/j.diabet.2016.09.008
46. VanderWeele TJ. On a square-root transformation of the odds ratio for a common outcome. Epidemiology 2017; 28(6): e58–60. doi: 10.1097/EDE.0000000000000733
47. Symons MJ, Moore DT. Hazard rate ratio and prospective epidemiological studies. J Clin Epidemiol 2002; 55(9): 893–9. doi: 10.1016/s0895-4356(02)00443-2
48. Greenland S, Longnecker MP. Methods for trend estimation from summarized dose-response data, with applications to meta-analysis. Am J Epidemiol 1992; 135(11): 1301–9. doi: 10.1093/oxfordjournals.aje.a116237
49. Orsini N, Li R, Wolk A, Khudyakov P, Spiegelman D. Meta-analysis for linear and nonlinear dose-response relations: examples, an evaluation of approximations, and software. Am J Epidemiol 2012; 175(1): 66–73. doi: 10.1093/aje/kwr265
50. Brown R, Gray AR, Chua MG, Ware L, Chisholm A, Tey SL. Is a handful an effective way to guide nut recommendations? Int J Environ Res Public Health 2021; 18(15): 7812. doi: 10.3390/ijerph18157812
51. Norwegian Food Safety Authority. Norwegian Food Composition Database 2021: Norwegian food safety authority; 2021 [updated 15 December 2021]. Available from: https://www.matvaretabellen.no/ [cited 01 August 2022].
52. Hamling J, Lee P, Weitkunat R, Ambühl M. Facilitating meta-analyses by deriving relative effect and precision estimates for alternative comparisons from a set of estimates presented by exposure level or disease category. Stat Med. 2008; 27(7): 954–70. doi: 10.1002/sim.3013
53. Greenland S. Quantitative methods in the review of epidemiologic literature. Epidemiol Rev 1987; 9: 1–30. doi: 10.1093/oxfordjournals.epirev.a036298
54. Aune D, Greenwood DC, Chan DSM, Vieira R, Vieira AR, Navarro Rosenblatt DA, et al. Body mass index, abdominal fatness and pancreatic cancer risk: a systematic review and non-linear dose–response meta-analysis of prospective studies. Ann Oncol 2012; 23(4): 843–52. doi: 10.1093/annonc/mdr398
55. Crippa A, Discacciati A, Bottai M, Spiegelman D, Orsini N. One-stage dose-response meta-analysis for aggregated data. Stat Methods Med Res 2019; 28(5): 1579–96. doi: 10.1177/0962280218773122
56. Vinceti M, Filippini T, Malavolti M, Naska A, Kasdagli MI, Torres D, et al. Dose‐response relationships in health risk assessment of nutritional and toxicological factors in foods: development and application of novel biostatistical methods. EFSA Support Publ 2020; 17(7): 1899E. doi: 10.2903/sp.efsa.2020.EN-1899
57. Harrell FE. Regression modeling strategies with applications to linear models, logistic and ordinal regression, and survival analysis. 2nd ed. Cham: Springer International Publishing; 2015.
58. da Costa BR, Nüesch E, Rutjes AW, Johnston BC, Reichenbach S, Trelle S, et al. Combining follow-up and change data is valid in meta-analyses of continuous outcomes: a meta-epidemiological study. J Clin Epidemiol 2013; 66(8): 847–55. doi: 10.1016/j.jclinepi.2013.03.009
59. Deeks JJ, Higgins JPT, Altman DG. Analysing data and undertaking meta-analyses. In: Cochrane handbook for systematic reviews of interventions version 6.3. Cochrane; 2022. [cited 01 June 2022]. Available from: www.training.cochrane.org/handbook
60. Higgins JPT, Li T, Deeks JJ. Choosing effect measures and computing estimates of effect. In: Cochrane handbook for systematic reviews of interventions version 6.3. Cochrane; 2022. [cited 01 June 2022]. Available from: www.training.cochrane.org/handbook
61. McKenzie JE, Herbison GP, Deeks JJ. Impact of analysing continuous outcomes using final values, change scores and analysis of covariance on the performance of meta‐analytic methods: a simulation study. Res Synthesis Methods 2015; 7(4): 371–86. doi: 10.1002/jrsm.1196
62. Morton SC, Murad MH, O’Connor E, Lee CS, Booth M, Vandermeer BW, et al. Quantitative synthesis – An update. Methods guide for effectiveness and comparative effectiveness reviews. AHRQ methods for effective health care. Rockville, MD: AHRQ; 2018.
63. Balk EM, Earley A, Patel K, Trikalinos TA, Dahabreh IJ. Empirical assessment of within-arm correlation imputation in trials of continuous outcomes. AHRQ Methods for Effective Health Care. Rockville, MD: AHRQ; 2012.
64. Higgins JPT, Eldridge S, Li T. Including variants on randomized trials. In: Cochrane handbook for systematic reviews of interventions version 6.3. Cochrane; 2022. [cited 01 June 2022]. Available from: www.training.cochrane.org/handbook
65. Page MJ, Higgins JPT, Sterne JAC. Assessing risk of bias due to missing results in a synthesis. In: Cochrane handbook for systematic reviews of interventions version 6.3. Cochrane; 2022. [cited 01 June 2022]. Available from: www.training.cochrane.org/handbook
66. Fraser GE. Associations between diet and cancer, ischemic heart disease, and all-cause mortality in non-Hispanic white California Seventh-day Adventists. Am J Clin Nutr. 1999;70(3 Suppl):532S–8S. doi: 10.1093/ajcn/70.3.532s
67. Kushi LH, Fee RM, Sellers TA, Zheng W, Folsom AR. Intake of vitamins A, C, and E and postmenopausal breast cancer. The Iowa Women’s Health Study. Am J Epidemiol 1996; 144(2): 165–74. doi: 10.1093/oxfordjournals.aje.a008904
68. Parker ED, Harnack LJ, Folsom AR. Nut consumption and risk of type 2 diabetes. JAMA 2003; 290(1): 38–9; author reply 9–40. doi: 10.1001/jama.290.1.38
69. Toledo E, Hu FB, Estruch R, Buil-Cosiales P, Corella D, Salas-Salvado J, et al. Effect of the Mediterranean diet on blood pressure in the PREDIMED trial: results from a randomized controlled trial. BMC Med 2013; 11(1). doi: 10.1186/1741-7015-11-207
70. Villegas R, Gao YT, Yang G, Li HL, Elasy TA, Zheng W, et al. Legume and soy food intake and the incidence of type 2 diabetes in the Shanghai women’s health study. Am J Clin Nutr 2008; 87(1): 162–7. doi: 10.1093/ajcn/87.1.162
71. von Ruesten A, Feller S, Bergmann MM, Boeing H. Diet and risk of chronic diseases: results from the first 8 years of follow-up in the EPIC-Potsdam study. Eur J Clin Nutr 2013; 67(4): 412–9. doi: 10.1038/ejcn.2013.7
72. Yaemsiri S, Sen S, Tinker L, Rosamond W, Wassertheil-Smoller S, He K. Trans fat, aspirin, and ischemic stroke in postmenopausal women. Ann Neurol 2012; 72(5): 704–15. doi: 10.1002/ana.23555
73. Al-Shaar L, Satija A, Wang DD, Rimm EB, Smith-Warner SA, Stampfer MJ, et al. Red meat intake and risk of coronary heart disease among US men: prospective cohort study. BMJ. 2020; 371: m4141. doi: 10.1136/bmj.m4141
74. Albert CM, Gaziano JM, Willett WC, Manson JE. Nut consumption and decreased risk of sudden cardiac death in the Physicians’ Health Study. Arch Intern Med 2002; 162(12): 1382–7. doi: 10.1001/archinte.162.12.1382
75. Amba V, Murphy G, Etemadi A, Wang S, Abnet CC, Hashemian M. Nut and peanut butter consumption and mortality in the National Institutes of Health-AARP Diet and Health Study. Nutrients 2019; 11(7): 1508. doi: 10.3390/nu11071508
76. Bernstein AM, Sun Q, Hu FB, Stampfer MJ, Manson JE, Willett WC. Major dietary protein sources and risk of coronary heart disease in women. Circulation 2010; 122(9): 876–83. doi: 10.1161/CIRCULATIONAHA.109.915165
77. Bernstein AM, Pan A, Rexrode KM, Stampfer M, Hu FB, Mozaffarian D, et al. Dietary protein sources and the risk of stroke in men and women. Stroke 2012; 43(3): 637–44. doi: 10.1161/STROKEAHA.111.633404
78. Blomhoff R, Carlsen MH, Andersen LF, Jacobs DR Jr. Health benefits of nuts: potential role of antioxidants. Br J Nutr 2006;96(Suppl 2): S52–S60. doi: 10.1017/bjn20061864
79. Bonaccio M, Di Castelnuovo A, De Curtis A, Costanzo S, Bracone F, Persichillo M, et al. Nut consumption is inversely associated with both cancer and total mortality in a Mediterranean population: prospective results from the Moli-sani study. Br J Nutr 2015; 114(5): 804–11. doi: 10.1017/S0007114515002378
80. Gopinath B, Flood VM, Burlutksy G, Mitchell P. Consumption of nuts and risk of total and cause-specific mortality over 15 years. Nutr Metab Cardiovasc Dis 2015; 25(12): 1125–31. doi: 10.1016/j.numecd.2015.09.006
81. Eslamparast T, Sharafkhah M, Poustchi H, Hashemian M, Dawsey SM, Freedman ND, et al. Nut consumption and total and cause-specific mortality: results from the Golestan Cohort Study. Int J Epidemiol 2017; 46(1): 75–85. doi: 10.1093/ije/dyv365
82. Di Giuseppe R, Fjeld MK, Dierkes J, Theoflylaktopoulou D, Arregui M, Boeing H, et al. The association between nut consumption and the risk of total and ischemic stroke in a German cohort study. Eur J Clin Nutr 2015; 69(4): 431–5. doi: 10.1038/ejcn.2014.212
83. Djousse L, Gaziano JM, Kase CS, Kurth T. Nut consumption and risk of stroke in US male physicians. Clin Nutr 2010; 29(5): 605–9. doi: 10.1016/j.clnu.2010.03.005
84. Guasch-Ferré M, Bulló M, Martínez-González M, Ros E, Corella D, Estruch R, et al. Frequency of nut consumption and mortality risk in the PREDIMED nutrition intervention trial. BMC Med 2013; 11: 164. doi: 10.1186/1741-7015-11-164
85. Haring B, Misialek JR, Rebholz CM, Petruski-Ivleva N, Gottesman RF, Mosley TH, et al. Association of dietary protein consumption with incident silent cerebral infarcts and stroke: the Atherosclerosis Risk in Communities (ARIC) study. Stroke 2015; 46(12): 3443–50. doi: 10.1161/STROKEAHA.115.010693
86. Hshieh TT, Petrone AB, Gaziano JM, Djousse L. Nut consumption and risk of mortality in the physicians’ health study. Am J Clin Nutr 2015; 101(2): 407–12. doi: 10.3945/ajcn.114.099846
87. Ikehara S, Iso H, Kokubo Y, Yamagishi K, Saito I, Yatsuya H, et al. Peanut consumption and risk of stroke and ischemic heart disease in Japanese men and women: The JPHC study. Stroke 2021; 52: 3543–3550. doi: 10.1161/STROKEAHA.120.031212
88. Imran TF, Kim E, Buring JE, Lee IM, Gaziano JM, Djousse L. Nut consumption, risk of cardiovascular mortality, and potential mediating mechanisms: the Women’s Health Study. J Clin Lipidol 2021; 15(2): 266–74. doi: 10.1016/j.jacl.2021.01.001
89. Ivey KL, Nguyen XMT, Quaden RM, Ho YL, Cho K, Michael Gaziano J, et al. Association of nut consumption with risk of stroke and cardiovascular disease: the million veteran program. Nutrients 2021; 13(9): 3031. doi: 10.3390/nu13093031
90. Kochar J, Gaziano JM, Djousse L. Nut consumption and risk of type II diabetes in the Physicians Health Study. Eur J Clin Nutr 2010; 64(1): 75–9. doi: 10.1038/ejcn.2009.121
91. Larsson SC, Drca N, Bjorck M, Back M, Wolk A. Nut consumption and incidence of seven cardiovascular diseases. Heart 2018; 104: 1615–20. doi: 10.1136/heartjnl-2017-312819
92. Liu X, Guasch-Ferre M, Tobias DK, Li Y. Association of walnut consumption with total and cause-specific mortality and life expectancy in U.S. adults. Nutrients 2021; 13(8): 2699. doi: 10.3390/nu13082699
93. Mohammadifard N, Ghaderian N, Hassannejad R, Sajjadi F, Sadeghi M, Roohafza H, et al. Longitudinal association of nut consumption and the risk of cardiovascular events: a prospective cohort study in the Eastern Mediterranean Region. Front Nutr 2020; 7: 610467. doi: 10.3389/fnut.2020.610467
94. Pan A, Sun Q, Manson JE, Willett WC, Hu FB. Walnut consumption is associated with lower risk of type 2 diabetes in women. J Nutr 2013;143(4): 512–8. doi: 10.3945/jn.112.172171
95. Perez-Cornago A, Crowe FL, Appleby PN, Bradbury KE, Wood AM, Jakobsen MU, et al. Plant foods, dietary fibre and risk of ischaemic heart disease in the European Prospective Investigation into Cancer and Nutrition (EPIC) cohort. Int J Epidemiol 2021; 50(1): 212–22. doi: 10.1093/ije/dyaa155
96. de Souza RJ, Dehghan M, Mente A, Bangdiwala SI, Ahmed SH, Alhabib KF, et al. Association of nut intake with risk factors, cardiovascular disease, and mortality in 16 countries from 5 continents: analysis from the Prospective Urban and Rural Epidemiology (PURE) study. Am J Clin Nutr 2020; 112(1): 208–19. doi: 10.1093/ajcn/nqaa108
97. van den Brandt PA, Schouten LJ. Relationship of tree nut, peanut and peanut butter intake with total and cause-specific mortality: a cohort study and meta-analysis. Int J Epidemiol 2015; 44(3): 1038–49. doi: 10.1093/ije/dyv039
98. van den Brandt PA. Red meat, processed meat, and other dietary protein sources and risk of overall and cause-specific mortality in The Netherlands Cohort Study. Eur J Epidemiol 2019; 34(4): 351–69. doi: 10.1007/s10654-019-00483-9
99. Wang JB, Fan JH, Dawsey SM, Sinha R, Freedman ND, Taylor PR, et al. Dietary components and risk of total, cancer and cardiovascular disease mortality in the Linxian Nutrition Intervention Trials cohort in China. Sci Rep 2016; 6: 22619. doi: 10.1038/srep22619
100. Wurtz AML, Jakobsen MU, Bertoia ML, Hou T, Schmidt EB, Willett WC, et al. Replacing the consumption of red meat with other major dietary protein sources and risk of type 2 diabetes mellitus: a prospective cohort study. Am J Clin Nutr 2021; 113(3): 612–21. doi: 10.1093/ajcn/nqaa284
101. Buijsse B, Boeing H, Drogan D, Schulze MB, Feskens EJ, Amiano P, et al. Consumption of fatty foods and incident type 2 diabetes in populations from eight European countries. Eur J Clin Nutr 2015; 69(4): 455–61. doi: 10.1038/ejcn.2014.249
102. Ibsen DB, Steur M, Imamura F, Overvad K, Schulze MB, Bendinelli B, et al. Replacement of red and processed meat with other food sources of protein and the risk of type 2 diabetes in European populations: the epic-interact study. Diabetes Care 2020; 43(11): 2660–7. doi: 10.2337/dc20-1038
103. Al Abdrabalnabi A, Rajaram S, Bitok E, Oda K, Beeson WL, Kaur A, et al. Effects of supplementing the usual diet with a daily dose of walnuts for two years on metabolic syndrome and its components in an elderly cohort. Nutrients 2020; 12(2): 451. doi: 10.3390/nu12020451
104. Barbour JA, Howe PR, Buckley JD, Bryan J, Coates AM. Effect of 12 weeks high oleic peanut consumption on cardio-metabolic risk factors and body composition. Nutrients 2015; 7(9): 7381–98. doi: 10.3390/nu7095343
105. Bashan I, Bakman M. The effect of daily walnut consumption on dyslipidemia. J Food Qual 2018; 2018: 4731826. doi: 10.1155/2018/4731826
106. Casas-Agustench P, Lopez-Uriarte P, Bullo M, Ros E, Cabre-Vila JJ, Salas-Salvado J. Effects of one serving of mixed nuts on serum lipids, insulin resistance and inflammatory markers in patients with the metabolic syndrome. Nutr Metab Cardiovasc Dis 2011; 21(2): 126–35. doi: 10.1016/j.numecd.2009.08.005
107. Coates AM, Morgillo S, Yandell C, Scholey A, Buckley JD, Dyer KA, et al. Effect of a 12-week almond-enriched diet on biomarkers of cognitive performance, mood, and cardiometabolic health in older overweight adults. Nutrients 2020; 12(4): 1180. doi: 10.3390/nu12041180
108. Hernandez-Alonso P, Salas-Salvado J, Baldrich-Mora M, Juanola-Falgarona M, Bullo M. Beneficial effect of pistachio consumption on glucose metabolism, insulin resistance, inflammation, and related metabolic risk markers: a randomized clinical trial. Diabetes Care 2014; 37(11): 3098–105. doi: 10.2337/dc14-1431
109. Hunter SR, Considine RV, Mattes RD. Almond consumption decreases android fat mass percentage in adults with high android subcutaneous adiposity but does not change HbA1c in a randomized controlled trial. Br J Nutr 2021; 127(6): 850–61. doi: 10.1017/S0007114521001495
110. Hwang HJ, Liu Y, Kim HS, Lee H, Lim Y, Park H. Daily walnut intake improves metabolic syndrome status and increases circulating adiponectin levels: randomized controlled crossover trial. Nutr Res Pract 2019; 13(2): 105–14. doi: 10.4162/nrp.2019.13.2.105
111. Kasliwal RR, Bansal M, Mehrotra R, Yeptho KP, Trehan N. Effect of pistachio nut consumption on endothelial function and arterial stiffness. Nutrition 2015; 31(5): 678–85. doi: 10.1016/j.nut.2014.10.019
112. Liu Y, Hwang HJ, Kim HS, Park H. Time and intervention effects of daily almond intake on the changes of lipid profile and body composition among free-living healthy adults. J Med Food2018; 21(4): 340–7. doi: 10.1089/jmf.2017.3976
113. Madan J, Desai S, Moitra P, Salis S, Agashe S, Battalwar R, et al. Effect of almond consumption on metabolic risk factors-glucose metabolism, hyperinsulinemia, selected markers of inflammation: a randomized controlled trial in adolescents and young adults. Front Nutr. 2021; 8: 668622. doi: 10.3389/fnut.2021.668622
114. Njike VY, Ayettey R, Petraro P, Treu JA, Katz DL. Walnut ingestion in adults at risk for diabetes: effects on body composition, diet quality, and cardiac risk measures. BMJ Open Diabet Res Care 2015; 3(1): e000115. doi: 10.1136/bmjdrc-2015-000115
115. Tey SL, Gray AR, Chisholm AW, Delahunty CM, Brown RC. The dose of hazelnuts influences acceptance and diet quality but not inflammatory markers and body composition in overweight and obese individuals. J Nutr 2013; 143(8): 1254–62. doi: 10.3945/jn.113.174714
116. Torabian S, Haddad E, Cordero-Macintyre Z, Tanzman J, Fernandez ML, Sabate J. Long-term walnut supplementation without dietary advice induces favorable serum lipid changes in free-living individuals. Eur J Clin Nutr 2010; 64(3): 274–9. doi: 10.1038/ejcn.2009.152
117. Wang D, Sun L, Liu X, Niu Z, Chen S, Tang L, et al. Replacing white rice bars with peanuts as snacks in the habitual diet improves metabolic syndrome risk among Chinese adults: a randomized controlled trial. Am J Clin Nutr 2021; 113(1): 28–35. doi: 10.1093/ajcn/nqaa307
118. Wang J, Wang S, Henning SM, Qin T, Pan Y, Yang J, et al. Mixed tree nut snacks compared to refined carbohydrate snacks resulted in weight loss and increased satiety during both weight loss and weight maintenance: a 24-week randomized controlled trial. Nutrients 2021; 13(5): 1512. doi: 10.3390/nu13051512
119. Wang X, Li Z, Liu Y, Lv X, Yang W. Effects of pistachios on body weight in Chinese subjects with metabolic syndrome. Nutr J 2012; 11(1): 20. doi: 10.1186/1475-2891-11-20
120. Estruch R, Ros E, Salas-Salvadó J, Covas M-I, Corella D, Arós F, et al. Primary prevention of cardiovascular disease with a Mediterranean diet supplemented with extra-virgin olive oil or nuts. N Engl J Med 2018; 378(25): e24. doi: 10.1056/NEJMoa1800389
121. Salas-Salvado J, Bullo M, Estruch R, Ros E, Covas MI, Ibarrola-Jurado N, et al. Prevention of diabetes with Mediterranean diets: a subgroup analysis of a randomized trial. Ann Intern Med 2014; 160(1): 1–10. doi: 10.7326/M13-1725
122. Martinez-Gonzalez MA, Gea A, Ruiz-Canela M. The Mediterranean diet and cardiovascular health. Circ Res 2019; 124(5): 779–98. doi: 10.1161/CIRCRESAHA.118.313348
123. Zeraatkar D, Bhasin A, Morassut RE, Churchill I, Gupta A, Lawson DO, et al. Characteristics and quality of systematic reviews and meta-analyses of observational nutritional epidemiology: a cross-sectional study. Am J Clin Nutr 2021; 113(6): 1578–92. doi: 10.1093/ajcn/nqab002
124. Geissbuhler M, Hincapie CA, Aghlmandi S, Zwahlen M, Juni P, da Costa BR. Most published meta-regression analyses based on aggregate data suffer from methodological pitfalls: a meta-epidemiological study. BMC Med Res Methodol 2021; 21(1): 123. doi: 10.1186/s12874-021-01310-0
125. Martin N, Germano R, Hartley L, Adler AJ, Rees K. Nut consumption for the primary prevention of cardiovascular disease. Cochrane Database Syst Rev 2015; 9: CD011583. doi: 10.1002/14651858.CD011583.pub2
126. O’Neil CE, Nicklas TA, Fulgoni VL 3rd. Tree nut consumption is associated with better nutrient adequacy and diet quality in adults: National Health and Nutrition Examination Survey 2005–2010. Nutrients 2015; 7(1): 595–607. doi: 10.3390/nu7010595
127. Dikariyanto V, Berry SE, Pot GK, Francis L, Smith L, Hall WL. Tree nut snack consumption is associated with better diet quality and CVD risk in the UK adult population: National Diet and Nutrition Survey (NDNS) 2008–2014. Public Health Nutr 2020; 23(17): 3160–9. doi: 10.1017/S1368980019003914
128. Neale EP, Tapsell LC, Martin A, Batterham MJ, Wibisono C, Probst YC. Impact of providing walnut samples in a lifestyle intervention for weight loss: a secondary analysis of the HealthTrack trial. Food Nutr Res 2017; 61(1): 1344522. doi: 10.1080/16546628.2017.1344522
129. Fantino M, Bichard C, Mistretta F, Bellisle F. Daily consumption of pistachios over 12 weeks improves dietary profile without increasing body weight in healthy women: a randomized controlled intervention. Appetite 2020; 144: 104483. doi: 10.1016/j.appet.2019.104483
130. Nishi SK, Viguiliouk E, Blanco Mejia S, Kendall CWC, Bazinet RP, Hanley AJ, et al. Are fatty nuts a weighty concern? A systematic review and meta-analysis and dose-response meta-regression of prospective cohorts and randomized controlled trials. Obes Rev 2021; 22(11): e13330. doi: 10.1111/obr.13330
131. Tan SY, Dhillon J, Mattes RD. A review of the effects of nuts on appetite, food intake, metabolism, and body weight. Am J Clin Nutr 2014;100(Suppl 1): 412S–22S. doi: 10.3945/ajcn.113.071456
132. Mannsverk J, Wilsgaard T, Mathiesen EB, Lochen ML, Rasmussen K, Thelle DS, et al. Trends in modifiable risk factors are associated with declining incidence of hospitalized and nonhospitalized acute coronary heart disease in a population. Circulation 2016; 133(1): 74–81. doi: 10.1161/CIRCULATIONAHA.115.016960
133. Bjorck L, Capewell S, O’Flaherty M, Lappas G, Bennett K, Rosengren A. Decline in coronary mortality in Sweden between 1986 and 2002: Comparing contributions from primary and secondary prevention. PLoS One. 2015; 10(5): e0124769. doi: 10.1371/journal.pone.0124769
134. Jousilahti P, Laatikainen T, Peltonen M, Borodulin K, Mannisto S, Jula A, et al. Primary prevention and risk factor reduction in coronary heart disease mortality among working aged men and women in eastern Finland over 40 years: population based observational study. BMJ 2016; 352: i721. doi: 10.1136/bmj.i721
135. Guasch-Ferre M, Li J, Hu FB, Salas-Salvado J, Tobias DK. Effects of walnut consumption on blood lipids and other cardiovascular risk factors: an updated meta-analysis and systematic review of controlled trials. Am J Clin Nutr. 2018;108(1):174–87. doi: 10.1093/ajcn/nqy091
136. Del Gobbo LC, Falk MC, Feldman R, Lewis K, Mozaffarian D. Effects of tree nuts on blood lipids, apolipoproteins, and blood pressure: systematic review, meta-analysis, and dose-response of 61 controlled intervention trials. Am J Clin Nutr 2015; 102(6): 1347–56. doi: 10.3945/ajcn.115.110965
137. Lee-Bravatti MA, Wang J, Avendano EE, King L, Johnson EJ, Raman G. Almond Consumption and risk factors for cardiovascular disease: a systematic review and meta-analysis of randomized controlled trials. Adv Nutr 2019; 10(6): 1076–88. doi: 10.1093/advances/nmz043
138. Musa-Veloso K, Paulionis L, Poon T, Lee HY. The effects of almond consumption on fasting blood lipid levels: a systematic review and meta-analysis of randomised controlled trials. J Nutr Sci 2016; 5: E34. doi: 10.1017/jns.2016.19
139. Ibsen DB, Laursen ASD, Wurtz AML, Dahm CC, Rimm EB, Parner ET, et al. Food substitution models for nutritional epidemiology. Am J Clin Nutr 2021; 113(2): 294–303. doi: 10.1093/ajcn/nqaa315
140. Luo C, Zhang Y, Ding Y, Shan Z, Chen S, Yu M, et al. Nut consumption and risk of type 2 diabetes, cardiovascular disease, and all-cause mortality: a systematic review and meta-analysis. Am J Clin Nutr 2014; 100(1): 256–69. doi: 10.3945/ajcn.113.076109
141. Zhou D, Yu H, He F, Reilly KH, Zhang J, Li S, et al. Nut consumption in relation to cardiovascular disease risk and type 2 diabetes: a systematic review and meta-analysis of prospective studies. Am J Clin Nutr 2014; 100(1): 270–7. doi: 10.3945/ajcn.113.079152
142. Afshin A, Micha R, Khatibzadeh S, Mozaffarian D. Consumption of nuts and legumes and risk of incident ischemic heart disease, stroke, and diabetes: a systematic review and meta-analysis. Am J Clin Nutr 2014; 100(1): 278–88. doi: 10.3945/ajcn.113.076901
143. Aune D, Keum N, Giovannucci E, Fadnes LT, Boffetta P, Greenwood DC, et al. Nut consumption and risk of cardiovascular disease, total cancer, all-cause and cause-specific mortality: a systematic review and dose-response meta-analysis of prospective studies. BMC Med 2016; 14(1): 207. doi: 10.1186/s12916-016-0730-3
144. Mayhew AJ, de Souza RJ, Meyre D, Anand SS, Mente A. A systematic review and meta-analysis of nut consumption and incident risk of CVD and all-cause mortality. Br J Nutr 2016; 115(2): 212–25. doi: 10.1017/S0007114515004316
145. Chen GC, Zhang R, Martinez-Gonzalez MA, Zhang ZL, Bonaccio M, van Dam RM, et al. Nut consumption in relation to all-cause and cause-specific mortality: a meta-analysis 18 prospective studies. Food Funct 2017; 8(11): 3893–905. doi: 10.1039/c7fo00915a
146. Liu K, Hui S, Wang B, Kaliannan K, Guo X, Liang L. Comparative effects of different types of tree nut consumption on blood lipids: a network meta-analysis of clinical trials. Am J Clin Nutr 2020; 111(1): 219–27. doi: 10.1093/ajcn/nqz280
147. Mohammadifard N, Salehi-Abargouei A, Salas-Salvadó J, Guasch-Ferré M, Humphries K, Sarrafzadegan N. The effect of tree nut, peanut, and soy nut consumption on blood pressure: a systematic review and meta-analysis of randomized controlled clinical trials. Am J Clin Nutr 2015; 101(5): 966–82. doi: 10.3945/ajcn.114.091595
148. Ghanavati M, Rahmani J, Clark CCT, Hosseinabadi SM, Rahimlou M. Pistachios and cardiometabolic risk factors: a systematic review and meta-analysis of randomized controlled clinical trials. Complement Ther Med 2020; 52: 102513. doi: 10.1016/j.ctim.2020.102513
149. Viguiliouk E, Kendall CW, Blanco Mejia S, Cozma AI, Ha V, Mirrahimi A, et al. Effect of tree nuts on glycemic control in diabetes: a systematic review and meta-analysis of randomized controlled dietary trials. PLoS One 2014; 9(7): e103376. doi: 10.1371/journal.pone.0103376
150. Neale EP, Guan V, Tapsell LC, Probst YC. Effect of walnut consumption on markers of blood glucose control: a systematic review and meta-analysis. Br J Nutr 2020; 124(7): 641–53. doi: 10.1017/S0007114520001415
151. Asbaghi O, Moodi V, Neisi A, Shirinbakhshmasoleh M, Abedi S, Oskouie FH, et al. The effect of almond intake on glycemic control: a systematic review and dose-response meta-analysis of randomized controlled trials. Phytother Res 2022; 36(1): 395–414. doi: 10.1002/ptr.7328
152. Berryman CE, Preston AG, Karmally W, Deckelbaum RJ, Kris-Etherton PM. Effects of almond consumption on the reduction of LDL-cholesterol: a discussion of potential mechanisms and future research directions. Nutr Rev 2011; 69(4): 171–85. doi: 10.1111/j.1753-4887.2011.00383.x
153. Coates AM, Hill AM, Tan SY. Nuts and cardiovascular disease prevention. Curr Atheroscler Rep 2018; 20(10): 48. doi: 10.1007/s11883-018-0749-3
154. Ros E, Singh A, O’Keefe JH. Nuts: natural pleiotropic nutraceuticals. Nutrients 2021; 13(9): 3269. doi: 10.3390/nu13093269
155. Kris-Etherton PM. Walnuts decrease risk of cardiovascular disease: a summary of efficacy and biologic mechanisms. J Nutr 2014; 144(4): 547S–54S. doi: 10.3945/jn.113.182907
156. Phillips KM, Ruggio DM, Ashraf-Khorassani M. Phytosterol composition of nuts and seeds commonly consumed in the United States. J Agric Food Chem 2005; 53(24): 9436–45. doi: 10.1021/jf051505h
157. Del Gobbo LC, Falk MC, Feldman R, Lewis K, Mozaffarian D. Are phytosterols responsible for the low-density lipoprotein-lowering effects of tree nuts?: a systematic review and meta-analysis. J Am Coll Cardiol 2015; 65(25): 2765–7. doi: 10.1016/j.jacc.2015.03.595
158. Neale EP, Tapsell LC, Guan V, Batterham MJ. The effect of nut consumption on markers of inflammation and endothelial function: a systematic review and meta-analysis of randomised controlled trials. BMJ Open 2017; 7(11): e016863. doi: 10.1136/bmjopen-2017-016863
159. Smeets E, Mensink RP, Joris PJ. Effects of tree nut and groundnut consumption compared with those of l-arginine supplementation on fasting and postprandial flow-mediated vasodilation: meta-analysis of human randomized controlled trials. Clin Nutr 2021; 40(4): 1699–710. doi: 10.1016/j.clnu.2020.09.015
160. Yu Z, Malik VS, Keum N, Hu FB, Giovannucci EL, Stampfer MJ, et al. Associations between nut consumption and inflammatory biomarkers. Am J Clin Nutr 2016; 104(3): 722–8. doi: 10.3945/ajcn.116.134205
161. Schwingshackl L, Schwedhelm C, Hoffmann G, Knuppel S, Iqbal K, Andriolo V, et al. Food groups and risk of hypertension: a systematic review and dose-response meta-analysis of prospective studies. Adv Nutr 2017; 8(6): 793–803. doi: 10.3945/an.117.017178
162. Jung S, Woo HW, Shin J, Kim YM, Shin MH, Koh SB, et al. Cumulative average nut consumption in relation to lower incidence of hypertension: a prospective cohort study of 10,347 adults. Eur J Nutr 2022; 61(3): 1571–83. doi: 10.1007/s00394-021-02743-5
163. Hidayat K, Chen JS, Wang HP, Wang TC, Liu YJ, Zhang XY, et al. Is replacing red meat with other protein sources associated with lower risks of coronary heart disease and all-cause mortality? A meta-analysis of prospective studies. Nutr Rev 2022; 80(9): 1959–1973. doi: 10.1093/nutrit/nuac017
164. Dai H, Much AA, Maor E, Asher E, Younis A, Xu Y, et al. Global, regional, and national burden of ischaemic heart disease and its attributable risk factors, 1990–2017: results from the Global Burden of Disease Study 2017. Eur Heart J Qual Care Clin Outcomes 2022; 8(1): 50–60. doi: 10.1093/ehjqcco/qcaa076
165. Miller V, Micha R, Choi E, Karageorgou D, Webb P, Mozaffarian D. Evaluation of the quality of evidence of the association of foods and nutrients with cardiovascular disease and diabetes: a systematic review. JAMA Netw Open 2022; 5(2): e2146705. doi: 10.1001/jamanetworkopen.2021.46705
166. Verbeek J, Hoving J, Boschman J, Chong LY, Livingstone-Banks J, Bero L. Systematic reviews should consider effects from both the population and the individual perspective. Am J Public Health 2021; 111(5): 820–5. doi: 10.2105/AJPH.2020.306147
167. Eneroth H, Wallin S, Leander K, Nilsson Sommar J, Akesson A. Risks and benefits of increased nut consumption: cardiovascular health benefits outweigh the burden of carcinogenic effects attributed to aflatoxin B(1) exposure. Nutrients 2017; 9(12): 1355. doi: 10.3390/nu9121355